本文分享自华为云社区《从三色标记说开去》,原文作者:java初中生。
【1】关于三色标记
前几天,公司临时派我去面试一个java实习生,由于没有这方面的任何经验,于是一不小心,我就问超纲了。
问过了java基础,我随口又问了一句,知道三色标记吗?
他显然是懵逼了一瞬间,但也仅仅一瞬间,然后振振有词地反问,是红黄蓝三色标记吗?
这倒是反把我问住了。
面试有问题答不出来,这其实可以理解,不懂就说不懂,不会就说不会,子曾经曰过,知之为知之。
三色标记,正经来说,就只有黑白灰三个颜色。
但实际上,三色标记,和颜色其实没有任何关系,只与一次扫描状态相关。
- 黑色节点,代表根节点或者已扫描完的节点,该节点的子节点也被扫描完;
- 灰色节点,代表已扫描完的节点,该节点的子节点存在未被扫描的情况;
- 白色节点,代表未被扫描的节点。

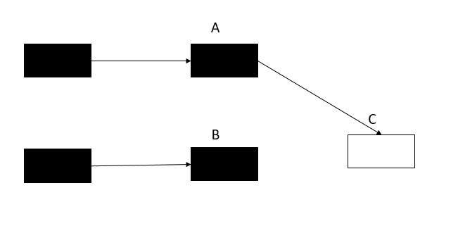
上图中,A就是黑色节点,B为灰色,因为B的子节点C未被扫描,C则是白色节点。
如果,扫描结束,C依旧是白色,则C被回收。
但这里会存在一个问题,如果在上图的情况下,BC的引用断掉,而AC的引用被建立,如下图:

则会出现以下情况:
- B扫描完,无引用,变黑。
- C,按道理说,也会变灰,然后变黑。
- 但A此时已经是黑色节点,则不会扫描其引用,所以C不会被扫描,还是白色。
- 最后,C会被当垃圾回收。
这显然是一个误操作,因为C当前是根可达的,那该问题怎么办呢?
常用的垃圾回收器,CMS和G1都给出了解决方案。
CMS的方法叫做Incremental Update算法。
该算法从结果入手,判断扫描完结时,是否有白色对象被黑色对象引用,如果被引用,则通过write barrier写屏障技术,把黑色的对象重新标记为灰色,然后重新扫描。

G1的方法叫做SATB算法。
该算法从源头入手,GC开始之前拍摄快照,设定所有存在引用的对象,都是存活的。
GC扫描之后,再次拍摄快照,将新引用的存活对象标记。
然后将快照叠加。

这样,C显示的是被A,B两个对象引用。
但这样会有一个弊端,如果此时,AC之间的引用没有被建立,则C本来应该被回收,但此轮却并没有被回收。
【2】跨代引用的问题
跨代引用这个概念被提出来的时候,很多人都有似曾相识的感觉。但具体要说,很多人就说不出所以然来了。
其实,java堆说到底就两个代(年轻代和老年代),持久代在jdk的某个版本后,就被放到本地方法栈了。
跨代引用,即父节点在一个代,而引用对象在另一个代。
一般来说,父节点都在老年代,引用对象在年轻代。

如上图,X引用和Y引用都是属于跨代引用。
跨代引用一般多发生在G1回收器中,因为G1的内存采用分块的模式,内存区域不稳定。
那么,年轻代回收(young GC)时,是否要根据可达性分析,遍历所有的老年代关联,直到根节点呢。
不需要。
只要父节点在老年代,则一律视为根节点。
在这里(跨代引用)要引入两个概念,结果集和卡表。卡表可以看作一个老年代分区的集合或者数组,如下图。

结果集,就是一组类似于map的容器,key存放卡表的下标,value存放引用关系

想想这样做的好处是什么?
【3】安全点和安全区域
java工作线程和垃圾回收线程,一般情况下,是不能同时进行的。
通常老师讲到这个问题的时候,会打个比方:吃饭和洗碗擦桌子。
之所以工作线程和垃圾回收线程不能同时进行,是因为人不能一边吃饭一边收拾碗筷(触手怪除外)。
同理,还有一个问题,你也不能把饭吃到一半,把碗拿过去洗。
所以,你必须在吃完饭的时候,洗碗。
吃完饭的这个时间,就是安全点。
一般来说,安全点是某个线程的结束或者中断的时间,可以是方法调用,循环跳转,异常跳转等。
再回头说说垃圾回收的全过程。
- 业务线程执行过程中,会不断轮询一个标志位,该标志位处于垃圾回收线程中;
- 如果需要做垃圾回收,回收线程会将标志位改掉;
- 业务线程收到标志位信息,会走到安全点,然后停止;
- 垃圾回收线程启动,回收垃圾。

那么,安全区域是什么呢?
一个区域所有的点都是安全点,这一部分就是安全区域。
还是拿原来那个例子,如果你晚上减肥,不想吃饭,碗什么的,随时都可以洗。
【4】如何查看GC日志
直接上命令:-XX+PrintGCDetails。
该命令可以在控制台打印GC日志。
日志内容如下:

【5】终:垃圾回收各指标
吞吐量:指在应用程序的生命周期内,应用程序所花费的时间和系统总运行时间的比值。
公式:吞吐量=系统应用时间/系统总运行时间
垃圾回收器负载:和吞吐量正好相反,垃圾回收器负载指垃圾回收器耗时与系统运行总时间的比值。
公式:吞吐量=垃圾回收时间/系统总运行时间
停顿时间(延迟):指垃圾回收器正在运行时,应用程序的暂停时间。
PS:独占回收器延迟长,但吞吐量高,并发回收器,延迟少,但吞吐量低。
垃圾回收频率:指垃圾回收器多长时间会运行一次。
PS:垃圾回收器的频率应该是越低越好。
反应时间:指当一个对象被称为垃圾后多长时间内,它所占据的内存空间会被释放。
PS:即垃圾回收的周期
over~~
堆分配:不同的垃圾回收器对堆内存的分配方式可能是不同的。一个良好的垃圾收集器应该有一个合理的堆内存区间划分。
本文参考资料:https://blog.youkuaiyun.com/xingkongjuhao/article/details/101801460

本文探讨了垃圾回收中的三色标记法,包括其工作原理、存在的问题及解决方案,并介绍了跨代引用、安全点和安全区域的概念。
1208

被折叠的 条评论
为什么被折叠?



