文章目录
一、面向对象初步(接DAY07)
10. 方法没有重载
- 不要使用重名的方法!Python 中方法没有重载。
- Python 中没有方法的重载。定义多个同名方法,只有最后一个有效。
class person:
def say_hi(self):
print('hello')
def say_hi(self,name):
print('{0},hello'.format(name))
p1=person()
p1.say_hi('zfloss')
运行结果
zfloss,hello
11. 方法的动态性
- Python 是动态语言,我们可以动态的为类添加新的方法,或者动态的修改类的已有的方法。
#测试方法的动态性
class person:
def work(self):
print('NLP算法工程师')
def study(self):
print('python基础')
def work2(self):
print('CV算法工程师')
person.learn=study
person.work=work2
**********************************
#常规方法
class person:
def work(self):
print('NLP算法工程师')
def learn(self):
print('python基础')
def work(self):
print('CV算法工程师')
#以下是公用代码
p=person()
p.work()
p.learn()
运行结果:
CV算法工程师
python基础
12. 私有属性和私有方法(实现封装)
- Python 对于类的成员没有严格的访问控制限制,这与其他面向对象语言有区别。关于私有属性和私有方法,有如下要点:
- 通常我们约定,两个下划线开头的属性是私有的(private)。其他为公共的(public)。
- 类内部可以访问私有属性(方法)
- 类外部不能直接访问私有属性(方法)
- 类外部可以通过**“_ 类名 __ 私有属性(方法)名**”访问私有属性(方法)
- 【注】方法本质上也是属性!只不过是可以通过()执行而已。所以,此处讲的私有属性和公有属性,也同时讲解了私有方法和公有方法的用法。如下测试中,同时也包含了私有方法和 公有方法的例子。
class Employee:
__company='NLP'
def __init__(self,name,age):
self.name = name
self.__age = age
def say_company(self):
print('我的公司是:',Employee.__company)
print(self.name,'年龄是:',self.__age)
self.__work()
def __work(self):
print('工作!好好工作,好好赚钱,娶个媳妇!')
p1 = Employee('Zfloss',23)
print(p1.name)
print(dir(p1))
p1.say_company()
print(p1._Employee__age) #访问私有属性
#print(p1.__age) #直接访问私有属性,报错
# #p1.__sleep() #直接访问私有方法,报错
运行结果:
Zfloss
['_Employee__age', '_Employee__company', '_Employee__work', '__class__', '__delattr__', '__dict__', '__dir__', '__doc__', '__eq__', '__format__', '__ge__', '__getattribute__', '__gt__', '__hash__', '__init__', '__init_subclass__', '__le__', '__lt__', '__module__', '__ne__', '__new__', '__reduce__', '__reduce_ex__', '__repr__', '__setattr__', '__sizeof__', '__str__', '__subclasshook__', '__weakref__', 'name', 'say_company']
我的公司是: NLP
Zfloss 年龄是: 23
工作!好好工作,好好赚钱,娶个媳妇!
23
13. @property装饰器
- @property 可以将一个方法的调用方式变成“属性调用”。
#简单测试@property
class Employee:
@property
def salary(self):
return 30000
emp1=Employee
print(emp1.salary)
print(type(emp1.salary))
#emp1.salary() #报错:property对象没有调用
#emp1.salary=1000 ##@property 修饰的属性,如果没有 加 setter 方法,则为只读属性。此处修改报错:AttributeError: can't set attribute
运行结果:
<property object at 0x00000181C4B6EE50>
<class 'property'>
- @property 主要用于帮助我们处理属性的读操作、写操作。对于某一个属性,我们可以直 接通过:
emp1.salary = 30000 - 如上的操作读操作、写操作。但是,这种做法不安全。比如,我需要限制薪水必须为 1-10000 的数字。这时候,我们就需要通过 getter、setter 方法来处理。
#测试@property
class Employee:
def __init__(self,name,salary):
self.name = name
self.__salary = salary
@property #相当于salary属性的getter方法
def salary(self):
print('月薪为:{0},年薪为:{1}'.format(self.__salary,(15*self.__salary)))
return self.__salary
@salary.setter #相当于salary属性的setter方法
def salary(self,salary):
if(0<salary<1000000):
self.__salary=salary
else:
print('录入错误,请输入0-1000000之间的数字')
emp1=Employee('Zfloss',30000)
print(emp1.salary)
emp1.salary=-100
运行结果:
月薪为:30000,年薪为:450000
30000
录入错误,请输入0-1000000之间的数字
14. 属性和方法命名总结
- · _xxx:保护成员,不能用“from module import * ”导入,只有类对象和子类对象能访 问这些成员。
- · __xxx __:系统定义的特殊成员
- · __xxx: 类中的私有成员,只有类对象自己能访问,子类对象也不能访问。(但,在类外 部可以通过“对象名. _类名__xxx”这种特殊方式访问。Python 不存在严格意义的私有成员)
- 注:再次强调,方法和属性都遵循上面的规则。
15. 类编码风格
- 类名首字母大写,多个单词之间采用驼峰原则。
- 实例名、模块名采用小写,多个单词之间采用下划线隔开。
- 每个类,应紧跟“文档字符串”,说明这个类的作用。
- 可以用空行组织代码,但不能滥用。在类中,使用一个空行隔开方法;模块中,使用两个空行隔开多个类。
16. 实操作业
class Student:
company = "尚学堂" #类属性
count = 0 #类属性
def __init__(self,name,score):
self.name = name #实例属性
self.score = score
Student.count = Student.count+1
[pdef say_score(self): #实例方法
print("我的公司是:",Student.company)
print(self.name,'的分数是:',self.score)
s1 = Student('高淇',80)
#s1 是实例对象,自动调用__init__()方法
s1.say_score()
print('一共创建{0}个 Student 对象'.format(Student.count))
运行结果:
我的公司是:尚学堂
高淇的分数是:80
一共创建1个Student 对象
二、面向对象进阶
1. 面向对象三大特征介绍
- Python 是面向对象的语言,也支持面向对象编程的三大特性:继承、封装(隐藏)、多态。
封装(隐藏):
隐藏对象的属性和实现细节,只对外提供必要的方法。相当于将“细节封装起来”,只 对外暴露“相关调用方法”。 通过前面学习的“私有属性、私有方法”的方式,实现“封装”。Python 追求简洁的 语法,没有严格的语法级别的“访问控制符”,更多的是依靠程序员自觉实现。
继承:
继承可以让子类具有父类的特性,提高了代码的重用性。 从设计上是一种增量进化,原有父类设计不变的情况下,可以增加新的功能,或者改进已有的算法。
多态:
多态是指同一个方法调用由于对象不同会产生不同的行为。生活中这样的例子比比皆 是:同样是休息方法,人不同休息方法不同。张三休息是睡觉,李四休息是玩游戏,程序员休息是“敲几行代码”。
2. 继承
(1). 格式语法
- Python 支持多重继承,一个子类可以继承多个父类。继承的语法格式如下:
class 子类类名(父类 1[,父类 2,…]):
类体
- 如果在类定义中没有指定父类,则默认父类是 object 类。也就是说,object 是所有类的父类,里面定义了一些所有类共有的默认实现,比如:__ new__()。
- 定义子类时,必须在其构造函数中调用父类的构造函数。调用格式如下: 父类名.__ init__(self, 参数列表)
class person:
def __init__(self,name,age):
self.name=name
self.age=age
def say_age(self):
print(self.name,'年龄是:',self.age)
class student(person):
def __init__(self,name,age,score):
self.score = score
person.__init__(self,name,age)
s1=student('zfloss',23,125)
s1.say_age()
print(dir(s1))
运行结果:
zfloss 年龄是: 23
['__class__', '__delattr__', '__dict__', '__dir__', '__doc__', '__eq__', '__format__', '__ge__', '__getattribute__', '__gt__', '__hash__', '__init__', '__init_subclass__', '__le__', '__lt__', '__module__', '__ne__', '__new__', '__reduce__', '__reduce_ex__', '__repr__', '__setattr__', '__sizeof__', '__str__', '__subclasshook__', '__weakref__', 'age', 'name', 'say_age', 'score']
(2). 类成员的继承和重写
- 成员继承:子类继承了父类除构造方法之外的所有成员。
- 方法重写:子类可以重新定义父类中的方法,这样就会覆盖父类的方法,也称为“重写”。
#继承和重写的案例
class Person:
def __init__(self,name,age):
self.name=name
self.age=age
def say_name(self):
print('我叫:',self.name)
def say_age(self):
print(self.name,'的年龄是',self.age)
class student(Person):
def __init__(self,name,age,score):
self.score=score
Person.__init__(self,name,age) #构造函数中包含调用父类构造函数
def say_score(self):
print('成绩为:',self.score)
def say_name(self): #重写父类方法
print('报告老师我是:',self.name)
s1=student('zfloss',23,125)
s1.say_name()
s1.say_age()
s1.say_score()
输出结果:
报告老师我是: zfloss
zfloss 的年龄是 23
成绩为: 125
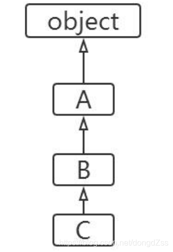
(3). 查看类的继承层次结构
- 通过类的方法 mro()或者类的属性__mro__可以输出这个类的继承层次结构。
#【操作】 查看类的继承层次结构
class A:
pass
class B(A):
pass
class C(B):
pass
print(C.mro())。#mor:继承这个类的输出层次结构
输出结果:
[<class '__main__.C'>, <class '__main__.B'>, <class '__main__.A'>, <class 'object'>]
- 示意图:

3. object 根类
- object 类是所有类的父类,因此所有的类都有 object 类的属性和方法。我们显然有必要深入研究一下 object 类的结构。对于我们继续深入学习 Python 很有好处。
(1). dir()查看对象属性
- 为了深入学习对象,我们先学习内置函数 dir(),他可以让我们方便的看到指定对象所有的属性。
class person:
def __init__(self,name,age):
self.name=name
self.age=age
def say_age(self):
print(self.name,'年龄是:',self.age)
print(dir(object))
s1=person('zfloss',23)
print(dir(s1)) #dir可以看到指定对象的所有属性
运行结果:
['__class__', '__delattr__', '__dir__', '__doc__', '__eq__', '__format__', '__ge__', '__getattribute__', '__gt__', '__hash__', '__init__', '__init_subclass__', '__le__', '__lt__', '__ne__', '__new__', '__reduce__', '__reduce_ex__', '__repr__', '__setattr__', '__sizeof__', '__str__', '__subclasshook__']
['__class__', '__delattr__', '__dict__', '__dir__', '__doc__', '__eq__', '__format__', '__ge__', '__getattribute__', '__gt__', '__hash__', '__init__', '__init_subclass__', '__le__', '__lt__', '__module__', '__ne__', '__new__', '__reduce__', '__reduce_ex__', '__repr__', '__setattr__', '__sizeof__', '__str__', '__subclasshook__', '__weakref__', 'age', 'name', 'say_age']
- 从上面我们可以发现这样几个要点:
- Person 对象增加了六个属性:
** _dict_ _module_ _weakref_ age name say_age ** - object 的所有属性,Person 类作为 object 的子类,显然包含了所有的属性。
- 我们打印 age、name、say_age,发现 say_age 虽然是方法,实际上也是属性。只不过, 这个属性的类型是“method”而已。
age <class ‘int’>
name <class ‘str’>
say_age <class ‘method’>
(2). 重写__str__()方法
- object 有一个_str_()方法,用于返回一个对于“对象的描述”,对应于内置函数 str() 经常用于 print()方法,帮助我们查看对象的信息。/__ str__()可以重写。
class person:
def __init__(self,name,age):
self.name=name
self.__age=age
def __str__(self):
#将对象转化成一个字符串,一般用于 print 方法
return '名字是{0},年龄是{1}'.format(self.name,self.__age)
p=person('zfloss',23)
print(p)
运行结果:
名字是zfloss,年龄是23
4. 多重继承
- Python 支持多重继承,一个子类可以有多个“直接父类”。这样,就具备了“多个父类”的特点。但是由于,这样会被“类的整体层次”搞的异常复杂,尽量避免使用。
class A:
def aa(self):
print('aa')
class B:
def bb(self):
print('bb')
class C(B,A):
def cc(self):
print('cc')
s=C()
s.cc()
s.bb()
s.aa()
运行结果
cc
bb
aa
5. MRO()
- Python 支持多继承,如果父类中有相同名字的方法,在子类没有指定父类名时,解释器将 “从左向右”按顺序搜索。
- MRO(Method Resolution Order):方法解析顺序。 我们可以通过 mro()方法获得 “类的层次结构”,方法解析顺序也是按照这个“类的层次结构”寻找的。
class A:
def aa(self):
print('aa')
def say(self):
print('say:aaa')
class B:
def bb(self):
print('bb')
def say(self):
print('say:bbb')
class C(B,A):
def cc(self):
print('cc')
s=C()
print(C.mro()) #打印类的层次结构
s.say()
s.cc()
运行结果:
[<class '__main__.C'>, <class '__main__.B'>, <class '__main__.A'>, <class 'object'>]
say:bbb
cc
6. super()获得父类定义
- 在子类中,如果想要获得父类的方法时,我们可以通过 super()来做。
super()代表父类的定义,不是父类对象。
#suoer()
class A:
def say(self):
print('aa',self)
print('say AAA!')
class B(A):
def say(self):
#A.say(self) #调用父类的方法
super().say() #通过 super()调用父类的方法
print('say BBB!')
s=B()
s.say()
运行结果:
aa <__main__.B object at 0x7fbe2727bfd0>
say AAA!
say BBB!
7. 多态
- 多态(polymorphism)是指同一个方法调用由于对象不同可能会产生不同的行为。在现实 生活中,我们有很多例子。比如:同样是调用人的休息方法,张三的休息是睡觉,李四的休 息是玩游戏,高淇老师是敲代码。同样是吃饭的方法,中国人用筷子吃饭,英国人用刀叉吃 饭,印度人用手吃饭。
- 关于多态要注意以下 2 点:
(1). 多态是方法的多态,属性没有多态。
(2). 多态的存在有 2 个必要条件:继承、方法重写。
#多态
class animal:
def shout(self):
print('动物叫了一声')
class dog(animal):
def shout(self):
print('狗叫')
class cat(animal):
def shout(self):
print('猫叫')
def animal_shout(a):
if isinstance(a,animal): #判断输入的a,在不在animal中
a.shout() #传入的对象不同,shout 方法对应的实际行为也不 同。
animal_shout(dog())
animal_shout(cat())
运行结果:
狗叫
猫叫
8. 特殊方法和运算符重载
- Python 的运算符实际上是通过调用对象的特殊方法实现的。比如:
a=20
b=30
c=a+b
d=a.__add__(c)
print('c=',c)
print('d=',d)
运行结果:
c= 50
d= 70


# 测试运算符的重载
class person:
def __init__(self,name):
self.name = name
def __add__(self, other):
if isinstance(other, person):
return '{0}--{1}'.format(self.name, other.name)
else:
return '不是同类对象,不能相加'
def __mul__(self, other):
if isinstance(other, int):
return self.name*other
else:
return '不是同类对象,不能相加'
s1 = person('zfloss')
s2 = person('yy')
x = s1 + s2
print(x)
print(s1*3)
运行结果:
zfloss--yy
zflosszflosszfloss
9. 特殊属性
- Python对象中包含了很多双下划线开始和结束的属性,这些是特殊属性,有特殊用法。这里我们列出常见的特殊属性:

#特殊属性测试
class A:
pass
class B:
pass
class C(B,A):
def __init__(self,nn):
self.nn=nn
def cc(self):
print('cc')
c=C(3)
print(dir(c))
print(c.__dict__) #对象的属性字典
print(c.__class__) #对象所属的类
print(C.__bases__) #类的基类元组(多继承)
print(C.__base__) #类的基类
print(C.__mro__) #类的层次结构
print(B.__subclasses__()) #子类列表
运行结果:
['__class__', '__delattr__', '__dict__', '__dir__', '__doc__', '__eq__', '__format__', '__ge__', '__getattribute__', '__gt__', '__hash__', '__init__', '__init_subclass__', '__le__', '__lt__', '__module__', '__ne__', '__new__', '__reduce__', '__reduce_ex__', '__repr__', '__setattr__', '__sizeof__', '__str__', '__subclasshook__', '__weakref__', 'cc', 'nn']
{'nn': 3}
<class '__main__.C'>
(<class '__main__.B'>, <class '__main__.A'>)
<class '__main__.B'>
(<class '__main__.C'>, <class '__main__.B'>, <class '__main__.A'>, <class 'object'>)
[<class '__main__.C'>]
10. 对象的深拷贝和浅拷贝
变量的赋值操作
只是形成两个变量,实际还是指向同一个对象。
浅拷贝
Python 拷贝一般都是浅拷贝。拷贝时,对象包含的子对象内容不拷贝。因此,源对象和拷贝对象会引用同一个子对象。
深拷贝
使用 copy 模块的 deepcopy 函数,递归拷贝对象中包含的子对象。源对象和拷贝对象 所有的子对象也不同。
#测试对象的引用赋值、浅拷贝、深拷贝
import copy
class mobile_phone:
def __init__(self,cpu,screen):
self.cpu=cpu
self.screen=screen
class cpu:
def calculate(self):
print('计算,算个12345')
print('CPU对象:',self)
class screen:
def show(self):
print('显示个好的画面')
print('屏幕对象:',self)
c=cpu()
s=screen()
m=mobile_phone(c,s)
m.cpu.calculate()
print('********************')
n=m # 赋值,两个变量,但是指向了同一个对象
print(m,n)
print('********************')
m2=copy.copy(m)
print(m,m2) # 浅拷贝,m2 是新拷贝的另一个手机对象
m.cpu.calculate()
m2.cpu.calculate() # 浅拷贝,m2和m拥有了一样的cpu对象和screen对象
print('*********************')
m3=copy.deepcopy(m)
print(m,m3)
m3.cpu.calculate() # 深拷贝,m3和m拥有不一样的cpu对象和screen对象
运行结果:
计算,算个12345
CPU对象: <__main__.cpu object at 0x7ffb68287fd0>
********************
<__main__.mobile_phone object at 0x7ffb68287f70> <__main__.mobile_phone object at 0x7ffb68287f70>
********************
<__main__.mobile_phone object at 0x7ffb68287f70> <__main__.mobile_phone object at 0x7ffb682877c0>
计算,算个12345
CPU对象: <__main__.cpu object at 0x7ffb68287fd0>
计算,算个12345
CPU对象: <__main__.cpu object at 0x7ffb68287fd0>
*********************
<__main__.mobile_phone object at 0x7ffb68287f70> <__main__.mobile_phone object at 0x7ffb68287790>
计算,算个12345
CPU对象: <__main__.cpu object at 0x7ffb68289df0>
11. 组合
- “is-a”关系,我们可以使用“继承”。从而实现子类拥有的父类的方法和属性。“is-a” 关系指的是类似这样的关系:狗是动物,dog is animal。狗类就应该继承动物类。
- “has-a”关系,我们可以使用“组合”,也能实现一个类拥有另一个类的方法和属性。” has-a”关系指的是这样的关系:手机拥有 CPU。MobilePhone has a CPU。
#组合测试
class mobile_phone:
def __init__(self,cpu,screen):
self.cpu=cpu
self.screen=screen
class cpu:
def calculate(self):
print('计算,算个12345')
print('CPU对象:',self)
class screen:
def show(self):
print('显示个好的画面')
print('屏幕对象:',self)
c=cpu()
s=screen()
m=mobile_phone(c,s)
m.cpu.calculate()#通过组合,我们也能调用 cpu 对象的方法。相 当于手机对象间接拥有了“cpu 的方法”
m.screen.show()
运行结果:
计算,算个12345
CPU对象: <__main__.cpu object at 0x7fb5c327bfd0>
显示个好的画面
屏幕对象: <__main__.screen object at 0x7fb5c327bfa0>
12. 设计模式_工厂模式实现
- 设计模式是面向对象语言特有的内容,是我们在面临某一类问题时候固定的做法,设计模式有很多种,比较流行的是:GOF(Goup Of Four)23 种设计模式。当然,我们没有 必要全部学习,学习几个常用的即可
- 对于初学者,我们学习两个最常用的模式:工厂模式和单例模式。
- 工厂模式实现了创建者和调用者的分离,使用专门的工厂类将选择实现类、创建对象进行统一的管理和控制。
#工厂模式
class car_factory:
def create_car(self,brand):
if brand == "奔驰":
return Benz()
elif brand == "宝马":
return BMW()
elif brand == '比亚迪':
return BYD()
else:
return "未知品牌,无法创建"
class Benz():
pass
class BMW():
pass
class BYD():
pass
f=car_factory()
c1=f.create_car('奔驰')
c2=f.create_car('宝马')
print(c1)
print(c2)
运行结果:
<__main__.Benz object at 0x7f809b287fa0>
<__main__.BMW object at 0x7f809b287f70>
13. 设计模式_单例模式实现
- 单例模式(Singleton Pattern)的核心作用是确保一个类只有一个实例,并且提供一个访问该实例的全局访问点。
- 单例模式只生成一个实例对象,减少了对系统资源的开销。当一个对象的产生需要比较多的资源,如读取配置文件、产生其他依赖对象时,可以产生一个“单例对象”,然后永久驻留内存中,从而极大的降低开销。
- 单例模式有多种实现的方式,我们这里推荐重写__new__()的方法。
#单例模式
class my_sing_leton():
__obj = None
__init_flag = True
def __new__(cls,*args,**kwargs):
cls.__obj = object.__new__(cls)
return cls.__obj
def __init__(self,name):
if my_sing_leton.__init_flag:
print('init......')
self.name = name
my_sing_leton.__init_flag=False #就走一遍
a = my_sing_leton('aa')
print(a)
b = my_sing_leton('bb')
print(b)
运行结果:
init......
<__main__.my_sing_leton object at 0x7fed6aa7dfa0>
<__main__.my_sing_leton object at 0x7fed6aa7de80>
- 设计模式称之为“模式”,就是一些固定的套路。我们很容易用到其他场景上,比如前面讲 的工厂模式,我们需要将工厂类定义成“单例”,只需要简单的套用即可实现:
#测试工厂模式和单例模式的整合使用
class CarFactory():
__obj = None
__init_flag = True
def create_car(self,brand):
if brand == "奔驰":
return Benz()
elif brand == "宝马":
return BMW()
elif brand == '比亚迪':
return BYD()
else:
return "未知品牌,无法创建"
def __new__(cls, *args, **kwargs): #固定的
if cls.__obj == None:
cls.__obj = object.__new__(cls)
return cls.__obj
def __init__(self):
if CarFactory.__init_flag: #固定的
print('init car_factory.....')
CarFactory.__init_flag=False
class Benz():
pass
class BMW():
pass
class BYD():
pass
f1=CarFactory()
c1 = f1.create_car('奔驰')
c2 = f1.create_car('宝马')
print(c1)
print(c2)
f2=CarFactory()
print(f1)
print(f2)
运行结果:
init CarFactory....
<__main__.Benz object at 0x01E36E90>
<__main__.BYD object at 0x01E36C30>
<__main__.CarFactory object at 0x000001AE3CB0FDC0>
<__main__.CarFactory object at 0x000001AE3CB0FDC0>
14. 实操作业
- 定义发动机类 Motor、底盘类 Chassis、座椅类 Seat,车辆外壳类 Shell,并使用组合 关系定义汽车类。其他要求如下:
定义汽车的 run()方法,里面需要调用 Motor 类的 work()方法,也需要调用座椅 类 Seat 的 work()方法,也需要调用底盘类 Chassis 的 work()方法。
class car:
def __init__(self,moter,chassis,seat,shell):
self.moter=moter
self.chassis=chassis
self.seat=seat
self.shell=shell
def run(self):
self.moter.work()
self.chassis.work()
self.seat.work()
self.shell.state()
class Motor():
def work(self):
print('汽车发动机正常')
class Chassis():
def work(self):
print('汽车底盘正常')
class Seat():
def work(self):
print('汽车坐垫正常')
class Shell():
def state(self):
print('全车原板原漆')
pass
m=Motor()
c=Chassis()
s=Shell()
se=Seat()
car1=car(m,c,se,s)
car1.run()
运行结果:
汽车发动机正常
汽车底盘正常
汽车坐垫正常
全车原板原漆
- 使用工厂模式、单例模式实现如下需求:
(1) 电脑工厂类 ComputerFactory 用于生产电脑 Computer。工厂类使用单例模式, 也就是说只能有一个工厂对象。
(2) 工厂类中可以生产各种品牌的电脑:联想、华硕、神舟
(3) 各种品牌的电脑使用继承实现:
(4) 父类是 Computer 类,定义了 calculate 方法
(5) 各品牌电脑类需要重写父类的 calculate 方法
class ComputerFactory():
__obj=None
__init_flag=True
def __new__(cls, *args, **kwargs):
if cls.__obj==None:
cls.__obj=object.__new__(cls)
return cls.__obj
def __init__(self):
if ComputerFactory.__init_flag:
print('init.....')
ComputerFactory.__init_flag=False
def create_computer(self,brand):
if brand=='联想':
return lenovo()
elif brand=='华硕':
return asus()
elif brand=='神舟':
return hasee()
else:
print('未知品牌,无法创建')
class computer:
def calculate(self):
print('电脑开始工作')
class lenovo(computer):
def calculate(self):
print('lenovo开始工作')
class asus(computer):
def calculate(self):
print('asus开始工作')
class hasee(computer):
def calculate(self):
print('hasee开始工作')
factory1=ComputerFactory()
c1=factory1.create_computer('华硕')
c2=factory1.create_computer('联想')
c1.calculate()
c2.calculate()
运行结果:
init.....
asus开始工作
lenovo开始工作
- 定义一个 Employee 雇员类,要求如下:
(1) 属性有:id、name、salary
(2) 运算符重载+:实现两个对象相加时,默认返回他们的薪水和
(3) 构造方法要求:输入 name、salary,不输入 id。id 采用自增的方式,从 1000 开 始自增,第一个新增对象是 1001,第二个新增对象是 1002。
(4) 根据 salary 属性,使用@property 设置属性的 get 和 set 方法。set 方法要求输 入:1000-50000 范围的数字。
class Emplouee():
__id=1000
def __init__(self,name,salary):
Emplouee.__id+=1
self.name=name
self.__salary=salary
def __add__(self, other):
if isinstance(other,Emplouee):
return '{0}+{1}={2}'.format(self.__salary,other.__salary,self.__salary+other.__salary)
else:
return '不是同类型,不能相加'
@property #相当于salary.getter方法
def salary(self):
return '名字是:{0},薪水为:{1}'.format(self.name,self.__salary)
@salary.setter
def salary(self,salary):
if 1000<salary<50000:
self.__salary=salary
else:
print('您要修改的薪资{0}不在1000-50000范围内'.format(salary))
e1=Emplouee('zz',30000)
e2=Emplouee('ss',32000)
print(e1.salary) #装饰需要用print输出
print(e2.salary)
print(e1+e2)
e1.salary=60000
运行结果:
名字是:zz,薪水为:30000
名字是:ss,薪水为:32000
30000+32000=62000
您要修改的薪资60000不在1000-50000范围内
3733

被折叠的 条评论
为什么被折叠?



