优快云话题挑战赛第2期
参赛话题:学习笔记

题目一、876. 链表的中间结点
原题链接:876. 链表的中间结点
题目描述:
给定一个头结点为 head 的非空单链表,返回链表的中间结点。
如果有两个中间结点,则返回第二个中间结点。
解题思路:
已经给定非空链表的头节点,那么就不需要判断链表是否为空了;
我们通过循环记录链表节点的个数,将记录的个数除以2得到指针需要移动的次数,返回移动完后的节点即可。
解题代码:
/**
* Definition for singly-linked list.
* public class ListNode {
* int val;
* ListNode next;
* ListNode() {}
* ListNode(int val) { this.val = val; }
* ListNode(int val, ListNode next) { this.val = val; this.next = next; }
* }
*/
class Solution {
public ListNode middleNode(ListNode head) {
ListNode curr = head;//创建新节点记录给定头节点
int total = 0; //total记录节点总数
while(curr != null){ //不为空
total++; //记录节点数+1
curr = curr.next;//指针指向下一节点
}
for(int i = 0;i < total>>1;++i){//total>>1,相当于总数 / 2
head = head.next; //指针扫过一半节点,抵达中间节点
}
return head;//返回中间节点
}
}
提交结果:
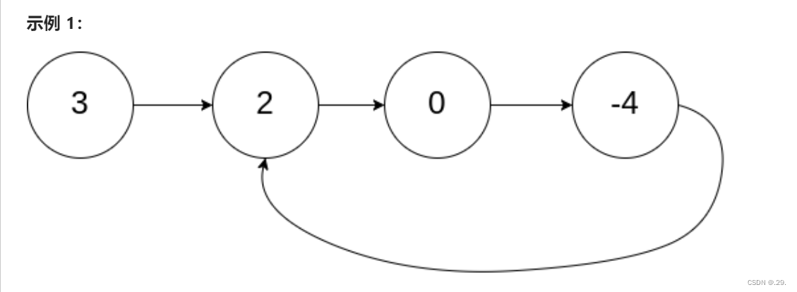
题目二、142. 环形链表 II
原题链接:142. 环形链表 II
题目描述:
给定一个链表的头节点 head ,返回链表开始入环的第一个节点。 如果链表无环,则返回 null。
如果链表中有某个节点,可以通过连续跟踪 next 指针再次到达,则链表中存在环。
为了表示给定链表中的环,评测系统内部使用整数 pos来表示链表尾连接到链表中的位置(索引从 0 开始)。
如果 pos 是 -1,则在该链表中没有环。
注意:pos不作为参数进行传递,仅仅是为了标识链表的实际情况。不允许修改 链表。
输入:head = [3,2,0,-4], pos = 1
输出:返回索引为 1 的链表节点
解释:链表中有一个环,其尾部连接到第二个节点。
输入:head = [1,2], pos = 0
输出:返回索引为 0 的链表节点
解释:链表中有一个环,其尾部连接到第一个节点。
输入:head = [1], pos = -1
输出:返回 null
解释:链表中没有环。
解题思路:
使用不可重复的set集合来存放节点元素,不断扫描数组,若遇到无法存放节点的情况,说明节点重复,重复节点就是入环的第一个节点。
如果存在节点的下一节点为null,说明无环,直接返回null。
/**
* Definition for singly-linked list.
* class ListNode {
* int val;
* ListNode next;
* ListNode(int x) {
* val = x;
* next = null;
* }
* }
*/
public class Solution {
public ListNode detectCycle(ListNode head) {
ListNode pos = head;
Set set = new HashSet();//创建不可重复的单列集合
while(pos != null){ //节点不为空时
if(set.add(pos)){ //节点元素放入集合中
pos = pos.next; //指针后移
}else{ //节点无法放入集合,说明已经扫描过
return pos; //直接返回,这就是入环节点
}
}
return null; //存在节点下一位为空,说明无环,返回空
}
}
提交结果:
题目三、121. 买卖股票的最佳时机
原题链接:121. 买卖股票的最佳时机
题目描述:
给定一个数组 prices ,它的第 i 个元素 prices[i] 表示一支给定股票第 i 天的价格。
你只能选择 某一天 买入这只股票,并选择在 未来的某一个不同的日子 卖出该股票。设计一个算法来计算你所能获取的最大利润。
返回你可以从这笔交易中获取的最大利润。如果你不能获取任何利润,返回 0 。
解题思路:
遍历数组中每一天的股价,记录最低值min,遍历到比min大的股价,就计算差值,最终返回最大的差值,就代表最大利润。
解题代码:
class Solution {
public int maxProfit(int[] prices) {
int min = prices[0];//表示最低的价格
int max = 0; //表示最高的利润
for(int i = 0;i < prices.length;++i){
if(prices[i] <= min){//如果这天股价更低
min = prices[i]; //将股价记录为min
}else if(max < prices[i]-min){//如果这天股价高,计算与min差值
max = prices[i]-min; //若结果高于记录max,更新最大利润
}
}
return max; //返回最大利润
}
}
贵在坚持:
本文针对链表的中间结点、环形链表II及买卖股票的最佳时机三个经典问题,提供了详细的解题思路与代码实现,旨在帮助读者理解和掌握相关算法技巧。










1097

被折叠的 条评论
为什么被折叠?



