微积分 Calculus(周更)
学习目的:回顾相关知识点。
一、单变量微积分 One Variable Calculus
Part 1 导数 derivative
Unit1 导数 极限 连续
1 导数的一般定义
- 单变量微积分并不指问题中变量唯一,而是求导的只对某一个变量
- 几何解释:割线两点,固定一点,移动另一点,当两点无限接近时,割线即为切线,其斜率也即该点的导数

2 极限 limits
| left-hand limit | right-hand limit |
|---|---|
![]() |
![]() |
特殊函数求极限
![]() |
![]() |
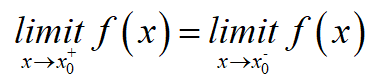
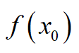
3 连续 continuity
- 连续的条件
| 左右极限存在且相等 | 函数值存在 | 极限与函数值相等 |
|---|---|---|
![]() |
![]() |
![]() |
- 不连续的四种情况
| 跳跃间断 jump discontinuities | 可去间断 removable discontinuities | 无穷间断 infinite discontinuities | 其他间断 |
|---|---|---|---|
| 典型的分段函数 |








最低0.47元/天 解锁文章
2236

被折叠的 条评论
为什么被折叠?



