ppt还是有用的

1. 术语详解
根:根结点(没有前驱)。
叶子:终端结点(没有后继)。
树:树是n(n>0)个结点的有限集。一棵树应满足以下条件:有且仅有一个特定的称为根的结点。(无前驱)当n>1时,其余结点可分为m(m>0)个互不相交的有限集T1,T2……Tm,其中每个集合本身又是一棵树。(子树)
有序树:结点各子树从左至右有序,不能互换(左为第一)。
无序树:结点各子树可互换位置。
森林:指m棵不相交的树的集合(例如删除A后的子树个数)。
双亲:即上层的那个结点(直接前驱)。
孩子:即下层结点的子树的根(直接后继)
兄弟:同一双亲下的同层结点(孩子之间互称兄弟)。
堂兄弟:即双亲位于同一层的结点(但并非同一双亲)。
祖先:即从根到该结点所经分支的所有结点。
子孙:即该结点下层子树中的任一结点。
结点:即树的数据元素。
结点的度:结点挂接的子树数。
结点的层次:从根到该结点的层数(根结点算第一层)。
终端结点:即度为0的结点,即叶子。
分支结点:即度不为0的结点(也称为内部结点)。
树的度:所有结点度中的最大值。
树的深度(或高度):指所有结点中最大的层数。
二叉树:每个结点至多有两棵子树(即二叉树中不存在度大于2的结点),且二叉树有左右之分(有序),其次序不能任意颠倒。
完全二叉树:只允许最后一行不为满,且最后一行必须从左往右排序,最后一行元素之间不可以有间隔。
- 二叉树中每一层结点的个数达到最大,即没有度数为1的结点。
- 叶子全部都在最深的那一层。
- 任一结点,若其右分支下的子孙的最大层数为i,则左分支下的子孙最大层数必为i或i+1(左子树编号一定在右子树之前)。
- 具有n个结点的完全二叉树的深度为floor(log_{2} n)+1。
满二叉树:二叉树中每一层结点的个数达到最大。即没有度数为1的结点。一个层数为k的满二叉树总结点数为:2^k-1。
二叉排序树(二叉搜索树,二叉查找树):
(1)若左子树不空,则左子树上所有结点的值均小于或等于它的根结点的值;
(2)若右子树不空,则右子树上所有结点的值均大于或等于它的根结点的值;
(3)左、右子树也分别为二叉排序树;
线索:指向结点前驱和后继的指针叫做线索。
线索二叉树:每个结点上加上线索的二叉树。Tag为0表示lchild/rchild指示孩子,Tag为1表示指示前驱或后继。

线索化:对二叉树以某种顺序遍历使其变为线索二叉树的过程。
路径长度:从树中一个结点到另一个结点之间的分支构成的路径,分支数目称为路径长度。
树的路径长度:从树根到每一个结点的路径长度和。对于结点个数相同的树。
完全二叉树是路径长度最短的树。
哈夫曼树是带权路径长度最短的树。
树的带权路径长度:树中所有叶子结点的带权路径长度和。

哈夫曼树(最优二叉树):具有n个叶子结点(每个结点的权值为wi) 的二叉树不止一棵,但在所有的这些二叉树中,必定存在一棵WPL值最小的树,称这棵树为Huffman树(或称最优树) 。分为左小右大和左先右后两种构造方法。
2. 树的存储结构
顺序存储:用一组地址连续的存储单元依次自上而下、自左而右地存储二叉树。容易形成空间的浪费,只适合完全二叉树。


链式存储:
- 二叉链表:三个域(数据域、左、右指针)
- 三叉链表:四个域(数据域、左、右指针、双亲指针)


双亲表示法:假设一组连续空间存储树的结点,同时在每个结点中附设一个指示器指示其双亲在链表中的位置。


孩子表示法:多重链表,每个指针指向一棵子树的根结点。


孩子兄弟表示法:二叉树表示法,链表中两个链域分别指向该结点的第一个孩子和下一个兄弟结点。


3. 二叉树的遍历
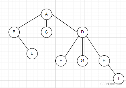
先序遍历:根左右 ABDHIEJCFG
中序遍历:左根右 HDIBEJAFCG
后序遍历:左右根 HIDJEBFGCA
层次遍历:按层次遍历。ABCDEFGHIJ
4. 树,二叉树与森林的转换
1.树->二叉树
2.二叉树->树
上面过程倒过来做就行。
3.森林->二叉树
若森林F为空,则二叉树B为空树;
若F不为空,将森林的每棵树转化为二叉树(孩子兄弟表示法),第一棵二叉树的根为整棵二叉树的根。
将各二叉树的根结点视为兄弟结点,再完成二叉树的转化
4.二叉树->森林
若B为空,则F为空;
若x为y的左孩子,则将x的右子孙与y相连
去掉所有双亲到右孩子的连线。
5. 树的相关计算
1. 计算哈夫曼树WPL

如上图,WPL=3*(10+12)+3*13+4*(4+9)+2*(28+29)=66+39+52+114=271
2. 三叉树各个度结点的关系
设三叉树度为0,1,2,3的结点分别为a,b,c,d个,
结点总数 n=a+b+c+d
孩子总数 m=b+2c+3d
n=m+1
=> b+2c+3d=a+b+c+d
=> a=c+2d
3.根据先序遍历和中序遍历求后序遍历。根据后序遍历和中序遍历求先序遍历。
4. 二叉树的性质
- 一棵深度为h(h≥1)的完全二叉树最多有2^h -1个结点(满二叉树),最少2^(h-1)个结点。
- 一颗有n个结点的满二叉树共有(n-1)/2个。
- 二叉树叶子节点在前中后序遍历中的相对次序不变。
1可以根据等比数列求和公式可知。
本文详细介绍了二叉树的基本术语,如根、叶、有序与无序、森林、双亲孩子关系等,重点探讨了满二叉树、完全二叉树、二叉搜索树、线索化以及不同遍历方法。还涉及树的存储结构、哈夫曼树的构造和计算,以及树的性质和转换。
508

被折叠的 条评论
为什么被折叠?



