作者简介
Jason Pei,携程高级算法工程师,对计算广告、推荐系统、NLP等领域有浓厚兴趣。
一、背景介绍
在商品服务高度发达,信息爆炸的市场经济体制下,企业之间的竞争日益激烈,广告作为一种重要的营销手段,肩负着将企业自身的品牌形象及产品服务准确传达给消费者,促进企业商业利益达成的使命。可以说广告对于企业的生存发展至关重要。
随着信息技术的进步,互联网广告由于投放周期短、触达范围广、可精准投放等优点,近些年来得到了高速发展。在互联网广告系统中,广告主(企业/商家)通过购买供给方(媒体)提供的广告位,将广告传递给受众(消费者),进而达成广告主的商业目的。在上述过程中,针对同一广告位,往往会存在多个广告主竞争出价,最终出价高者以一定的成本,赢得广告位并获得展示机会。具体过程如下图1-1所示。

图 1-1 广告竞价示意
互联网广告本质上是一种商业行为,在广告投放中必须要均衡考虑成本与回报。而在参与广告竞价的过程中,广告主出价的高低最终会影响广告获胜率。对于不同的潜在客户群体,采取适当的竞价策略,合理分配预算,在预算有限的条件下,使得企业商业利益最大化。这就要求对不同投放目标设定不同的投放策略及预算,并且需保证实际投放成本贴近预算。当实际投放成本超过预算或低于预算时,都会给广告投放带来负面影响,甚至会导致企业营销计划失败。
然而在实际的广告投放系统中,会包含诸如广告主端的点击率预估模型、用户价值预估模型、竞价算法,媒体端的OCPA、OCPC出价模型,以及多方竞价、二价成交等不可控机制,最终的投放系统十分复杂,影响投放成本的因素过多,造成用户成交价与实际出价并不相等,实际投放成本难以契合广告主在投放初期所制定的预算。
常用的广告成本控制方法可分为人为干预和算法自动控制两种。顾名思义,人为干预是通过人工实时监控广告投放情况,当发现实际成本低于或超出初期预算时,通过人工调整广告出价或修改人群定向等方式调节投放花费;算法自动控制是指采用相关算法,监控投放成本,并根据异常自动调节广告出价,达到控制成本的目的。
当前业界使用的相关算法各有特点,在实际应用中,我们综合考虑了算法性能、开发部署成本以及媒体方数据限制,在部分方案中采用了PID控制算法。
二、PID控制算法简介
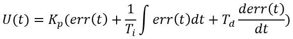
PID算法是一种在工业生产中应用最为广泛的反馈控制算法,它具有原理简单,易于实现,适用面广等优点。小到某个元器件温度控制,大到无人驾驶自动转向、太空飞船姿态调整等,都可以使用PID算法进行控制,下图所示为PID控制系统结构图。

图2-1 PID反馈控制环
PID算法包含了比例(Proportion)、积分(Integration)、微分(Differentiation)三个环节,其根据被控对象实际输出与目标值的偏差,按照三个环节进行运算,最终达到稳定系统的目的,其具体公式如下:

式中,Kp——比例增益;
Ti——积分时间常数;

本文介绍了PID算法如何应用于广告成本控制,通过实时监控成交价与预算的偏差,动态调整出价,实现广告平均成交价稳定在目标值附近。通过分析历史数据,建立成交价模拟系统进行参数整定,确保算法性能稳定。
最低0.47元/天 解锁文章
603





