条件随机场
马尔可夫过程
定义
假设一个随机过程中,tnt_ntn 时刻的状态xnx_nxn的条件发布,只与其前一状态xn−1x_{n-1}xn−1 相关,即:
P(xn∣x1,x2,...,xn−1)=P(xn∣xn−1) P(x_n|x_1,x_2,...,x_{n-1}) = P(x_n|x_{n-1}) P(xn∣x1,x2,...,xn−1)=P(xn∣xn−1)
则将其称为 马尔可夫过程。

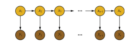
隐马尔科夫算法
定义
隐马尔科夫算法是对含有未知参数(隐状态)的马尔可夫链进行建模的生成模型,如下图所示:

在隐马尔科夫模型中,包含隐状态 和 观察状态,隐状态 xix_ixi 对于观察者而言是不可见的,而观察状态 yiy_iyi 对于观察者而言是可见的。隐状态间存在转移概率,隐状态 xix_ixi到对应的观察状态 yiy_iyi 间存在输出概率。
假设
- 假设隐状态xix_ixi 的状态满足马尔可夫过程,i时刻的状态xix_ixi 的条件分布,仅与其前一个状态xi−1x_{i-1}xi−1相关,即:
P(xi∣x1,x2,...,xi−1)=P(xi∣xi−1) P(x_i|x_1,x_2,...,x_{i-1}) = P(x_i|x_{i-1}) P(xi∣x1,x2,...,xi−1)=P(xi∣xi−1)
- 假设观测序列中各个状态仅取决于它所对应的隐状态,即:
P(yi∣x1,x2,...,xi−1,y1,y2,...,yi−1,yi+1,...)=P(yi∣xi) P(y_i|x_1,x_2,...,x_{i-1},y_1,y_2,...,y_{i-1},y_{i+1},...) = P(y_i|x_{i}) P(yi∣x1,x2,...,xi−1,y1,y2,...,yi−1,yi+1,...)=P(yi∣xi)
存在问题
在序列标注问题中,隐状态(标注)不仅和单个观测状态相关,还和观察序列的长度、上下文等信息相关。例如词性标注问题中,一个词被标注为动词还是名词,不仅与它本身以及它前一个词的标注有关,还依赖于上下文中的其他词。
条件随机场 (以线性链条件随机场为例)
定义
给定 X=(x1,x2,...,xn)X=(x_1,x_2,...,x_n)X=(x1,x2,...,xn) ,Y=(y1,y2,...,yn)Y=(y_1,y_2,...,y_n)Y=(y1,y2,...,yn) 均为线性链表示的随机变量序列,若在给随机变量序列 X 的条件下,随机变量序列 Y 的条件概率分布 P(Y∣X)P(Y|X)P(Y∣X) 构成条件随机场,即满足马尔可夫性:
P(yi∣x1,x2,...,xi−1,y1,y2,...,yi−1,yi+1)=P(yi∣x,yi−1,yi+1) P(y_i|x_1,x_2,...,x_{i-1},y_1,y_2,...,y_{i-1},y_{i+1}) = P(y_i|x,y_{i-1},y_{i+1}) P(yi∣x1,x2,...,xi−1,y1,y2,...,yi−1,yi+1)=P(yi∣x,yi−1,yi+1)
则称为 P(Y|X) 为线性链条件随机场。
通过去除了隐马尔科夫算法中的观测状态相互独立假设,使算法在计算当前隐状态xix_ixi时,会考虑整个观测序列,从而获得更高的表达能力,并进行全局归一化解决标注偏置问题。

参数化形式
p(y∣x)=1Z(x)∏i=1nexp(∑i,kλktk(yi−1,yi,x,i)+∑i,lμlsl(yi,x,i)) p\left(y | x\right)=\frac{1}{Z\left(x\right)} \prod_{i=1}^{n} \exp \left(\sum_{i, k} \lambda_{k} t_{k}\left(y_{i-1}, y_{i}, x, i\right)+\sum_{i, l} \mu_{l} s_{l}\left(y_{i}, x, i\right)\right) p(y∣x)=Z(x)1i=1∏nexp⎝⎛i,k∑λktk(yi−1,yi,x,i)+i,l∑μlsl(yi,x,i)⎠⎞
其中:
Z(x)Z(x)Z(x) 为归一化因子,是在全局范围进行归一化,枚举了整个隐状态序列x1…nx_{1…n}x1…n的全部可能,从而解决了局部归一化带来的标注偏置问题。
Z(x)=∑yexp(∑i,kλxtk(yi−1,yi,x,i)+∑i,lμlsl(yi,x,i)) Z(x)=\sum_{y} \exp \left(\sum_{i, k} \lambda_{x} t_{k}\left(y_{i-1}, y_{i}, x, i\right)+\sum_{i, l} \mu_{l} s_{l}\left(y_{i}, x, i\right)\right) Z(x)=y∑exp⎝⎛i,k∑λxtk(yi−1,yi,x,i)+i,l∑μlsl(yi,x,i)⎠⎞
tkt_ktk 为定义在边上的特征函数,转移特征,依赖于前一个和当前位置
s1s_1s1 为定义在节点上的特征函数,状态特征,依赖于当前位置。
简化形式
因为条件随机场中同一特征在各个位置都有定义,所以可以对同一个特征在各个位置求和,将局部特征函数转化为一个全局特征函数,这样就可以将条件随机场写成权值向量和特征向量的内积形式,即条件随机场的简化形式。


基本问题
条件随机场包含概率计算问题、学习问题和预测问题三个问题。
- 概率计算问题:已知模型的所有参数,计算观测序列 YYY 出现的概率,常用方法:前向和后向算法;
- 学习问题:已知观测序列 YYY,求解使得该观测序列概率最大的模型参数,包括隐状态序列、隐状态间的转移概率分布和从隐状态到观测状态的概率分布,常用方法:Baum-Wehch 算法;
- 预测问题:一直模型所有参数和观测序列 YYY ,计算最可能的隐状态序列 XXX,常用算法:维特比算法。
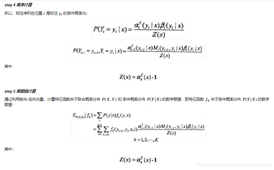
概率计算问题
给定条件随机场P(Y∣X)P(Y|X)P(Y∣X),输入序列 xxx 和 输出序列 yyy;
计算条件概率
P(Yi=yi∣x),P(Yi−1=yi−1,Yi=yi∣x) P(Y_i=y_i|x), P(Y_{i-1} = y_{i-1},Y_i = y_i|x) P(Yi=yi∣x),P(Yi−1=yi−1,Yi=yi∣x)
计算相应的数学期望问题;
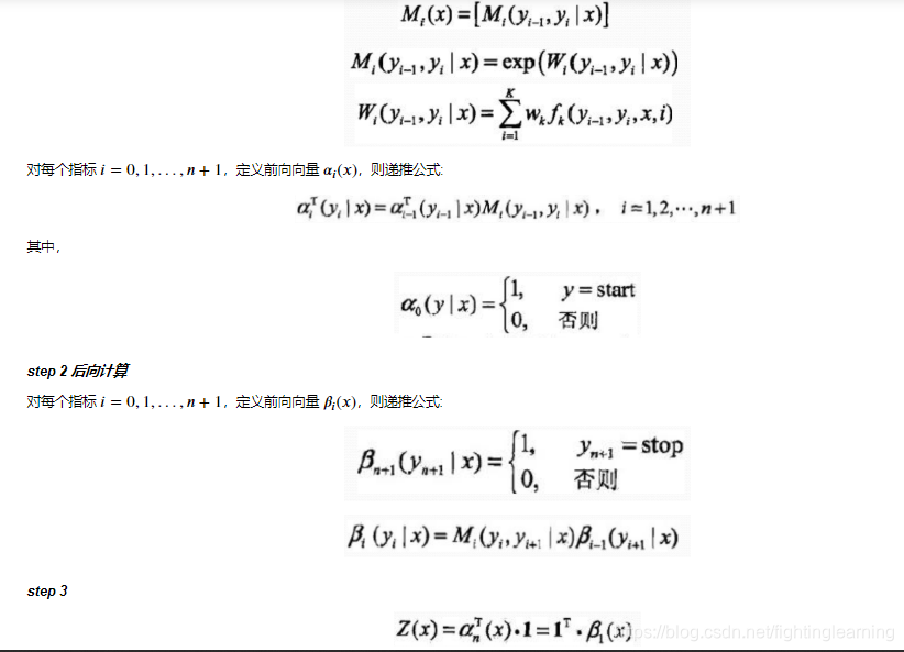
前向-后向算法
step 1 前向计算
对观测序列 xxx 的每个位置 i=1,2,...,n+1i=1,2,...,n+1i=1,2,...,n+1 ,定义一个 mmm 阶矩阵(mmm 为标记YiY_iYi取值的个数)


学习问题
这里主要介绍一下 BFGS 算法的思路。
输入:特征函数 f1,f2,...,fnf_1,f_2,...,f_nf1,f2,...,fn:经验分布 P~(X,Y)\widetilde{P}(X,Y)P(X,Y);
输出:最优参数值 w^\widehat{w}w,最优模型Pw^(y∣x)P_{\widehat{w}}(y|x)Pw(y∣x)。
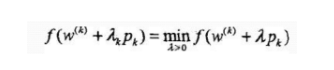
- 选定初始点 w^{(0)}, 取 B0B_0B0 为正定对称矩阵,k = 0;
- 计算 gk=g(w(k))g_k = g(w^(k))gk=g(w(k)),若 gk=0g_k = 0gk=0 ,则停止计算,否则转 (3) ;
- 利用 Bkpk=−gkB_k p_k = -g_kBkpk=−gk 计算 pkp_kpk;
- 一维搜索:求 λk\lambda_kλk使得

-
设 w(k+1)=w(k)+λk∗pkw^{(k+1)} = w^{(k)} + \lambda_k * p_kw(k+1)=w(k)+λk∗pk
-
计算 gk+1g_{k+1}gk+1 = g(w^{(k+1)}),
若 gk=0g_k = 0gk=0, 则停止计算;否则,利用下面公式计算 Bk+1B_{k+1}Bk+1:

- 令 k=k+1k=k+1k=k+1,转步骤(3);
预测问题
对于预测问题,常用的方法是维特比算法,其思路如下:
输入:模型特征向量 F(y,x)F(y,x)F(y,x) 和权重向量 www,输入序列(观测序列) x=x1,x2,...,xnx={x_1,x_2,...,x_n}x=x1,x2,...,xn;
输出:条件概率最大的输出序列(标记序列)y∗=(y1∗,y2∗,...,yn∗)y^{*}= (y_1^*,y_2^*,...,y_n^*)y∗=(y1∗,y2∗,...,yn∗),也就是最优路径;

例子说明
利用维特比算法计算给定输入序列xxx 对应的最优输出序列y∗y^*y∗:

求得最优路径 y∗=(y1∗,y2∗,...,yn∗)=(1,2,1)y^{*}= (y_1^*,y_2^*,...,y_n^*) = (1,2,1)y∗=(y1∗,y2∗,...,yn∗)=(1,2,1)
import numpy as np
class CRF(object):
'''实现条件随机场预测问题的维特比算法
'''
def __init__(self, V, VW, E, EW):
'''
:param V:是定义在节点上的特征函数,称为状态特征
:param VW:是V对应的权值
:param E:是定义在边上的特征函数,称为转移特征
:param EW:是E对应的权值
'''
self.V = V #点分布表
self.VW = VW #点权值表
self.E = E #边分布表
self.EW = EW #边权值表
self.D = [] #Delta表,最大非规范化概率的局部状态路径概率
self.P = [] #Psi表,当前状态和最优前导状态的索引表s
self.BP = [] #BestPath,最优路径
return
def Viterbi(self):
'''
条件随机场预测问题的维特比算法,此算法一定要结合CRF参数化形式对应的状态路径图来理解,更容易理解.
'''
self.D = np.full(shape=(np.shape(self.V)), fill_value=.0)
self.P = np.full(shape=(np.shape(self.V)), fill_value=.0)
for i in range(np.shape(self.V)[0]):
#初始化
if 0 == i:
self.D[i] = np.multiply(self.V[i], self.VW[i])
self.P[i] = np.array([0, 0])
print('self.V[%d]='%i, self.V[i], 'self.VW[%d]='%i, self.VW[i], 'self.D[%d]='%i, self.D[i])
print('self.P:', self.P)
pass
#递推求解布局最优状态路径
else:
for y in range(np.shape(self.V)[1]): #delta[i][y=1,2...]
for l in range(np.shape(self.V)[1]): #V[i-1][l=1,2...]
delta = 0.0
delta += self.D[i-1, l] #前导状态的最优状态路径的概率
delta += self.E[i-1][l,y]*self.EW[i-1][l,y] #前导状态到当前状体的转移概率
delta += self.V[i,y]*self.VW[i,y] #当前状态的概率
print('(x%d,y=%d)-->(x%d,y=%d):%.2f + %.2f + %.2f='%(i-1, l, i, y, \
self.D[i-1, l], \
self.E[i-1][l,y]*self.EW[i-1][l,y], \
self.V[i,y]*self.VW[i,y]), delta)
if 0 == l or delta > self.D[i, y]:
self.D[i, y] = delta
self.P[i, y] = l
print('self.D[x%d,y=%d]=%.2f\n'%(i, y, self.D[i,y]))
print('self.Delta:\n', self.D)
print('self.Psi:\n', self.P)
#返回,得到所有的最优前导状态
N = np.shape(self.V)[0]
self.BP = np.full(shape=(N,), fill_value=0.0)
t_range = -1 * np.array(sorted(-1*np.arange(N)))
for t in t_range:
if N-1 == t:#得到最优状态
self.BP[t] = np.argmax(self.D[-1])
else: #得到最优前导状态
self.BP[t] = self.P[t+1, int(self.BP[t+1])]
#最优状态路径表现在存储的是状态的下标,我们执行存储值+1转换成示例中的状态值
#也可以不用转换,只要你能理解,self.BP中存储的0是状态1就可以~~~~
self.BP += 1
print('最优状态路径为:', self.BP)
return self.BP
def CRF_manual():
S = np.array([[1,1], #X1:S(Y1=1), S(Y1=2)
[1,1], #X2:S(Y2=1), S(Y2=2)
[1,1]]) #X3:S(Y3=1), S(Y3=1)
SW = np.array([[1.0, 0.5], #X1:SW(Y1=1), SW(Y1=2)
[0.8, 0.5], #X2:SW(Y2=1), SW(Y2=2)
[0.8, 0.5]])#X3:SW(Y3=1), SW(Y3=1)
E = np.array([[[1, 1], #Edge:Y1=1--->(Y2=1, Y2=2)
[1, 0]], #Edge:Y1=2--->(Y2=1, Y2=2)
[[0, 1], #Edge:Y2=1--->(Y3=1, Y3=2)
[1, 1]]])#Edge:Y2=2--->(Y3=1, Y3=2)
EW= np.array([[[0.6, 1], #EdgeW:Y1=1--->(Y2=1, Y2=2)
[1, 0.0]], #EdgeW:Y1=2--->(Y2=1, Y2=2)
[[0.0, 1], #EdgeW:Y2=1--->(Y3=1, Y3=2)
[1, 0.2]]])#EdgeW:Y2=2--->(Y3=1, Y3=2)
crf = CRF(S, SW, E, EW)
ret = crf.Viterbi()
print('最优状态路径为:', ret)
return
if __name__=='__main__':
CRF_manual()
137

被折叠的 条评论
为什么被折叠?



