贝塞尔曲线(Bézier curve),又称贝兹曲线或贝济埃曲线,是应用于二维图形应用程序的数学曲线。现在在很多地方都有使用,包括在svg和canvas上都有贝塞尔曲线相关的api,有时候我们需要去计算贝塞尔曲线上的点的坐标,我们需要通过公式去计算坐标,贝塞尔曲线的公式如下:
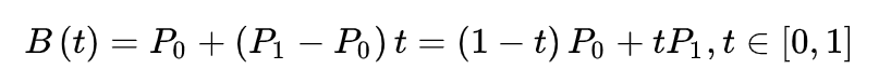
一次贝塞尔:
![]()
二次贝塞尔:
![]()
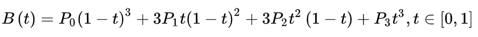
三次贝塞尔:
![]()
是不是一句“我*”出口了,这看不懂啊,是啊,我也看不懂 啊。。。没关系,请往下看:
一次贝塞尔曲线(一次贝塞尔曲线就是直线,没有控制点)求点的坐标:
function oneOrderBezier(t, p1, p2) { //

本文介绍了贝塞尔曲线的基本概念,并详细讲解了如何在JavaScript中计算一次、二次和三次贝塞尔曲线上的点坐标,提供了相应的公式和计算方法。
最低0.47元/天 解锁文章
1850

被折叠的 条评论
为什么被折叠?



