目录
一. 介绍
在密码学中,K代表密钥,M代表明文,C代表密文,每个都有各自的概率分布。
密钥是通过密钥生成算法Gen产生的,通常而言都是均匀且随机的形式选择密钥,如下:
明文的分布通常跟密码方案是无关的,而是跟加密/解密方相关,也可以看成敌手(adversary)的不确定性,如下:
比如,军队传递消息,明文可能是以下两者之一:
attack today don't attack
这两者的概率有可能也不一样,比如:
Pr[M=attack today]=0.7 Pr[M=don't attack]=0.3
密钥K是由密码方案决定的,也就是由Gen确定。明文M取决于外部条件,所以,密钥K和明文M分布上通常是互相独立的。
当确定了加密方案和明文分布,那么密文分布也就确定了,如下:
或者写做:
Pr[C=c]
二. 举例:移位密码
移位密码,写做shift cipher,在网络安全领域很常见
假定密钥K只有26种情况,K={0,...,25},每个密钥取到的概率均相等,也就是:
Pr[K=k]=1/26
假定明文只有两种情况a和z,其概率分布满足如下:
![]()
(1)密文概率
请分析密文为B的概率?
解:
当密文为B时,很明显只有两种情况可能:
明文M=a,且密钥K=1
明文M=z,且密钥K=2
根据明文M和密钥K之间是互相独立的,可计算:

第一个等号:M与K之间的独立
第二个等号:带入明文的概率以及密钥的概率
同理可计算另一种情况为:

综合两者情况相加可得:

(2)明文概率
当看到密文是B时,请推断明文为a的概率?
解:
很明显该题为条件概率。根据Bayes定理,可得:

第一个等号:条件概率的性质
第二个等号:明文为a的概率为0.7,密文为B的概率第一问已经计算完
如果给定明文M=a时,只有当密钥K=1,其概率为1/26时,密文才是C=B,所以可得:
Pr[C=B|M=a]=1/26
三. 举例:多字母的移位密码
如刚才的例题,我们还是采纳移位密码,但此时明文M的分布如下:
![]()
请求密文C=DQQ的概率?
解:
只有两种情况可以保证密文C=DQQ。
情况1:明文M=ann,密钥K=3
情况2:明文M=boo,密钥K=2
容易计算以上概率为:
当然如果想计算当看到密文为DQQ时,明文为ann的概率,依旧可以使用Bayes定理计算:
Pr[M=ann|C=DQQ]=0.4
四. 完美安全
完美安全,Perfect secrecy
假设敌手已知明文M的概率分布,加密方案也是全局公开的。敌手唯一不知道的就是所使用的密钥。
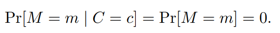
首先一个诚实用户选择明文并加密,接着把该密文传递给另外一方,在这其中敌手可以进行窃听并获得密文,也就是一种唯密文攻击(ciphertext-only attack)。完美安全要求敌手在获得密文后,不能知道其中的明文。换句话说,已知密文推明文的后验概率(posteriori probability)跟明文本身的前验概率(priori)是一样的。
以上表明密文不会泄露明文的任何信息,形式化的定义如下:

其中Pr[C=c]>0只是保证条件概率的分母不为0
五. 举例:双子母的移位密码
证明:双子母的移位密码无法实现完美安全
解:
该题的本质则是证明:

其实很容易证明。我们此处举一个简单的例子,假设明文有两种情况aa或者是ab
很明显当密文为XX时,其明文绝对不可能是ab,也就是:
Pr[M=ab|C=XX]=0
但是:
Pr[M=ab]=1/2
证明完毕
六. 从密文角度看完美安全
如果密文的分布与明文分布无关,其实也能说明完美安全性。
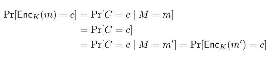
假定有两个明文m和m',如下:
如果加密明文m形成的分布,与加密m'形成的密文分布一样的话,则可以得到:
![]()
注意以上概率分布来源于密钥K的选择以及加密算法Enc的随机性。也就是以上概率分布仅取决于加密方案,与明文分布M无关。换句话说,密文不包含明文m的任何信息,从而无法区分m和m'形成的密文,这不就是完美保密性想表达的内容。
七. 完美保密性质
推论
给定明文空间为M,加密方案为(Gen,Enc,Dec),如果以上m与m'的条件满足的话,那么该密码方案是完美安全的(perfect secret)
证明:
首先所有的概率均为正数:
Pr[M=m]>0
已知明文推断密文的概率可计算为:

第一个等号:密文随机变量C的定义
第二个等号:明文M=m
第三个等号:密钥K与明文M相互独立
以上概率为:已知明文m,遍历密钥空间K,使其加密结果刚好为c
根据条件概率的性质,可得:

证明充分性。
已知完美安全性,所以可得:

带入上式子,可得:
Pr[C=c|M=m]=Pr[C=c]
由此进一步可得:

充分性证明完毕。
证明必要性:
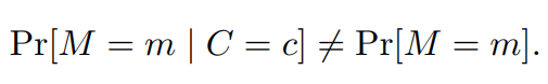
如果明文m的概率恰好为0时,可得:
![]()
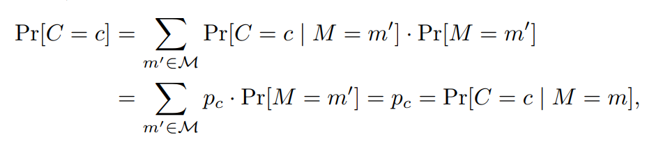
如果明文m的概率非0时,定义一个新的概率如下:
由此可计算为:

必要性证明完毕。
本文探讨了密码学中的密钥、明文和密文概率分布,重点剖析了移位密码的实例,包括单字母和多字母的加密情况。通过计算和理论证明,阐述了移位密码如何在某些条件下实现完美安全,即敌手无法根据密文推断出明文信息。
2万+

被折叠的 条评论
为什么被折叠?



