



























三要素的角频率不在相量里体现,因为一般默认频率都相等,瞬时值相量形式上面有点













在纯电阻正弦交流电中,电流的最大值和电压的最大值之间满足欧姆定律,电流的有效值和电压的有效值之间也满足欧姆定律,
















直流电的频率为0,直流感抗为0,此时直流状态下,线圈就是理想导线,没有对电阻阻碍,而在交流电下,频率很高,感抗大,电流小
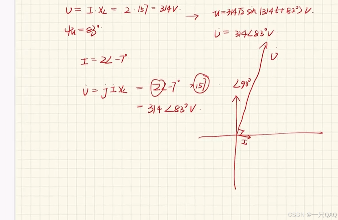
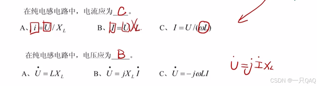
电压和电流在电感上相位不相同,电压超前于电流90度,复数乘以j就可以旋转九十度,
向量在相位上有90度差别,所以要向正方向旋转90度,平衡角度




有功功率P是指在纯电阻正弦交流电路中功率消耗的规模,无功功率Q指在纯电感正弦交流电电路中,功率交换的规模。,有功功率实际耗能,无功功率不耗能。









-j就是顺时针旋转90度









频率大小与电阻无关,最大值和相位不会变,与容抗和感抗有关,















超前默认逆时针旋转为正方向,








相量就是数学中向量,可以平移。
















直流电路,电感相对于导线















6876

被折叠的 条评论
为什么被折叠?



