我的研究方向是锂离子电池管理系统(BMS)算法开发。研一阶段主要学习传统的电化学模型和等效电路模型,但进入实际课题后,问题接踵而至:实验室的恒温恒流数据很漂亮,可一到动态工况,SOC估计误差就急剧增大;想做电池健康状态评估,却发现老化数据难以获取,模型泛化能力堪忧。
最让我焦虑的是,当我和在企业做BMS算法的师兄交流时,发现工业界早已不满足于传统的卡尔曼滤波方法。他们谈论的是用LSTM网络处理时序数据、用迁移学习适配不同温度下的电池状态、用聚类算法做早期故障预警——这些在我的培养方案里,几乎是一片空白。
行业正在发生什么
我花了大量时间研究行业动态。在Nature Energy、Journal of Power Sources等顶刊上,AI+电池的论文占比正在快速增长。不夸张地说,不懂机器学习的电池研究员,正在失去竞争力。
几个关键趋势让我印象深刻:
-
从离线建模到在线应用:早期研究多在实验室环境下进行,现在更多关注实车数据的处理与分析
-
从单一算法到混合智能:将电化学机理模型与数据驱动方法结合,取长补短
-
从小样本到大数据:利用云端电池数据构建更鲁棒的预测模型
这些趋势直接体现在了企业的招聘需求上。我在招聘网站搜索发现,BMS算法工程师岗位中,要求掌握机器学习/深度学习技能的占比超过70%,薪资也明显高于传统岗位。
我的技术升级路线
认识到差距后,我为自己设计了一套系统化的学习路径,重点关注BMS开发中的四个核心痛点:
1. 状态估计:让SOC更准、更稳
传统方法的局限很明显:参数辨识难、适应性差。我开始系统学习基于数据驱动的方法:
-
从基础开始:先用SVM实现SOC估计,理解特征工程的重要性
-
进阶到深度学习:用CNN自动提取电压、电流序列的时空特征
-
攻克实际难题:用迁移学习解决温度变化、电池老化带来的分布偏移问题
我找到了一个很有代表性的公开数据集(NASA电池数据集),按照“数据处理-特征提取-模型训练-验证评估”的完整流程跑通了整个项目。第一次看到LSTM模型在动态工况下仍能保持3%以内的SOC估计误差时,那种成就感难以言表。
2. 健康管理:从“治病”到“治未病”
SOH和RUL预测是BMS的另一个难点。我的学习重点包括:
-
特征工程技巧:从充放电曲线中提取增量容量(IC)特征、电压松弛特征等
-
多模型对比:对比SVR、随机森林、梯度提升树在不同老化模式下的表现
-
联合预测框架:同时预测SOH和RUL,提高计算效率
一个让我收获很大的实践是:用公开的牛津电池老化数据集,实现了一套从数据清洗到模型部署的完整SOH评估流程。这个过程让我深刻理解了工业界对算法鲁棒性的苛刻要求。
3. 安全预警:从被动保护到主动预防
热失控预警是BMS的“最后一道防线”。我重点关注无监督学习方法,因为它们不需要大量的故障样本:
-
异常检测算法:实践K-Means、DBSCAN、LOF等聚类算法
-
早期预警策略:设计多特征融合的预警逻辑
-
实车数据验证:思考如何将实验室方法应用到真实车辆数据
我模拟生成了包含正常和异常电池的数据集,对比了不同异常检测算法的性能。这个练习让我意识到,算法选择必须考虑计算资源和实时性要求。
4. 多物理场协同:理解现象背后的机理
为了不让自己的研究成为“黑箱”,我还补充了多物理场仿真方面的知识:
-
COMSOL电化学仿真:理解电池内部的离子传输、热生成等过程
-
力学-电化学耦合:分析充放电过程中电极材料的应力应变
-
相场方法:模拟枝晶生长等微观现象
虽然我的主要方向是BMS算法,但这些仿真技能帮助我更好地理解电池的老化机理,设计出更合理的健康特征。
项目实践的价值
理论学习之后,我开始着手一个完整的项目:基于机器学习的电池全生命周期管理系统原型。
项目包含以下模块:
-
数据采集与预处理层
-
多模型融合的状态估计模块
-
基于云端数据的健康评估模块
-
实时安全监控与预警模块
在这个过程中,我遇到了无数实际问题:数据同步问题、模型实时推理的优化、不同温度下的标定策略……每一个问题的解决,都让我的工程能力得到实实在在的提升。
给同行的建议
如果你也在从事电池相关研究,我强烈建议:
-
尽早接触工业界真实问题:实验室条件和实际应用差距很大
-
建立完整的技术栈:不要只懂算法或只懂电池,要成为桥梁
-
重视代码和工程能力:理论再漂亮,不能落地也是空谈
-
保持持续学习:这个领域的技术迭代速度超乎想象
我现在研二,这段学习经历让我在课题组里承担了更核心的研发任务,也在暑期实习时获得了头部车企的offer。更重要的是,我终于觉得自己在研究的是“真问题”,而不仅仅是“好发论文的问题”。
技术的价值在于解决实际问题。在电池这个关乎能源转型的关键领域,我们这代研究生的使命,就是让实验室里的创新,真正驱动产业的进步。
路还很长,但方向已经清晰。与诸君共勉。
专题一:机器学习驱动的智能化电池管理技术与应用
|
目录 |
主要内容 |
|
电池管理技术概述 |
1. 电池的工作原理与关键性能指标 2. 电池管理系统的核心功能 3. BMS的软件开发要点:SOC估计、SOH估计、剩余寿命预测 |
|
人工智能机器学习 基础 |
1. 人工智能的发展 2. 机器学习的关键概念 3. 机器学习在电池管理中的应用案例介绍 |
|
人工智能在电池荷电状态估计中的应用 |
1. 荷电状态估计方法概述 2. 基于支持向量机的SOC估计 (1)锂电池测试及数据集 (2)基于SVM的估计框架 (3)模型验证和讨论 3.基于神经网络的SOC估计 (1)锂电池数据集 (2)基于BP/CNN/LSTM神经网络的估计框架 (3)不同输入的对比分析 (4)不同工况/温度的精度验证 3. 基于迁移学习的 SOC 估计 (1)锂电池测试及数据集 (2)基于深度迁移学习的SOC估计 (3)多温度下 SOC 估计验证 (4)多老化点下 SOC 估计验证 实例讲解1:基于支持向量机的SOC估计 实例讲解2:基于神经网络的SOC估计 实例讲解3:基于迁移学习的SOC估计
|
|
人工智能在电池健康状态估计中的应用 |
1. 健康状态估计方法概述 2. 人工智能技术在电池单体SOH预估中的应用 (1)健康因子提取 (2)构建人工智能模型 (3) 模型训练与超参数优化 (4)电池系统健康状态 3. 满充满放恒定工况下基于机器学习的电池SOH估计 (1)健康因子提取 (2)健康因子相关性分析 (3)基于机器学习的电池SOH估计 4. 多阶恒流/片段恒流工况下的 SOH 估计方法 (1) 锂离子电池老化数据集 (2)SOH健康特征提取 ① 电池公开数据集老化试验 ② 电池增量容量曲线提取 ③ 电压序列构建方法 ④ 电压序列相关性分析 (3)健康特征提取 (4) 基于神经网络的电池SOH估计方法 5. 动态放电工况下基于模型误差谱的 SOH 估计方法 (1)方法基本原理及框架 (2)数据集及参数辨识 (3)模型误差面积提取 (4)老化特征及工况特征融合 (5)模型训练及验证 6. 基于云端大数据的电池SOH估计 (1)数据预处理 (2)容量标签构建 (3)容量估算框架 (4)多场景验证及测试 实例讲解1:满充满放恒定工况下的电池SOH估计
实例讲解2:多阶恒流/片段恒流工况下的电池 SOH 估计 实例讲解3:动态放电工况下基于模型误差谱的 SOH 估计
实例讲解4:基于实车运行大数据的电池 SOH 估计
|
|
人工智能在电池寿命预测和衰后性能预测中的应用 |
1. 锂离子电池状态、轨迹及特性预测概述 2. 基于传统机器学习SVR的电池剩余寿命预测 (1)数据集介绍 (2)特征提取及估计框架 (3)方法验证及讨论 3. 基于深度学习的电池RUL联合预测方法 (1)电池数据集介绍 (2)特征提取及估计框架 (3)方法验证及讨论 4. 基于机器学习的电池SOH和RUL联合预测方法 (1)数据集介绍 (2)研究框架和方法 (3)结果分析与验证 5. 基于数据驱动的电池衰退轨迹预测方法 (1)数据集及数据预处理 (2)特征工程与退化敏感特征提取 (3)数据集构建与划分 (4)模型选择与训练 (5)轨迹预测与评估优化 实例讲解1:基于支持向量回归的寿命预测方法 实例讲解2:基于深度学习的寿命预测方法 实例讲解3:基于机器学习的健康状态及寿命联合预测方法 实例讲解4:基于深度学习的电池衰退轨迹预测方法
|
|
人工智能在电池热失控预警中的应用 |
1. 电池热失控预警方法概述 2. 算法数据集介绍:电池故障数据来源 3. 基于无监督聚类算法(KMeans)的电池现实故障检测方法 (1)KMeans聚类方法 (2)基于聚类方法的检测框架 (3)检测结果集讨论 4. 基于无监督聚类算法(DBSCAN)的电池现实故障检测方法 (1)DBSCAN聚类方法 (2)基于聚类方法的检测框架 (3)检测结果集讨论 5. 基于局部离群因子的电池系统故障智能诊断方法 (1)LOF 算法核心原理 (2)特征选择及逻辑判断准则 (3)结果分析及验证 6. 基于深度学习的电池系统智能故障诊断方法 (1)神经网络诊断框架 (2)结果分析及验证 实例讲解1:基于KMeans的异常电芯检测 实例讲解2:基于DBSCAN的异常电芯检测 实例讲解3:基于LOF的异常电芯检测 实例讲解4:基于深度学习的异常电芯检测
|
专题二:锂离子电池力学耦合及相场法模拟技术应用
|
目录 |
主要内容 |
|
锂离子电池基础 |
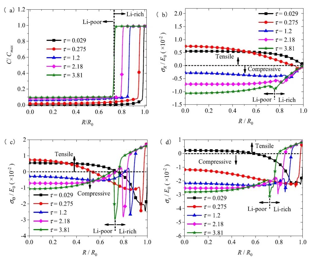
1. 锂离子电池的工作原理概述 2. 电池电极材料的分类与特性 3. 锂离子电池电极材料的微细观结构 4. 锂电池电极极材料机械损伤模式 5. 电池颗粒、极片、电芯尺度力-电-化-热多场耦合模型概述 |
|
力学-电化学耦合模型与仿真 |
1. 电化学原理与电池模型概述 2. 力化学耦合的基本模型 3. COMSOL软件基本操作 (1) COMSOL软件基本操作 (2) 耦合模型的验证与应用 4. 电池材料的力学与电化学耦合性能分析 (1) 耦合效应对电池性能的影响 (2) 耦合模型的验证与应用 5. 颗粒尺度耦合模型在电池失效分析中的应用 6. 电化学仿真软件的使用与案例分析 (1) 各向异性纳米线锂化应力分析(实例讲解1)
(2) 化学反应及死锂现象研究(案例分析2)
(3) 锂化循环损伤计算(案例分析3)
|
|
相场模型与界面演化-理论 |
1. 相场模型的基本原理与模型推导 2. Cahn-Hilliard模型与Allen-Cahn模型介绍与对比 3. 扩散相场计算(案例分析4)
4. 锂枝晶生长的的相场模拟(案例分析5) (1) 锂枝晶生长机制 (2) 相场模型在锂枝晶模拟中的应用 5. 力-化学耦合断裂的相场分析(案例分析6) (1) 断裂机制的模拟
(2) 力-化学耦合对断裂行为的影响 |
|
全固态电池界面问题 |
1. 全固态电池的界面特性 (1) 全固态电池界面稳定性 (2) 界面设计对电池性能的影响 2. 界面应力与电化学稳定性 (1) 界面应力的来源与影响 (2) 电化学稳定性的评估方法 3. 界面优化策略与模拟 4. 固态电池锂金属孔洞演化模拟(案例分析7)
|
|
多尺度建模技术 |
1. 多尺度建模的策略与方法 2. 从原子尺度到宏观尺度的模拟 3. 多尺度模型在电池设计中的应用 4. P2D模型仿真(案例分析8) 5. 考虑颗粒分布的电极性能模型仿真(案例分析9) |
专题三:comsol锂离子电池仿真技术应用【录播】
|
时间 |
课程内容 |
|
第一天 上午 |
1. COMSOL 仿真基础 1.1 数值仿真基本要素及其在 COMSOL 中的对应 1.1.1 模型参数与变量 1.1.2 物理场添加及电解条件设置 1.1.3 模型构建与网格划分 1.1.4 求解器类型与设置 1.1.5 后处理及数据分析 1.2 COMSOL 中锂离子电池接口 1.2.1 电池基本物理过程及控制方程 1.2.2 常用电池边界条件及初始条件 1.2.3 常用电池电极材料参数设置 |
|
第一天 下午 |
2. 锂离子电池典型机理模型 2.1 P2D模型的理解与分析 2.2 COMSOL中电池P2D模型构建 2.2.1 模型参数输入 2.2.2 模型构建及模型材料设置 2.2.3 电池物理方程及参数设置 2.2.4 网格划分与求解器设置 2.3 从P2D到P3D模型 2.4 锂离子电池内部电流分布模拟
|
|
第二天 上午 |
3. 锂离子电池电化学-热耦合模型 3.1 P2D电化学模型与电池热模型耦合 3.2 电池集总参数模型及其与电池热模型耦合 3.3 两种电池电(化学)-热耦合模型的区别及应用场景 3.4 不同类型锂离子电池建模及仿真演示
|
|
第二天 下午 |
4. 锂离子电池衰退模型及仿真 4.1 COMSOL中电池充放电循环仿真 4.1.1 电池充放电循环边界条件设置 4.1.2 电池加速衰退设置 4.1.3 电池充放电循环仿真后处理技巧 4.2 锂离子电池常见衰退现象及其数学描述 4.2.1 负极SEI膜增厚过程仿真 4.2.2 活性锂损失计算 4.3 锂离子电池衰退模型构建及仿真演示
|
|
第三天 上午 |
5. 动力电池热管理技术及数值仿真 5.1 热管理技术简述 5.2 动力电池风冷及模型构建 5.2.1 空气流动过程仿真及常用物理接口介绍 5.2.2 锂离子电池-空气流动耦合模型构建 5.2.3 典型工况电池空冷模型构建及仿真演示
|
|
第三天 下午 |
5.3 动力电池液冷及模型构建 5.3.1 液气流动过程仿真及常用物理接口介绍 5.3.2 锂离子电池-冷却液流动耦合模型构建 5.3.3 典型工况电池液冷模型构建及仿真演示
|
|
第四天 上午 |
6. 锂金属电沉积过程数值模拟 6.1 锂金属电沉积涉及的物理接口简介 6.1.1 一次、二次和三次电流分布接口 6.1.2 稀溶液理论与浓溶液理论 6.2 锂硫电池模型构建
|
|
第四天 下午 |
6.3 锂离子电池异构模型 6.3.1 电池异构模型的意义 6.3.1 电池异构模型构建
|
































2538

被折叠的 条评论
为什么被折叠?



