Matlab guass-legendre求积代码
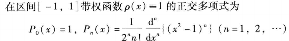
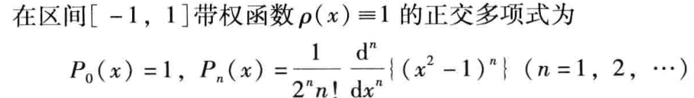
勒让德公式(legendre)

高斯零点xk求取

Pn(x_) = 1./double( (2.^n_ * prod(1:n_)) )*diff( (x_.^2-1)^n_, n_); %legeendre表达式
Xk = solve(Pn==0); %求取Xk,即高斯点。
Ak(j) = 2/( double((1-Xk(j)^2) )*legendreDiff(n(i),Xk(j))^2 );
%% legendre多项式求导
function Pn = legendreDiff(num,xi)
syms x;
n = int16(num);
h(x) = 1./double( (2.^n * prod(1:n)) )*diff( (x.^2-1)^n, n);
g(x) = diff(h(x));
Pn = g(xi);
end

本文介绍了如何使用Matlab实现高斯-勒让德求积方法,详细讲解了勒让德公式和高斯零点的求取,并提供了一个具体的例题和完整代码示例,重点探讨了n=2, 4, 5的情况。"
90669080,7467082,01 背包问题详解及动态规划解法,"['动态规划', '背包问题', '算法', '数据结构']
最低0.47元/天 解锁文章
2192

被折叠的 条评论
为什么被折叠?



