1. 红黑树的定义和性质
红黑树查找与删除的效率和AVL树相同。
但是因为AVL树在插入或删除节点可能破坏AVL树结构,而重新调整树的开销大。所以引出了红黑树。
红黑树的插入和删除一般无需调整树的结构,相比于AVL树的调整开销小。
所以,在以查为核心的操作下,适合使用AVL树结构;如果要频繁的插入或删除元素,更适合使用红黑树
红黑树定义:
- 红黑树首先是二叉排序树
- 红黑树的每个节点有两种颜色(红,黑色)
- 树的根节点是黑色的。
- 树的空节点都是黑色的.
- 不存在两个相连的红节点(红节点的父亲与孩子都是黑色的)
- 对于每一个节点来讲,到任意叶节点的简单路径上,黑节点个数相同
结点的黑高bh:从某结点出发(不含该结点)到达任一空叶结点的路径上黑结点总数,空节点算黑色。
红黑树性质:
-
从根节点到叶节点的最长路径不大于最短路径的二倍。
-
n个节点的红黑树的高度h<2log(N+1)
红黑树高度为h,根节点的黑高>h/2,高度为h的红黑树节点最少为全是黑色的满二叉树。所以内部节点个数n>2h/2-1,求得h<2log(N-1)
红黑树的插入操作流程
步骤:
-
先按照搜索二叉树的插入方式进行插入新节点。
-
如果这个节点是根节点,颜色为黑色。如果节点不是根节点,颜色为红色。
- 如果插入的节点破坏了红黑树的定义,调整时需要看新插入的节点的叔叔节点的颜色
- 如果叔叔节点是黑色的,需要对红黑树进行旋转+变色操作
- 红黑树的旋转与AVL树的旋转相同(LL,RR,RL,LR型旋转)
- LL:右单旋,父换爷+变色
- RR:左单旋,父换爷+变色
- LR:左右双旋,儿换爷+变色
- RL:右左双旋,儿换爷+变色
- 如果叔叔节点是红色的,需要对红黑树进行变色+变新操作
- 叔父爷换色,爷变为新节点
具体操作:
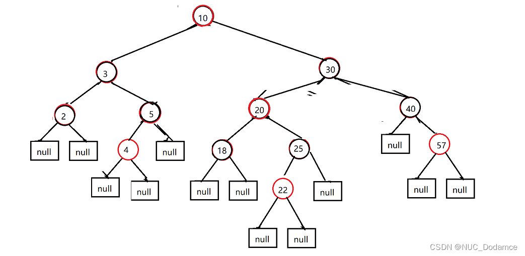
红黑树插入:20,10,5,30,40,57,3,2,4,35,25,18,22,23
在红黑树插入节点只可能破坏“不存在两个相连的红节点(红节点的父亲与孩子都是黑色的)这个条件”
- 按照搜索二叉树插入到如下图时,需要调整红黑树结构(新插入节点5)

叔叔节点是null,是黑色,插入的5属于LL型,需要进行右单旋操作

- 之后插入30节点,又不符合红黑树的定义,需要进行调整

上图新插入节点的叔叔是5节点,是红色的。执行步骤 “叔父爷换色,爷变为新节点”

3. 插入节点40,破坏了红黑树的特性

新插入的节点的叔叔是黑色的空节点,插入类型是RR型
操作:左单旋,父换爷+变色

4. 插入57,需要调整红黑树

新节点叔叔20是红色的,调整步骤为:叔父爷换色,爷变为新节点

- 插入3,2节点后,插入2时破坏的红黑树特性
节点2的叔叔是黑色的,属于LL型,右单旋,父换爷+变色

- 插入4节点后,破坏了红黑树的特性需要进行调整
插入节点4的叔叔节点是红色的,叔父爷换色,爷变为新节点

7. 插入35,25节点不会改变红黑树特性,插入22节点后会改变红黑树特性
22节点叔叔节点是红色的,叔父爷变色后,爷变成新节点

变色后发现仍然不是红黑树,此时爷节点变成新节点继续调整红黑树
此时30是作为新插入节点,叔叔节点是红色的,叔父爷变色,爷变成新节点

新节点变为根节点,根节点变为黑色

8. 插入23节点,破坏了红黑树特性,叔叔节点是黑色的,且是LR型,左右双旋,儿换爷+变色(儿爷变色)

红黑树的删除(了解)
- 红黑树删除操作的时间复杂度O(logN)
- 红黑树中删除结点的处理方式和二叉排序树的删除一样
- 按第二步删除结点后,可能破坏“红黑树特性”,此时需要调整结点颜色、位置,使其再次满足“红黑树特性”。
1万+

被折叠的 条评论
为什么被折叠?



