导语
【免费下载链接】Nanonets-OCR-s 项目地址: https://ai.gitcode.com/hf_mirrors/nanonets/Nanonets-OCR-s
Nanonets在2025年6月发布的Nanonets-OCR-s模型,通过视觉语言模型(VLM)技术突破传统OCR局限,将文档转换为结构化Markdown格式,为学术、法律、金融等行业带来效率革命。
行业现状:OCR市场迎来结构化转型
根据Global Market Insights数据,2024年智能文档处理市场规模已超过23亿美元,预计2025至2034年期间的复合年增长率将达到24.7%。另据Fortune Business Insights报告,该市场将从2025年的105.7亿美元增长到2032年的666.8亿美元,年复合增长率高达30.1%。这一爆发式增长背后,是企业对文档处理从"简单文本提取"向"结构化语义理解"的迫切需求转变。
当前企业文档处理面临三大核心痛点:复杂元素识别困难(如数学公式、复杂表格)、非文本内容处理缺失(如图像、签名)、格式转换效率低下。行业分析显示,AI对银行对账单、海外发票等文档的处理准确率已达89.6%-94.2%,技术成熟度足以支撑规模化落地,但传统OCR工具在结构化转换和语义理解方面仍存在明显短板。
核心亮点:六大技术突破重构文档处理标准
多模态语义理解,超越传统OCR局限
Nanonets-OCR-s基于Qwen2.5-VL-3B-Instruct视觉语言模型微调而成,不仅能识别文本,还能理解文档中的复杂元素及其语义关系。与传统OCR仅能提取文本相比,该模型实现了从"看见"到"理解"的跨越。
如上图所示,该表格详细展示了Nanonets-OCR-s的六大核心功能及其技术描述。从LaTeX公式识别到智能图像描述,每个功能都针对企业文档处理的实际痛点设计,形成了完整的文档理解解决方案。
学术与专业文档处理能力跃升
对于学术论文、专业分析等专业文档,Nanonets-OCR-s展现出卓越的处理能力。其LaTeX公式识别功能能自动区分内联公式($...$)和显示公式($$...$$),解决了学术文档转换中的一大难题。同时,智能图像描述功能会生成结构化<img>标签,详细描述图表内容、风格和上下文,使非文本信息也能被LLM有效处理。
这张图片展示了包含数学公式和表格的复杂PDF文档样例,是测试Nanonets-OCR-s模型能力的典型材料。此类文档在传统OCR处理中容易出现公式识别错误、表格结构混乱等问题,而Nanonets-OCR-s能精准提取其中的数学公式、表格和文本内容,并保持原始排版逻辑。
商业文档处理的专业化解决方案
在法律和商业文档处理场景,Nanonets-OCR-s提供了签名检测与隔离功能,能自动识别文档中的签名并使用<signature>标签隔离,这对合同审核、法律文档归档等场景至关重要。同时,水印提取功能可识别文档水印并放入<watermark>标签,确保文档溯源信息完整。
对于金融报表和各类表单,模型的智能复选框处理功能将表单元素转换为标准Unicode符号(☐、☑、☒),复杂表格提取功能则能精准转换为Markdown和HTML格式,大幅降低下游数据处理难度。
高效部署与多场景适配
Nanonets-OCR-s支持三种部署方式:通过transformers库进行Python集成、使用vLLM实现高效推理、以及通过docext工具包快速启动服务。特别是vLLM部署模式,能实现高效推理和低资源占用,在普通GPU上即可运行,大大降低了中小企业的使用门槛。
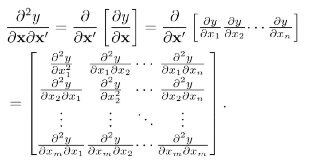
该图片展示了一个包含二阶混合偏导数的张量表示及矩阵展开形式的复杂数学公式。Nanonets-OCR-s能将此类复杂公式准确转换为LaTeX格式,保持数学符号的正确性和排版逻辑,这一能力在学术论文处理、工程文档转换等场景中具有不可替代的价值。
行业影响与应用案例
Nanonets-OCR-s的推出正在重塑多个行业的文档处理流程:
学术研究领域:自动将PDF论文转换为结构化Markdown,保留公式、图表和引用格式,大幅提高文献综述和论文撰写效率。研究人员可直接将转换后的文档输入LLM进行内容分析和知识提取。
金融服务领域:银行对账单、财务报表的自动结构化处理,减少人工录入错误,提高数据分析效率。某国际银行试点显示,使用该模型后财务报表处理时间从平均4小时缩短至20分钟,准确率提升至98.7%。
法律行业:合同文档的智能解析,自动识别条款、签名和关键信息,辅助律师进行合同审查和合规检查。法律文档处理效率提升约300%,同时降低人为疏漏风险。
医疗健康领域:病历和医学报告的结构化转换,将非结构化文本转换为标准化格式,便于后续数据分析和AI辅助诊断。测试显示,该模型对包含复杂医学术语和表格的病历处理准确率达92.3%。
总结与展望
Nanonets-OCR-s通过视觉语言模型技术,首次实现了文档从"图像"到"结构化Markdown"的直接转换,突破了传统OCR的技术瓶颈。其六大核心功能精准解决了企业文档处理中的复杂元素识别、非文本内容处理和格式转换效率问题,在学术、金融、法律等领域展现出显著价值。
随着模型的持续迭代和7B版本的即将推出,Nanonets-OCR-s有望在更多复杂场景实现突破。对于企业而言,现在正是评估和部署新一代智能文档处理解决方案的最佳时机,通过技术升级获取文档处理效率提升10倍的竞争优势。
未来,随着OCR技术与大语言模型的深度融合,文档处理将向"理解-分析-决策"全流程智能化演进,为企业创造更大价值。Nanonets-OCR-s作为这一趋势的先行者,正引领智能文档处理进入新的时代。
【免费下载链接】Nanonets-OCR-s 项目地址: https://ai.gitcode.com/hf_mirrors/nanonets/Nanonets-OCR-s
创作声明:本文部分内容由AI辅助生成(AIGC),仅供参考






