2 线性表
2.1 线性表的定义和基本操作
2.1.1 线性表的定义
- 线性表是具有相同数据类型的n(n>=0)个数据元素的有限序列,其中n为表长,当n=0时线性表是一个空表。
- 若用L命名线性表,则其一般表示为 L=(a1, a2, …, ai, ai, …, an)
- a1是唯一的“第一个”数据元素,又称表头元素
- an是唯一的“最后一个”数据元素,又称为表尾元素
- 除第一个元素外,每个元素有且仅有一个直接前驱
- 除最后一个元素外,每个元素有且仅有一个直接后继
- 线性表的特点如下:
- 表中元素的个数有限
- 表中元素具有逻辑上的顺序性,表中元素有其先后次序
- 表中元素都是数据元素,每个元素都是单个元素
- 表中元素的数据类型相同,这意味着每个元素占有相同大小的存储空间
- 表中元素具有抽象性,即讨论元素间的逻辑关系,而不考虑元素究竟表示什么内容
- 线性表是一种逻辑结构,表示元素之间一对一相邻的关系
2.1.2 线性表的基本操作
- InitList(&L):初始化表。构造一个空的线性表
- DestroyList(&L):销毁操作。销毁线性表,并释放线性表L所占用的内存空间
- LocateElem(L,e):按值查找操作。在表L中查找具有给定关键字值的元素
- GetElem(L,i):按位查找操作。获取表L中第i个位置的元素的值
- ListInsert(&L,i,e):插入操作。在表L中的第i个位置上插入指定元素e(前插)
- ListDelete(&L,i,&e):删除操作。删除表L中第i个位置的元素,并用e返回删除元素的值
- PrintList(L):输出操作。按前后顺序输出线性表L的所有元素值
- Empty(L):判空操作。若L为空表,则返回TRUE,否则返回FALSE
- Length(L):求表长。返回线性表L的长度,即L中数据元素的个数
- 注意:
- 基本操作的实现取决于采用哪种存储结构,存储结构不同,算法的实现也不同
- “&”表示C++中的引用调用。在C中采用指针的指针也可以达到同样的效果
2.2 线性表的顺序表示
2.2.1 顺序表的定义
- 线性表的顺序存储又称顺序表
- 用一组地址连续的存储单元一次存储线性表中的数据元素,从而使得逻辑上相邻的两个元素在物理位置上也相邻
- 特点:逻辑顺序与其物理顺序相同
- L=(a1, a2, …, ai, …, an)

- 注意:
- n与Max的区别
- sizeof(ElemType)是每个数据元素所占用存储空间的大小
- 线性表中元素的位序是从1开始的,而数组中元素的下标是从0开始的
- 顺序表最主要的特点是随机访问,即了通过首地址和元素序号可在时间O(1)内找到指定的元素
- 顺序表的存储密度高,每个结点只存储数据元素
- 顺序表逻辑上相邻的元素物理上也相邻,所以插入和删除操作需要移动大量元素
静态分配
#define MaxSize 50
typedef struct{
ElemType data[MaxSize];
int length;
}SqList;
- 在静态分配时,由于数组的大小和空间事先已经固定,一旦空间占满,再加入新的数据将会产生溢出,进而导致程序崩溃
动态分配
#define InitSize 100
typedef struct{
ElemType *data;
int MaxSize, length;
}SeqList;
- 在动态分配时,存储数组的空间是在程序执行过程中通过动态存储分配语句分配的,一旦数据空间占满,就另外开辟一块更大的存储空间,用以替换原来的存储空间,从而达到扩充存储数组空间的目的,而不需要为线性表一次性地划分所有空间
- 动态分配语句
L.data = (ElemType*)malloc(sizeof(ElemType)*InitSize);
L.data = new ElemType[InitSize];
- 注意:动态分配并不是链式存储,他同样属于顺序存储结构
2.2.2 顺序表上基本操作的实现
插入操作
bool ListInsert(SqList &L, int i, ElemType e){
if(i < 1 || i > L.length+1)
return false;
if(L.length >= MaxSize)
return false;
for(int j = L.length; j >= i; j--)
L.data[j] = L.data[j-1];
L.data[i-1] = e;
L.length++;
return true;
}
- 注意:区别顺序表的位序和数组下标
- 最好情况:在表尾插入(即i=n+1),元素后移语句将不执行,时间复杂度为O(1)
- 最坏情况:在表头插入(即i=1),元素后移语句将执行n次,时间复杂度O(n)
- 平均情况:n/2,时间复杂度为O(n)
删除操作
bool ListDelete(SqList &L, int i, ElemType &e){
if(i < 1 || i > L.length)
return false;
e = data[i-1];
for(int j = i; j < L.length; j++)
L.data[j-1]=L.data[j];
L.length--;
return true;
}
- 最好情况:在表尾插入(即i=n),无需移动元素,时间复杂度为O(1)
- 最坏情况:在表头插入(即i=1),需移动除第一个元素外的所有元素,时间复杂度O(n)
- 平均情况:(n-1)/2,时间复杂度为O(n)
按值查找(顺序查找)
int LocateElem(SqList L, ElemType e){
int i;
for(i = 0; i < L.length; i++){
if(L.data[i] == e)
return i+1;
}
return 0;
}
- 最好情况:查找的元素就在表头,仅需比较一次,时间复杂度为O(1)
- 最坏情况:查找的元素在表尾(或不存在)时,需要比较n次,时间复杂度O(n)
- 平均情况:(n+1)/2,时间复杂度为O(n)
2.3 线性表的链式表示
2.3.1 单链表的定义
- 线性表的链式存储又称单链表
- 通过一组任意的存储单元来存储线性表中的数据元素
- 对每个链表结点,除存放元素自身的信息外,还需要存放一个指向其后继的指针。
- 单链表结点结构:

- 结点类型的描述如下:
typedef struct LNode{
ElemType data;
struct LNode *next;
}LNode, *LinkList;
- 利用单链表可以解决顺序表需要大量连续存储单元的缺点,但单链表附加指针域,也存在浪费存储空间的缺点
- 单链表是非随机存取的存储结构。在查找某个特定的结点时,需要从表头开始遍历,以此查找
- 通常用头指针来表示一个单链表。此外,为了操作上的方便,在单链表第一个结点之前附加一个结点,成为头结点。头结点的数据域可以不设任何信息,也可以记录表长等信息。头结点的指针域指向线性表的第一个元素结点。

- 头结点和头指针的区分:无论有无头结点,头指针始终指向链表的第一个结点,而头结点是带头结点的链表的第一个结点,结点内通常不存储信息
- 引入头结点,可以带来两个优点
- 由于第一个数据结点的位置被存放在头结点的指针域中,所以在链表的第一个位置上的操作和在表的其他位置上的操作一致,无需进行特殊处理
- 无论链表是否为空,其头指针都指向头结点的非空指针(空表中头结点的指针域为空),因此空表he非空表的处理也就得到了统一
2.3.2 单链表上基本操作的实现
采用头插法建立单链表

LinkList List_HeadInsert(LinkList &L) {
LNode *s;
int x;
L = (LinkList)malloc(sizeof(LNode));
L->next = NULL;
scanf("%d", &x);
while(x != 9999) {
s = (LNode*)malloc(sizeof(LNode));
s->data = x;
s->next = L->next;
L->next = s;
scanf("%d", x);
}
return L;
}
- 读入数据的顺序与生成链表中的元素的顺序是相反的
- 每个节点的插入时间为O(1),设单链表长为n,则总时间复杂度为O(n)
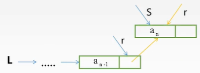
采用尾插法建立单链表

- 增加一个尾指针r,使其时钟指向当前链表的尾结点,以节省遍历的时间
LinkList List_TailInsert(LinkList &L) {
int x;
L = (LinkList)malloc(sizeof(LNode));
LNode *s;
LNode *r = L;
scanf("%d", x);
while(x != 9999) {
s = (LNode*)malloc(sizeof(LNode));
s->data = x;
r->next = s;
r=s;
scanf("%d", x);
}
r->next = NULL;
return L;
}
按序号查找结点值
LNode *GetElem(LinkList L,int i) {
int j = 1;
LNode *p = L->next;
if(i == 0)
return L;
if(i < 1)
return NULL;
while(p && j < i) {
p = p->next;
j++;
}
return p;
}
按值查找表结点
LNode *LocateElem(LinkList L, ElemType e) {
LNode *p = L->next;
while(p != NULL && p->data != e) {
p = p->next;
}
return p;
}
插入结点操作
p = GetElem(L, i-1);
s->next = p->next;
p->next = s;
- 查找第i-1个元素,时间复杂度为O(n);在第i-1个元素后面插入新结点,时间复杂度O(1);总时间复杂度为O(n)
插入到给定结点*p前
s->next = p->next;
p->next = s;
temp = p->data;
p->data = s->data;
s->data = temp;
- 已知第i个元素地址,因此不需要遍历单链表;在第i个元素前面插入新结点,时间复杂度O(1);总时间复杂度为O(1)
删除结点操作
p = GetElem(L, i-1);
q = p->next;
p->next = q->next;
free(q);
删除给定结点*p
q = p->next;
p->data = p->next->data;
p->next = q->next;
free(q);
求表长操作
int count = 0;
LNode *p = L;
while(p->next != NULL){
count++;
p = p->next;
}
2.3.3 双链表
- 为了方便方位某个节点的前驱结点,引入了双链表,双链表中有两个指针prior和next,分别指向亲戚借点和后继结点

typedef struct DNode {
ElemType data;
struct DNode *prior, *next;
}DNode, *DLinkList;
双链表的插入操作
- 在双链表中p所指的结点之后插入结点*s

s->next = p->next;
p->next->prior = s;
s->prior = p;
p->next = s;
- 顺序不唯一,但第1、2步必须在第4步之前
- 时间复杂度O(1)
双链表的删除操作

p->next = q->next;
q->next->prior = p;
free(q);
2.3.4 循环链表
循环单链表

- 在循环单链表中,表尾结点*r的next域指向L,故表中没有指针域为NULL的结点,因此,循环单链表的判空条件不是头结点的指针是否为空,而是它是否等于头指针
- 循环单链表任何一个位置上的插入和删除操作都是等价的,无需判断是否是表尾
- 仅设尾指针效率会更高。若设尾指针为r,r->next即为头指针,对于表头和表尾的操作都只需要O(1)的时间复杂度
循环双链表

- 在循环双链表L中,某结点*p为尾结点时,p->next==L
- 当循环双链表为空时,其头结点的prior域和next域都等于L
2.3.5 静态链表
- 静态链表借助数组来描述线性表的链式存储结构,结点也有数据域data和指针域next
- 指针是结点的相对地址(数组下标),又称游标
- 静态链表以next==-1作为其结束的标志
- 需要预先分配一块连续的内存空间
#define MaxSize 50
typedef struct {
ElemType data;
int next;
}SLinkList[MaxSize];
2.3.6 顺序表和链表的比较
- 存取(读写)方式
- 顺序表可以顺序存取,也可以随机存取,只需一次访问
- 单链表只能从表头顺序存取元素,需访问i次
- 逻辑结构与物理结构
- 采用顺序存储时,逻辑上相邻的元素,对应的物理存储位置也相邻
- 采用链式存储时,逻辑上相邻的元素,物理存储位置则不一定相邻,对应的逻辑关系是通过指针链接来表示的
- 查找、插入和删除操作
- 对于按值查找
- 顺序表无序时,两者的时间复杂度均为O(n)
- 顺序表有序时,可采用折半查找,时间复杂度为O(log2n)
- 对于按序号查找
- 顺序表支持随机访问,时间复杂度仅为O(1)
- 链表的平均时间复杂度为O(n)
- 插入、删除操作
- 顺序表,平均需移动半个表长的元素,且时间复杂度为O(n)
- 链表只需修改相关结点的指针域即可,结点指针已知O(1),结点指针未知O(n)
- 链表的每个结点都带有指针域,故存储密度不够大
- 空间分配
- 顺序存储需要预先分配足够大的存储空间。预先分配过大,可能会导致顺序表后补大量闲置;预先分配过小,又会造成溢出。动态存储分配虽然不会溢出,但是扩充需要大量移动元素,操作效率低;而且若是内存中没有更大块的连续存储空间,则会导致分配失败
- 连输存储在需要时分配结点空间即可,高效方便,但指针要使用额外空间
在实际中应该怎样选取存储结构?

三个常用操作
最值
int min = L[0];
int max = L[0];
for(int i = 0; i < n; i++) {
if(min > L[i])
min = L[i];
if(max < L[i])
max = L[i];
}
int min = p->next->data;
int max = p->next->data;
for(; p != NULL; p = p->next) {
if(min > p->data)
min = p->data;
if(max < p->data)
max = p->data;
}
逆序
int i = 0;
int j = n-1;
while(i < j) {
temp = L[i];
L[i] = L[j];
L[j] = temp;
i++; j--;
}
while(p->next != r) {
temp = p->next;
p->next = temp->next;
temp->next = r->next;
r->next = temp;
}
归并
int i = 0, j = 0, k = 0;
while(i < A.length && j < B.length) {
if(A.data[i] <= B.data[j])
c.data[k++] = A.data[i++];
else
c.data[k++] = B.data[j++];
}
while(i < A.length)
c.data[k++] = A.data[i++];
while(j < B.length)
c.data[k++] = B.data[j++];
c.length = k;
while(p->next != NULL && q->next != NULL) {
if(p->next->data < q->next->data) {
r->next = p->next;
p->next = p->next->next;
r = r->next;
} else {
r->next = q->next;
q->next = q->next->next;
r = r->next;
}
if(p->next != NULL)
r->next = p->next;
if(q->next != NULL)
r->next = q->next;
free(p); free(q);
}