反向传播算法(二)
1. 回顾
在上一讲中,我们基于一个简单的神经网络,讲解了如何用后向传播算法更新神经网络的参数,完成神经网络的训练。这一讲我们将后向传播算法推广到一般的神经网络中,即我们不限制神经网络的层数以及每一层的神经元的个数来推导后向传播算法。
2. 反向传播算法的一般情形
如下图1所示,假设神经网络有 l l l层,我们不限制每一层神经元的个数,那么神经元的图可以用更简单的矩阵来表示。

神经网络的矩阵方式如下:

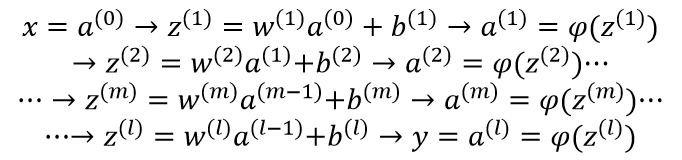
首先,输入 x x x,它对应着第0层的输入,我们用 a ( 0 ) a^{(0)} a(0)表示,那么第一层的输出 z ( 1 ) = w ( 1 ) a ( 0 ) + b ( 1 ) z^{(1)}=w^{(1)}a^{(0)}+b^{(1)} z(1)=w(1)a(0)+b(1),这就相当于第一层的 w , b w,b w,b作用在第0层的 a a a上,得到了第1层的 z ( 1 ) z^{(1)} z(1),接下来 a ( 1 ) = φ ( z ( 1 ) ) a^{(1)}=φ(z^{(1)}) a(1)=φ(z(1)),其中 φ φ φ是连接两层之间的非线性函数。同样的道理, z ( 2 ) = w ( 2 ) a ( 1 ) + b ( 2 ) z^{(2)}=w^{(2)}a^{(1)}+b^{(2)} z(2)=w(2)a(1)+b(2),再接下来 a ( 2 ) = φ ( z ( 2 ) ) a^{(2)}=φ(z^{(2)}) a(2)=φ(z(2)),这样一层一层的下去到第 l l l层的时候, z ( l ) = w ( l ) a ( l − 1 ) + b ( l ) z^{(l)}=w^{(l)}a^{(l-1)}+b^{(l)} z(l)=w(l)a(l−1)+b(l),最后的输出 y = a ( l ) = φ ( z ( l ) ) y=a^{(l)}=φ(z^{(l)}) y=a(l)=φ(z(l))
根据上图和公式,我们作进一步说明:
(1)网络共有 l l l层;
(2) z ( k ) , a ( k ) , b ( k ) z^{(k)},a^{(k)},b^{(k)} z(k),a(k),b(k)为向量,用 z i ( k ) , a i ( k ) , b i ( k ) z_i^{(k)},a_i^{(k)},b_i^{(k)} zi(k),ai(k),bi(k)表示其第 i i i个分量;
(3)输出 y y y可以是向量,用 y i y_i yi表示其第 i i i个分量。
当然输出的 y i y_i yi也可以是一个数,那么它也可以看作一维的向量。
2.1 反向传播算法的推导
假设对于一个输入的向量 X X X,其标签为 Y Y Y,则我们设置目标函数
M i n i m i z e : E = 1 2 ∣ ∣ y − Y ∣ ∣ 2 (1) Minimize:E=\frac12||y-Y||^2\tag{1} Minimize

本文深入探讨了反向传播算法在一般神经网络中的应用。从回顾简单神经网络的后向传播开始,然后推导了一般情况下神经网络的反向传播算法,包括目标函数、偏导数计算以及后向传播算法的流程。通过递推公式逐步向前计算,最终得出权重和偏置的更新规则。
最低0.47元/天 解锁文章
791

被折叠的 条评论
为什么被折叠?



