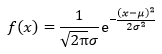
正态分布密度函数是:

若随机变量X服从一个数学期望为μ、方差为σ2的正态分布,记为N(μ,σ2)。当μ=0,σ2=1是,称为标准正态分布。不需要记住这个复杂的公式,知道它的意义即可,在使用时可以随时查阅。
在研究正态分布时,我们认为每个样本都是等权的,因此μ是随机变量的均值,控制了曲线的位置,σ2控制了曲线的陡峭程度:

σ2越小,样本越靠近μ:

在上图中,当σ=0.2时,曲线更陡峭,倒钟更窄,样本更向μ处集中。
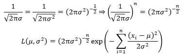
最大似然估计量
随机变量X服从正态分布:

如果有n个可观察样本,根据最大似然函数的公式:

其中:

取对数似然函数,并根据对数计算公式继续化简:

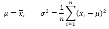
由①可以得知:

现在可以得出最终结论:

本文深入探讨了正态分布的特性及其在统计学中的应用,详细解析了正态分布密度函数,并通过实例说明了如何利用最大似然估计量进行参数估计。了解正态分布的均值和方差如何影响分布形态,以及如何通过最大似然法求解未知参数。
2万+





