隐马尔可夫模型的学习问题:给定一个输出序列O=O1O2...OT,如何调节模型μ=(A,B,π)的参数,使得P(O|M)最大。
最大似然估计是一种解决方法,如果产生的状态序列为Q=q1q2...qT,根据最大似然估计,可以通过以下公式推算:
πi‘ = δ(q1,si)
aij' = Q中从状态qi转移到qj的次数/Q中从状态qi转移到另一状态(包括qj)的次数

bj(k)' = Q中从状态qj发出符号Vk的次数/ Q中到达状态qj的次数

δ(x,y)为克罗奈克函数,当x=y时,δ(x,y)=1;否则,δ(x,y)=0
但是注意,在实际中,状态Q=q1q2...qT是观察不到的(隐变量),因此上述的这种求法是有问题的。幸好希望最大化,可以用于含有隐变量的统计模型的参数最大似然估计。基本思想是初始时,随机的给模型参数赋值,但是要遵循模型对参数的限制,例如,从一个状态发出的所有状态转移概率之和为1,得到模型μ0。然后根据μ0中的具体值,带入下式,可以得到u1.依次往下迭代,直到收敛于最大似然估计值。这种迭代爬山算法可以局部使P(O|μ)最大。称为Baum-Welch算法或前向后向算法。
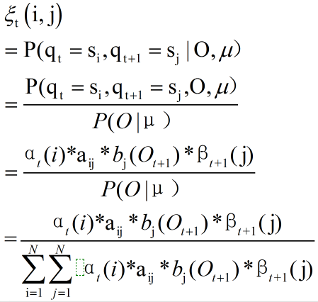
给定HMM的参数μ和观察序列O=O1O2...OT,在时间t位于状态si,在时间t+1位于状态sj的概率为ξt(i,j)=P(qt=si,qt+1=sj|O,μ),公式推导如下:
................(1)
给定HMM μ 和序列O=O1O2...OT,在时间t位于状态si的概率为:
.........(2)
这样求μ的参数估计重新改写:
πi‘ = r1(i) ...........(3)
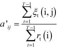
aij' = Q中从状态qi转移到qj的次数/Q中从状态qi转移到另一状态(包括qj)的次数
=
..........(4)
bj(k)' = Q中从状态qj发出符号Vk的次数/ Q中到达状态qj的次数
=
..............(5)
前向后项算法:
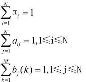
step1 初始化: 随机地给定参数 πi, aij, bj(k),使其满足条件:

由此得到μ0,令i=0
step2 EM计算:
E步骤:根据(1)(2)式计算期望ξt(i,j) 和 rt(i)
M步骤:根据期望ξt(i,j) 和 rt(i),带入(3)(4)(5)重新得到πi, aij, bj(k),得到μi+1
step3 循环计算: i = i+1, 直到πi, aij, bj(k)收敛
本文探讨了隐马尔可夫模型的学习问题,通过最大似然估计来调节模型参数,使其概率最大。介绍了Baum-Welch算法,一种迭代算法,通过E步和M步不断调整参数直至收敛。
617

被折叠的 条评论
为什么被折叠?



