IP地址
IP地址=网络部分+主机部分=32位
网络部分用来确定终端是不是在同一个网段
主机部分用来确定终端的容量大小(这个网段可容纳多少台)
同一个部门主机应该确保其在一个网段
主机数量应该在你的主机容量的范围内
IP地址分为5类:A、B、C、D、E
A、B、C用于商业用途,D类用于组播,E类用于科研
子网掩码当中连续的1代表网络部分,连续的0代表主机部分。
| 类别 | 地址段 | 二进制数表示地址段 | 默认子网掩码 |
|---|---|---|---|
| A | 1-126 | 00000001-01111111 | 255.0.0.0/8 |
| B | 128-191 | 10000000-10111111 | 255.255.0.0/16 |
| C | 192-223 | 11000000-11011111 | 255.255.255.0/24 |
| D | 224-239 | 11100000-11101111 | |
| E | 240-254 | 00000001-11111110 |
0-所有网段 255-广播
IP地址分为私有地址和公有地址
私有地址:
A:10.0.0.0 -10.255.255.255
B:172.16.0.0 -172.31.255.255
C: 192.168.0.0 -192.168.255.255
私有地址只会出现在局域网中,且可以重复使用。因为每个局域网都是独立的分支,如果没有在互联网中出现的话,不会影响到别的局域网通信。
公有地址出现在互联网中,如果地址重复,将不能正常转发,公有地址必须唯一。
判断是否在同一个网段:
相同网段间数据通信用交换机,不同网段间数据通信路由器。
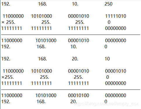
计算步骤:
第一步:把IP地址换算成二进制数
第二步:把子网掩码换算成二进制数,并且与IP地址对齐
第三步:把IP地址与子网掩码做“与”*(乘法)运算
第四步:用“有0出0,全1出1”的口诀计算出结果即为网络位/网络号
第五步:第二个IP网络位/网络号计算方法同上
第六步:比较两网络位/网络号是否相同。如果相同即在同一个网段。两两之间的数据通信即用交换机。如果不相同即不在一个网段,两两之间数据通信用路由器。
例:192.168.10.250/24与193.168.20.10/24是否在一个网段

子网
子网就是将主机地址的几位用来做网络地址来将网路划分位若干子网,便于管理还能减少IP浪费。
子网数=2n(n为网络位借主机位的位数)
主机容量/块大小=2m(m为主机个数)
有效主机容量=2m-2(m为主机的个数)(网络标识位和广播地址是不能用于主机的IP地址的编写的)
(默认)C类有效主机容量=28-2=254台
(默认)B类有效主机容量=216-2=65534台
(默认)A类有效主机容量=224-2=16777214台
子网划分(必要性)
广播隔离、安全、管理
举例:安全,90年代电脑蓝屏
管理以某一段IP代表某一特征
计算子网的块大小
解题思路:1.算主机容量
2.直接用256-主机容量=最后一段网络位
CIDR(无类别域间路由)
是一个用于给用户分配IP地址以及在互联网上有效的由IP数据包的对IP地址进行归类的方法。
逻辑运算
或‘|’ '||'有一个为真即为真
与‘&’ ‘&&’全为真才是真
非‘!’取反
7714

被折叠的 条评论
为什么被折叠?



