1 大根堆
进行堆排序之前,需要先明确大根堆的概念,大根堆就是根节点是整棵树的最大值(根节点大于等于左右子树的最大值),对于他的任意子树,根节点也是最大值。大根堆有两个操作,一个创建堆heapInsert时间复杂度是O(N),还有一个操作是当大根堆里的某个节点的值,发生变化的时候,需要对这个大根堆进行调整,每一次调整时间复杂度是O(lg(N)),调整的次数是跟这个堆的高度有关。这里总结了一下,使用了很多图,应该很简单就能立即
2 创建堆,heapInsert
这里堆放到数组里进行存储的,首先堆是一棵完全二叉树。比如一棵树有N个元素,存放在数组里分别对应0~N-1,假设数组中从0到i-1位置的元素是一个大根堆,然后把第i个位置的元素插入大根堆里,构造一个新的大根堆,就需要从第i个位置的元素开始,依次看它的父节点的值是否小于它,如果小于就进行交换,直到它的父节点不小于它,或者到了该大根堆的最顶端的根节点,这一次过程才算彻底结束。
上面说的不太清楚,看下面具体的例子
下面这个是一个随机生成的数组。

它对应的完全二叉树的结构:

index是数组的下标,从0开始,现在开始创建大根堆,index=0;
| 大根堆结构 | 数组 |
|---|---|
![]() | ![]() |
index=1
把43插入到大根堆里,43的父节点为9,43大于9,所以9要和43交换位置,然后构成新的大根堆。
| 大根堆结构 | 数组 |
|---|---|
![]() | ![]() |
index=2
把-54插入进来,由于-54小于它的父节点43,所以不进行交换
| 大根堆结构 | 数组 |
|---|---|
![]() | ![]() |
index=3
插入4,由于4小于它的父节点,所以不进行交换。
| 大根堆结构 | 数组 |
|---|---|
![]() | ![]() |
index=4
插入-13,由于-13小于它的父节点,所以不交换。
| 大根堆结构 | 数组 |
|---|---|
![]() | ![]() |
index=5
插入10,由于10比它的父节点-54大,所以进行交换。
| 大根堆结构 | 数组 |
|---|---|
![]() | ![]() |
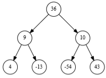
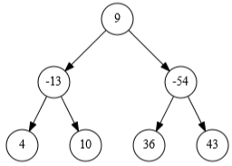
index=6
插入36,36比它的父节点10大,进行交换
| 大根堆结构 | 数组 |
|---|---|
![]() | ![]() |
以上就是建立整个大根堆的过程。
public static void heapInsert(int[] arr,int index){
/*
对第i个元素进行插入,前提是前i-1个元素已经变成了大根堆,
然后把最后面的一个元素,插入进去,进行调整,把它变成大根堆,它调整的过程是看第i个元素的父节点,
是否比它小,如果小的话,就进行交换,然后再网上看父节点,直到它的父节点比他大,或者到了整棵树的根节点。
* */
while(arr[index]>arr[(index-1)/2]){
// while 循环的终止条件是当前节点比它的父节点小,当index为0的时候,(index-1)/2也为0,循环也会终止。
swap(arr, index, (index - 1) / 2);
index = (index - 1) / 2;
}
}
// swap函数用于交换两个不同位置的元素
public static void swap(int[] arr, int i, int j) {
int tmp = arr[i];
arr[i] = arr[j];
arr[j] = tmp;
}
3 调整堆 heapify
数组中对应的大根堆的长度为heapSize,则从0到heapSize-1,是大根堆里的元素,当数组中下标为index的元素的值发生了变化,就要对这个堆进行调整,保证它还是大根堆,具体过程是:将index对应的元素和它的左右子节点的值进行比较,如果比它小的话,就把index对应的元素和它的左右子节点中最大的值进行交换,交换后对他的子节点也执行这个过程。
public static void heapify(int[] arr,int index,int heapSize){
// 要调整的节点的左孩子节点
int left=2*index+1;
// 0到heapSize-1,是大根堆,所以当left等于或者大于heapSize的时候,说明index对应的节点就是叶子节点。
while(left<heapSize){
// 寻找左子节点和右子节点的最大值,left+1 为右子节点,当右子节点存在且右子节点的值大于左子节点的值的时候,largest才是右子节点。
int largest=left+1<heapSize&&arr[left+1]>arr[left]?left+1:left;
// 把左右子节点中的最大值和父节点进行比较,来判断是否进行交换
largest = arr[largest] > arr[index] ? largest : index;
// 如果当前节点比它的左右子节点都大的话,就没有必要再进行交换了。
if (largest == index) {
break;
}
swap(arr, largest, index);
index = largest;
left = index * 2 + 1;
}
}
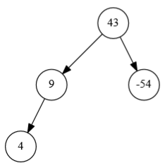
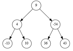
以上面的大根堆为例,我们最上面的元素43和最后面的一个元素交换,同时把heapSize减1,这个时候数组就变成了这样:

这个数组对应的堆就变成了这样:43 不考虑。

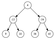
接下来开始进行调整,首先是10和它的左右子元素进行比较,36比较大,交换。就变成了这样:

然后10比-54大,所以不用再进行交换了,这就是一次heapify.
4 堆排序
堆排序就是利用了heapinsert和heapify来进行排序,当创建完大根堆以后,每一次都把堆顶的元素和堆的最后一个元素进行交换,并且把堆的长度减小1,然后对新的堆进行调整,重新调整为大根堆,然后再取堆顶的元素和堆的最后一个节点进行交换,大根堆的长度减小1,然后再调整,重复这个过程,直到堆里面剩余的元素个数为1.这就是堆排序,具体代码如下:
public static void heapSort(int[] arr) {
if (arr == null || arr.length < 2) {
return;
}
for (int i = 0; i < arr.length; i++) {
heapInsert(arr, i);
}
int size = arr.length;
swap(arr, 0, --size);
while (size > 0) {
heapify(arr, 0, size);
swap(arr, 0, --size);
}
}
public static void heapInsert(int[] arr, int index) {
while (arr[index] > arr[(index - 1) / 2]) {
swap(arr, index, (index - 1) / 2);
index = (index - 1) / 2;
}
}
public static void heapify(int[] arr, int index, int size) {
int left = index * 2 + 1;
while (left < size) {
int largest = left + 1 < size && arr[left + 1] > arr[left] ? left + 1 : left;
largest = arr[largest] > arr[index] ? largest : index;
if (largest == index) {
break;
}
swap(arr, largest, index);
index = largest;
left = index * 2 + 1;
}
}
public static void swap(int[] arr, int i, int j) {
int tmp = arr[i];
arr[i] = arr[j];
arr[j] = tmp;
}
还是以上面的数组对应的大根堆为例:
最开始:

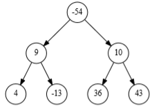
刚开始heapSize 为7,把43 和10 进行交换,heapSize变成6,此时堆对应的数组就变成了

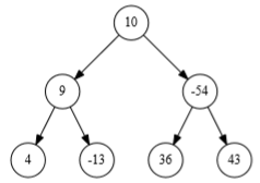
然后开始调整:10 和36交换,堆对应的数组就变成了左边这个,由于10不小于-54,不再进行交换,这个时候43 不考虑。
![]() | ![]() |
把36和-54 交换,heapSize变成5,最开始的时候是最左边,然后-54和10进行交换,因为heapSize为5,这一次就结束了。
![]() | ![]() |
把10和-13交换,heapSize变成4,-13和9进行交换,此时还没有调整完成,因为-13小于它的左子节点,还要再调整一次,
| 交换后 | 最终 | |
|---|---|---|
![]() | ![]() | ![]() |
然后是-13和9交换,heapSize变成3,然后-13和4(4比-54大)进行交换,这次调整就结束了。
![]() | ![]() |
把4和-54 交换,heapSize变成2,-54和-13进行交换。
![]() | ![]() |
把-54和-13交换,heapSize变成1,结束



















31万+





