写在前面
本系列文章主要讲解通过多物理场仿真研究 LED 发光效率的相关知识,希望能帮助更多的同学认识和了解LED的发光。
若有相关问题,欢迎评论沟通,共同进步。(*^▽^*)
高亮度发光二极管(LED)彻底变革了照明行业,其中,蓝光 LED 更是引领了一个广泛使用高效 LED 照明的新时代。但由于高亮度 LED 需要由更高的电流驱动,因此它们的效率发生了降低,这就是 LED 光效下降现象。通过多物理场仿真,我们能够研究并理解 LED 发光效率背后的作用机理。
1. 高效的高亮度白光 LED
相对传统的照明技术,LED 可谓相当高效。要实现与白炽灯等效的照明效果,LED 只需要普通白炽灯所耗能量的 10% 到 20%,而且使用寿命是后者的25倍。
1. LED VS 传统灯泡
LED 的工作方式与传统灯丝灯泡完全不同,这也大幅改善了它的性能。LED 是一种半导体器件,当导带中的电子跨过带隙与价带中的空穴产生辐射复合时,就会发光。正常工作状态下,这一过程只会产生很少的热,因此驱动能量被转化为光的比例很高。
白炽灯则依赖于对灯丝的电阻加热,当灯丝足够炽热时,才会发光。对灯丝的加热就要耗费大量的能量,只有一小部分的输出能量被用来发光。高温也会缩短白炽灯的使用寿命,因为白炽灯故障的原因几乎总是灯丝被烧坏。
2. 为何 LED 的颜色很重要
与白炽灯不同,LED 会在一个很窄的波长范围内发光,因此人们会抱怨早期 LED 灯泡所发出的光“不自然”。
红光、绿光和黄光 LED 已经推出了几十年,但只有蓝光 LED 的发明才使得高效的高亮度白光 LED 照明成为现实。蓝光 LED 极大地改进了 LED 发射的亮度和光谱质量。颜色会带来什么影响?
这么说,蓝光 LED 之所以重要,是因为蓝色光子靠近人眼可以探测到的能量范围的上限。这使得蓝色光子可以从 LED 灯壳周围的荧光层来激励更宽的发射,进而得到在更低能量范围内的光子发射。这反过来又创造了一个更宽的发射光谱,人们通常将其描述为更“暖”。
或者,蓝光 LED 可结合红光与绿光 LED,通过均衡各自的相对亮度来实现任何所需的色调。这打开了定制化灯光的应用前景,它的亮度和颜色都可以变化。事实上,这个想法已经在照明行业引起了一场革命。人们竞相开发新型高效和定制化照明产品。
2. 通过多物理场仿真模拟蓝光 LED
虽然相比之前的照明技术,LED 极大地提升了效率,但仍存在一些需要克服的科学和工程学挑战。
1. 多余的效应:LED 光效下降
具体来看,LED 的效率会随着驱动电流密度的增加而下降,导致 LED 光效下降。这意味着要维持照明效率,LED 必须在非常低的电流下工作。由于 LED 光效下降效应,我们必须增大 LED 器件的面积,或在一个灯泡中增加更多的 LED,从而在不牺牲效率的同时增加亮度。
如果可以消除 LED 光效下降,就可以简单地通过增加驱动电流来使 LED 变得更亮。这也有助于减少 LED 灯泡生产的费用和对环境的影响。许多正在进行中的研究主题就是 LED 光效下降的原因。通过多物理场仿真来研究造成这一效应的可能机理,是深入了解该问题的一种方法。
2. 多物理场仿真实例
蓝色光子发射所需的大带隙是通过基于氮化镓的材料来实现的。具体地说,用到了 InGaN/AlGaN 双异质结构器件,一层较低带隙的 InGaN 材料像三明治夹心一样位于大带隙的AlGaN 之中。该器件被掺杂形成 p-i-n 二极管,InGaN 发光层位于本征区域的中心。

图 1 蓝光 LED 器件的几何和掺杂
左:器件层状结构示意图。沟槽被刻蚀到 n 型掺杂层,以安放 n 型接触层,p 型接触层沉积在表面上。右上:模型几何是器件主动型双异质结构截面中的一维截线。右下:带符号的器件掺杂浓度显示了 InGaN 发光层位于 p-i-n 二极管结构的本征区域。
双异质结构的设计有助于实现 LED 器件效率的最大化。较低带隙的 InGaN 层可以形成一个势阱,用于捕捉导带中的电子和价带中的空穴。在平衡态,不施加电压时,p-i-n 结两端的固有势能会形成一个势垒,阻止电流通过。施加正向偏压会降低势垒高度,使载流子占据 InGaN 层中的势阱。
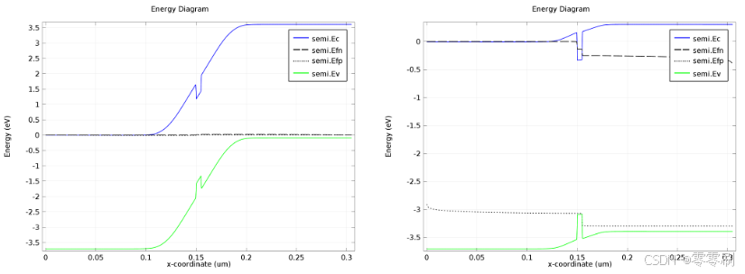
如下所示,这可以通过绘制对应于两个不同施加电压的器件能量图来观察:

图 2 双异质结构 LED 的能级图
左:零偏压。右:正向偏压。InGaN 层的位置为 0.15 ≤ x ≤ 0.155 μm,会在导带和价带中形成一个势阱。可通过施加正向偏压来降低器件中 n 型和 p 型区之间的势垒。导带和价带分别被标记为 semi.Ec 和 semi.Ev,电子和空穴的准费米能级分别被标记为 semi.Efn 和 semi.Efp。
随着器件中势垒的降低,施加正向偏压也会影响准费米能级。这会给整个器件中的载流子浓度带来重要影响。在零偏压下,准费米能级距离能带边缘较远,所以得到的 InGaN 势阱中的载流子数量较少。施加正向偏压后,准费米能级与势阱中的导带和价带重叠,所以 InGaN 层中的电子和空穴浓度都较高。这些效应可以在下方的两张载流子浓度图中查看。
要实现电子和空穴的复合,二者需要有相同的 x 坐标,所以势阱能够将发射局部化在 InGaN 层中。由于所需的波长仅由 InGaN 材料发出,对发射的局部化增加了发生在 InGaN 层中的复合比例,LED 的效率由此提升。

图 3 整个器件中的载流子浓度
左:零偏压。右:正向偏压。在上述两种情况下,InGaN 势阱都捕捉到了电子和空穴。但随着正向偏压的施加,势阱中的载流子浓度急剧上升。
通过抛物线形能带近似和直接带隙转化模型,来自 InGaN 材料的发射光谱可通过本区域内的载流子动力学进行计算。发射光谱中的峰值波长独立于 InxGa((1-x))N 合金的组成,该组成控制了材料的带隙能量。在本例中,InGaN 材料带隙被设定用来保证 430 到 450 nm 的发射,即落于可见光谱的蓝色区域。您可以在下方查看所得到的光谱,这是对在 10 mA 驱动电流下运行的器件进行计算所得到的结果。
请注意,由于不考虑材料杂质和其他展宽效应,在对应带隙能量的波长处出现了突然的发射截断。

图 4 从 InGaN 层中心计算得到的电致发光光谱
3. 优化 LED 的光输出效率
我们可以通过将 InGaN 层的总光子发射率绘制为驱动电流的函数来可视化 LED 的光效下降效应。最初,总发射率随电流几乎呈线性增长。但当电流达到几十 mA 后,总发射率发生弯曲,开始出现一个非常次线性的增长率。

图 5 总发射率的次线性增长作为驱动电流的函数就是 LED 的光效下降特征
通过考察 InGaN 层中的总光子发射率与载流子注射率的比率,我们评估了 LED 的效率。这使得我们可以计算内量子效率,这是注射载流子在 InGaN 发光区域中进行辐射复合的概率。由于双异质结构器件的侧向截面区域可能会有不同,如上图所示,将内量子效率作为电流密度的函数来考虑会很有帮助。
在电流密度约为 30 A cm(-2) 处,效率有一个明显的峰值,这可以由载流子动力学来解释。在极低的驱动电流下,准费米能级不与能带边缘重叠,势阱没有优先被载流子占据。与此相反,在电流密度高于约 100 A cm(-2) 时,势阱中的载流子浓度会很高,其他载流子间的相互作用会降低辐射复合的比例。
除了载流子间的相互作用降低了辐射复合的限域载流子比例,与电流密度增加相关联的更高的载流子注射率也降低了不复合而被限制在 InGaN 势阱内部的载流子比例。此外,由增加的电流所带来的焦耳热也会降低效率,因为用于加热器件的电子能量无法用来产生光。但本次仿真中未包含降低的载流子限域概率和加热效应。
虽然我们还没能完全理解造成 LED 光效下降背后的精确机理,但我们在多物理场仿真中聚焦了非辐射衰减机理效应。这些机理会降低发射光子发生复合的比例,进而造成光效的下降。通过俄歇复合模型包括了载流子间相互作用的效应,通过阱辅助复合模型包括了杂质散射效应。下面的截屏显示了模型开发器树状结构中的两个无辐射特征以及光跃迁特征,通过直接带隙转化模型计算了辐射发射率。

图 6 模型开发器树状结构的截屏突出了其中所包括的复合机理
俄歇复合考虑每个能带内载流子间的相互作用,它对发射效率的影响最大。俄歇复合的速率与载流子密度的立方成正比,而直接辐射复合的速率与载流子密度的平方成正比。这意味着,俄歇复合的相对速率随载流子浓度的增加而增加,与光子发射复合的载流子比例减少了。因此,光效降低了。

图 7 器件的电流-电压曲线
蓝线显示了从电压驱动研究中获得的数据,在该研究中,电压边界条件被应用于接触面,并计算了由此产生的电流。绿色标记显示了从电流驱动研究中获得的数据,在该研究中,p 型接触层的电流固定,并计算了由此产生的电压。黄圈显示了对应于内量子效率峰值的电流范围。
本器件模拟的水平尺寸是 200 * 200 μm。内量子效率的峰值对应于 10-30 mA 的驱动电流,也是这类尺寸 LED 中的典型电流。鉴于上图所示的器件电流-电压曲线,我们能够清楚地看到 LED 光效下降的结果。器件显示了典型的二极管行为,开关电压约为 3.3 V。蓝线和绿色标记分别显示了在电压驱动和电流驱动下的仿真结果。黄圈表示了 LED 可以高效工作的电流范围。
由于 LED 光效下降的原因,LED 一直被限制在二极管开关电压对应的电流附近工作。这意味着,为了在不牺牲效率的前提下增加光子的总发射率,我们必须增加器件的面积。消除或降低 LED 的光效下降,将会使我们可以简单地通过增大驱动电流来增加 LED 的亮度,同时不会造成光效的下降。同时,用于实现给定光输出的半导体材料需求会减少,这将降低 LED 照明产品的成本和环境影响。
4. 总结
在多物理场仿真的帮助下,我们研究了 LED 器件的发射特性和理想工作范围。在模型结果中,我们看到了非辐射复合机理的重要性,以及它对 LED 的光效下降会造成怎样的影响。因为可以结合仿真和实验结果来验证需要包含哪些过程,以及每个可能的光效降低机理的相对重要性,所以仿真是增强产品研发活动的重要工具。
本文章是博主花费大量的时间精力进行梳理和总结而成,希望能帮助更多的小伙伴~ 🙏🙏🙏
后续内容将持续更新,敬请期待(*^▽^*)
欢迎大家评论,点赞,收藏→→→
820

被折叠的 条评论
为什么被折叠?



