4.5 面部验证与二分类
Face verification and binary classification

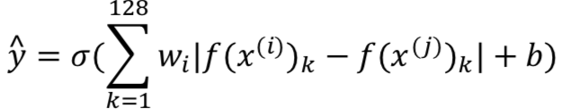
利用Triplet loss是训练Siamese网络非常有效的方法,当然还有其他的训练方法。比如,将人脸识别问题看作是一个二分类问题。将两幅影像输入Siamese网络,假设输入为x(i)、x(j),那么编码输出为f(x(i))、f(x(j)),将编码输入逻辑回归单元,然后进行预测。如果两幅影像是同一个人,那么标签y应为1,否则为0。
逻辑回归单元的处理方法:

上述公式中,针对两幅影像128维的编码,对每个维度差值的绝对值,增加权重w和偏置b,然后128维累加,最后在进行逻辑归回。除了取差值绝对值之外,还有其他的处理方法,例如Χ平方相似度:

系统性能提升技巧:
由于网络在做逻辑回归之前,需要得到图像128维的编码。那么在网络训练好之后,可以对数据库中所有的影像进行编码并进行存储,然后待检测人员的图像在输入系统编码后,只需要跟以及存储好的图像编码进行相似度计算即可。
4.6 什么是神经风格转换?
What is neural style transfer?

C为内容图像,S为风格图像,G为内容图像经过风格转换后的图像。
4.7 深度卷积网络在学什么?
What are deep ConvNets learning?

以Alexnet为例,展示卷积神经网络不同隐藏单元之间的计算结果。以layer1为例,由于使用了ReLu激活函数,那么寻找能够使得该层单元激活最大的图片或图片块,即找到哪一张图片最大的激活了特定单元。


在layer1,只能看到小部分的卷积神经(未经过pooling),如果要画出来哪些激活了激活单元,只有一小块图片块是有意义的,因为这就是特定单元所能看到的全部。图中可以看到,layer1中,图片中的边缘或线条、颜色阴影等图片块得到激活。可以理解为,第一层的隐藏单元通常会找一些简单的特征,比如说边缘或者颜色阴影。

第二层似乎检测到更复杂的形状和模式,比如有很多垂线的垂直图案。

第三层检测到更复杂的模式,比如圆形、蜂窝状或方形等有规律图案、人类等。

第四层检测到的模式和特征更加复杂,例如狗类、鸟类的脚等。

第五层检测到更加复杂的事物,例如键盘类的物体、文本、花、狗类等。
简而言之,一层的边缘,第二层的质地,到深层的复杂物体。
4.8 代价函数
Cost function
训练神经风格转换系统,首先要定义代价函数。

定义代价函数形式如下:
其中,Jcontent是内容代价,用来度量内容图像C与生成图像G的内容有多相似。Jstyle是风格代价,用来衡量风格图像S与生成图像G风格的相似度。两种之间的权重由超参α合β来描述。

算法简要流程:1、随机初始化生成图像;2、构造代价函数,并利用GD方法最小化代价函数。最小化代价函数的过程就是生成图像的过程。
本文介绍了使用Siamese网络进行面部验证与二分类问题的方法,包括Triplet loss的应用及逻辑回归预测。此外,还探讨了神经风格转换的概念及深度卷积网络如何逐层学习从简单特征到复杂物体的表示。
590

被折叠的 条评论
为什么被折叠?



