为了进一步消除因变换量化导致的振铃效应,在H.266的探索阶段,爱立信公司在第4次JVET会议中提出了一种双边滤波技术,并被JVET接受。该技术存在于反变换之后,提案JVET-D0069给出了具体的技术方案和编码性能,对于AI和RA结构的性能分别为0.45%和0.50%。

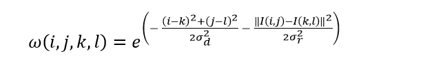
上图给出了滤波器的形状,呈现十字型。该技术用十字型的滤波器对反变换的重建块进行滤波操作,滤波器的系数与像素点的像素值以及空域的位置有关,因此,这个滤波既考虑了空域位置信息,也进一步考虑了空域像素间的取值信息,系数计算如下式

w(i,j,k,l)表示十字型滤波器模板周围四个点的系数,I(i,j)进行滤波的像素点的像素值及位置信息,I(k,l)表示十字型滤波器模板周围四个点的像素值及位置信息,公式的其余参数是固定的,与滤波块的尺寸以及量化参数有关,如下所示:

最终I(i,j)位置经过滤波后的像素值为:

该技术的滤波器设计和系数计算值得关注,既考虑空域位置信息也考虑了空域像素间的信息,具有创新性,并且该技术的复杂度较低,性能蛮不错的。
具体技术文档见:https://download.youkuaiyun.com/download/double_s_c/10369288
介绍H.266标准中一种用于减少变换量化引起的振铃效应的双边滤波技术。该技术由爱立信提出并在JVET-D0069提案中详细描述,采用十字型滤波器,能有效提升AI和RA结构的性能。
2254

被折叠的 条评论
为什么被折叠?



