矩阵乘法+快速幂加速DP
前段时间线代才学完矩阵,这就可以用上了!不得不说线代还是非常有用的,矩阵乘法在计算机图形学里也很有用,高斯消元求方程组也是很常用,瞬间对线代感兴趣了!
引入
求斐波那契数列第n项
首先,我们回忆一个简单的问题:求斐波那契数列的第n项。
这个问题很简单,假设我们用f[i]来表示,那么
f[1]=f[2]=1
f[i]=f[i-1]+f[i-2](i>=2)
这应该也算是dp问题吧,虽然这题很简单。
快速幂
接下来,我们回忆一下整数的快速幂:
对于ab,我们可以把b看作一个二进制数,然后通过对a反复平方并选择需要的部分乘在一起来拼凑出ab。这样讲很抽象,举个例子,对于523,很明显,它等于51+2+4+16,然后我们先定义一个res来存储我们的答案,我们就能写出如下代码:
int res=1,b=23,a=5;
while(b){
if(b&1) res*=a;
b>>=1;
a*=a;
}
b(即23)的二进制表示为10111,因此第一次循环时res会累乘上a,然后b右移一位,a自乘变为a2,而第四次循环b的最低位为0,res不会累乘上a8,a还是要自乘,因为下一位为1,需要乘上a16,这样直到b为0,自己模拟一遍就会理解我们做了什么。
矩阵乘法+快速幂求斐波那契数列第n项
好,回忆玩上面的内容我们就将进入今天的正题,还是求斐波那契数列的第n项,当n达到20亿的级别时,我们还能通过递推很快的求出来吗?显然不能,这时候一种神奇的做法就出现了。



那么我们只需要先对矩阵An-1求快速幂,然后再与F1相乘,得到矩阵的第一个数就是答案了。这是一个非常大的优化,时间复杂度从O(n)降到O(log n)。代码实现我就懒得写了,后面应用的题目里面有差不多的,可以看那里的代码。
注意:这里A矩阵一定要不含变量,否则我们无法使用快速幂求解(这应该很好理解吧)
应用
斐波那契前n项和
题目链接:1303.斐波那契前n项和
对于这道题,我们发现我们还需要求前n项和,这是再只用两个变量就不够了,因此我们需要多加一个变量。

于是Fn=F1An-1,代码实现:
#include<iostream>
#include<cstring>
using namespace std;
typedef long long LL;
int n,m;
void mul(int c[3][3],int a[3][3],int b[3][3]){
int tmp[3][3]={0};
//这里我们要开一个临时数组存储答案,因为a、b、c中可能有指向相同位置的情况,先把答案存储在临时数组中更保险
for(int i=0;i<3;i++)
for(int j=0;j<3;j++)
for(int k=0;k<3;k++)
tmp[i][j]=(tmp[i][j]+(LL)a[i][k]*b[k][j])%m;
memcpy(c,tmp,sizeof tmp);//答案赋值回c
}
int main(){
cin>>n>>m;
int f1[3][3]={1,1,1};//即F1矩阵
/*
为什么f1开成二维数组呢?因为我们a*a是两个3*3的矩阵相乘
而如果f1是一维的话,我们还需要额外实现一个1*3的矩阵与
3*3的矩阵相乘的函数,把f1开成二维,因为后两行数都为0
所以不影响最终答案
*/
int a[3][3]={//即A矩阵
{0,1,0},
{1,1,1},
{0,0,1}
};
n--;//我们需要求a的n-1次方,n先--就行了
while(n){
if(n&1) mul(f1,f1,a);//f1=f1*a
n>>=1;
mul(a,a,a);//a=a*a;
}
cout<<f1[0][2]<<endl;
return 0;
}
佳佳的斐波那契
题目链接:1304.佳佳的斐波那契
很明显,对于这一题,我们需要的变量更多了,我们先推导一下公式:



这样,我们就可以用矩阵快速幂求出An,而最终要求的Tn,就等于nSn-Gn
代码实现:
#include<iostream>
#include<cstring>
using namespace std;
typedef long long LL;
int n,m;
int tmp[4][4];
void mul(int c[4][4],int a[4][4],int b[4][4]){
memset(tmp,0,sizeof tmp);
for(int i=0;i<4;i++)
for(int j=0;j<4;j++)
for(int k=0;k<4;k++)
tmp[i][j]=(tmp[i][j]+(LL)a[i][k]*b[k][j])%m;
memcpy(c,tmp,sizeof tmp);
}
int main(){
cin>>n>>m;
int f1[4][4]={1,1,1,0};
int a[4][4]={
{0,1,0,0},
{1,1,1,0},
{0,0,1,1},
{0,0,0,1}
};
int k=n-1;//因为我们后面还会用到n,所以这里再开一个k
while(k){
if(k&1) mul(f1,f1,a);//f1=f1*a;
mul(a,a,a);//a=a*a;
k>>=1;
}
cout<<(((LL)n*f1[0][2]-f1[0][3])%m+m)%m<<endl;
return 0;
}
GT考试
题目链接:GT考试
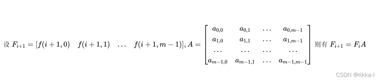
这题是真的算法竞赛难度了,对于这样的问题我们肯定首先考虑动态规划,我们假设f[i][j]表示长度为i,不包含不吉利串,末尾部分(即后缀)与不吉利数字前缀相同的长度是j的字符串的数量,当我们考虑状态f[i][j]的转移时,我们在这i位后面追加一位,假设此时它的后缀与不吉利数字的前缀相同的长度变为k,那么f[i+1][k]+=f[i][j],因此我们可以得到公式(这里用f(i,j)表示f[i][j]):

本图来源:GT考试题解
其中ai,j表示与不吉利串的前i位匹配、加上一位后匹配的长度,这里我们可以用kmp求解。这里为什么没有f(i+1,m)呢?因为匹配长度为m时就包含不吉利串了,不合题意。然后我们发现:


关于F0中各项数字为什么是这样?需要结合题意和实际元素来分析,这里留给读者思考。最终Fn中的元素即为f(n,0)~f(n,m-1),求一下和就得到答案了。
代码实现:
#include<iostream>
#include<cstring>
using namespace std;
const int N=25;
int a[N][N],ne[N],n,m,mod,f[N][N],tmp[N][N];
char s[N];
void mul(int c[N][N],int a[N][N],int b[N][N]){
memset(tmp,0,sizeof tmp);
for(int i=0;i<m;i++)
for(int j=0;j<m;j++)
for(int k=0;k<m;k++)
tmp[i][j]=(tmp[i][j]+a[i][k]*b[k][j])%mod;
memcpy(c,tmp,sizeof tmp);
}
int qmi(int k){
while(k){
if(k&1) mul(f,f,a);
mul(a,a,a);
k>>=1;
}
int res=0;
for(int i=0;i<m;i++) res=(res+f[0][i])%mod;
return res;
}
int main(){
f[0][0]=1;
cin>>n>>m>>mod;
cin>>s+1;
for(int i=2,j=0;i<=m;i++){//kmp模板
while(j&&s[j+1]!=s[i]) j=ne[j];
if(s[j+1]==s[i]) j++;
ne[i]=j;
}
for(int i=0;i<m;i++)//枚举已经匹配的长度
for(int j='0';j<='9';j++){//枚举追加的字符
int k=i;
while(k&&s[k+1]!=j) k=ne[k];
if(s[k+1]==j) k++;
a[i][k]++;
}
cout<<qmi(n)<<endl;
return 0;
}
做完这题,感觉我的kmp又有所进步,呵呵 。KMP我不知道复习了多少遍,遇到题目还是不会,呵呵 。

621





