第一章 流程控制
1.1 概述
在一个程序执行的过程中,各条语句的执行顺序对程序的结果是有直接影响的。也就是说,程序的流程对运行结果又直接的影响,所以我们必须清楚每条语句的执行流程。而且,很多时候我们要通过控制语句的执行顺序来诗选我们要完成的功能。
1.2 顺序结构
public static void main(String[] args){
//顺序执行,根据编写的顺序,从上到下运行
System.out.println(1);
System.out.println(2);
System.out.println(3);
}
第二章 判断语句
2.1 判断语句1 – if
- if 语句的第一种格式:if
if(关系表达式){
语句体;
}
- 执行流程
1.首先判断关系表达式,看其结果是true还是false
2.如果是true就执行语句体
3.如果是false就不执行语句体

public static void main(String[] args){
System.out.println("开始");
// 定义两个变量
int a = 10;
int b = 20;
//变量使用if判断
if (a == b){
System.out.println("a等于b");
}
int c = 10;
if(a == c){
System.out.println("a等于c");
}
System.out.println("结束");
}
2.2 判断语句2 – if…else
- if 语句第二种格式:if…else
if(关系表达式) {
语句体1;
}else {
语句体2;
}
- 执行流程
1.首先判断关系表达式,看其结果是true还是false
2.如果是true就执行语句体1
3.如果是false就执行语句体2

public static void main(String[] args){
// 判断给定的数据是奇数还是偶数
// 定义变量
int a = 1;
if(a % 2 == 0) {
System.out.println("a是偶数");
} else{
System.out.println("a是奇数");
}
System.out.println("结束");
}
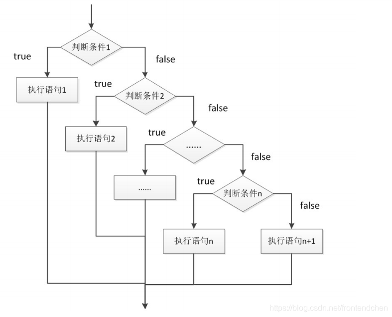
2.3 判断语句3–if …else if …else
- if 语句的第三种格式:if … else if …else
f (判断条件1) {
执行语句1;
} else if (判断条件2) {
执行语句2;
}
...
}else if (判断条件n) {
执行语句n;
} else {
执行语句n+1;
}
- 执行流程
1.首先判断关系表达式1,看其结果是true还是false
2.如果是true就执行语句体1
3.如果是false就继续判断关系表达式2,看其结果是true还是false
4.如果是true就执行语句体2
5.如果是false就继续判断关系表达式…看其结果是true还是false
…
6.如果没有任何关系表达式为true,就执行语句体 n+1

public static void main(String[] args) {
// x和y的关系满足如下:
// x>=3 y = 2x + 1;
//‐1<=x<3 y = 2x;
// x<=‐1 y = 2x – 1;
// 根据给定的x的值,计算出y的值并输出。
// 定义变量
int x = 5;
int y;
if (x>= 3) {
y = 2 * x + 1;
} else if (x >= ‐1 && x < 3) {
y = 2 * x;
} else {
y = 2 * x ‐ 1;
}
System.out.println("y的值是:"+y);
}
2.4 语句练习
指定考试成绩,判断学生等级
90-100 优秀
80-89 好
70-79 良
60-69 及格
60以下 不及格
public static void main(String[] args) {
int score = 100;
if(score<0 || score>100){
System.out.println("你的成绩是错误的");
}else if(score>=90 && score<=100){
System.out.println("你的成绩属于优秀");
}else if(score>=80 && score<90){
System.out.println("你的成绩属于好");
}else if(score>=70 && score<80){
System.out.println("你的成绩属于良");
}else if(score>=60 && score<70){
System.out.println("你的成绩属于及格");
}else {
System.out.println("你的成绩属于不及格");
}
}}
2.5 if 语句和三元运算符的互换
在某些简单的应用中,if 语句是可以和三元运算符互换使用的
public static void main(String[] args) {
int a = 10;
int b = 20;
//定义变量,保存a和b的较大值
int c;
if(a > b) {
c = a;
} else {
c = b;
}
//可以上述功能改写为三元运算符形式
c = a > b ? a:b;
}
第三章 选择语句
3.1 选择语句–switch
- ** switch语句格式:**
switch(表达式) {
case 常量值1:
语句体1;
break;
case 常量值2:
语句体2;
break;
...
default:
语句体n+1;
break;
}
- 执行流程
1.首先计算出表达式的值
2.其次,和 case依次比较一旦有对应的值,就会执行相应的语句,在执行的过程中,遇到break就会结束。
3.最后,如果所有的case都和表达式的值不匹配,就会执行default语句体部分,然后程序结束掉。

switch(表达式) {
case 常量值1:
语句体1;
break;
case 常量值2:
语句体2;
break;
...
default:
语句体n+1;
break;
}
public static void main(String[] args) {
//定义变量,判断是星期几
int weekday = 6;
//switch语句实现选择
switch(weekday) {
case 1:
System.out.println("星期一");
break;
case 2:
System.out.println("星期二");
break;
case 3:
System.out.println("星期三");
break;
case 4:
System.out.println("星期四");
break;
case 5:
System.out.println("星期五");
break;
case 6:
System.out.println("星期六");
break;
case 7:
System.out.println("星期日");
break;
default:
System.out.println("你输入的数字有误");
break;
}
}
switch语句中,表达式的数据类型,可以是byte,short,int,char,enum(枚举),JDK7后可以接收字符串。
3.2 case的穿透性
在switch语句中,如果case的后面不写break,将出现穿透现象,也就是不会在判断下一个case的值,直接向后运
行,直到遇到break,或者整体switch结束。
public static void main(String[] args) {
int i = 5;
switch (i){
case 0:
System.out.println("执行case0");
break;
case 5:
System.out.println("执行case5");
case 10:
System.out.println("执行case10");
default:
System.out.println("执行default");
}
}
上述程序中,执行case5后,由于没有break语句,程序会一直向后走,不会在判断case,也不会理会break,直接
运行完整体switch。
由于case存在穿透性,因此初学者在编写switch语句时,必须要写上break。
本文深入讲解了程序设计中的流程控制概念,包括顺序结构、if条件语句的各种形式、switch选择语句及其执行流程,以及if语句与三元运算符的互换技巧,通过实例帮助理解不同场景下的应用。
171万+

被折叠的 条评论
为什么被折叠?



