


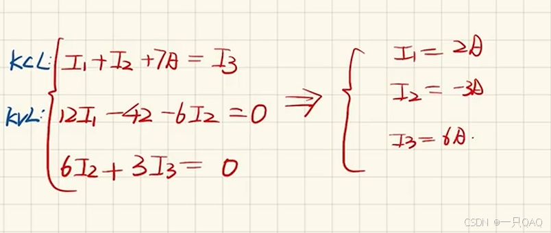
kcl针对结点列方程,kvl针对网孔来列方程



六个方程联立就能把i1到i6算出来,








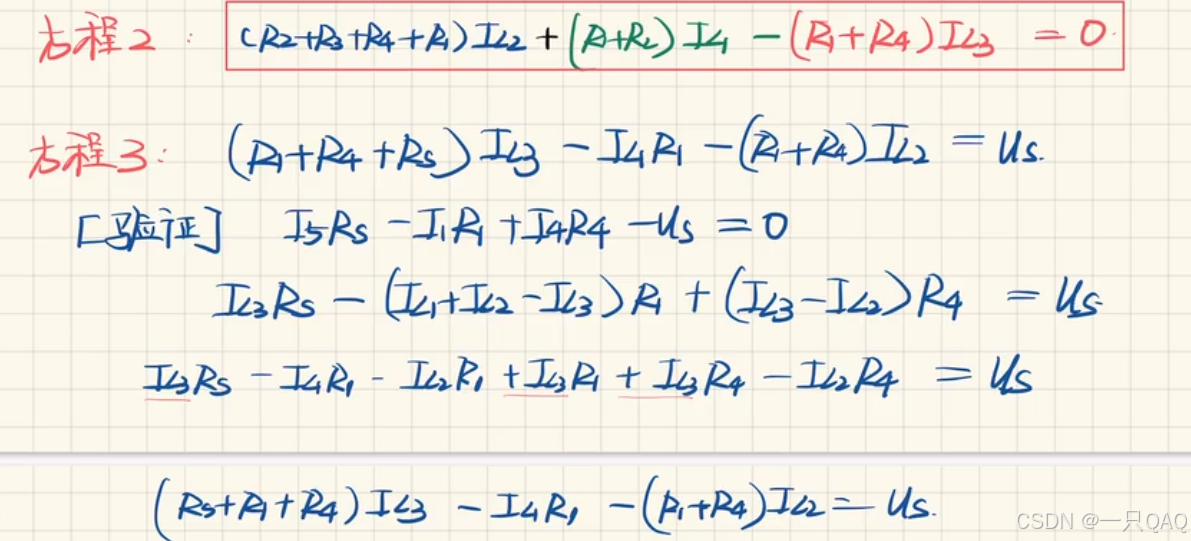
网孔电流法减少了未知量的个数,相对于支路电流法







电流控制的电流源















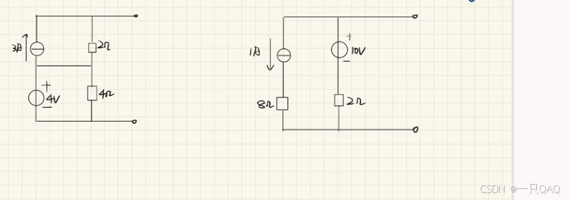
在研究外电路的时候,任何的元件与电流源串联,可以短路该任何元件。









网孔电流法需要KVL,无伴电流源不知道电压,



电压控制电流源(第四题)












任何元件和电压源并联的时候,当研究外电路的时候,可以把此任何元件断开,













任何元件与电压源并联,研究外电路时可以去掉此元件。任何元件与电流源并联,研究外电路时可以短路此元件。


10A与5V并联,可以断路10A元件,


把与电压源并联的电流源断路,下面与电流源串联的电阻也能短路,
















8607

被折叠的 条评论
为什么被折叠?



