透视变换
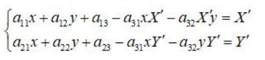
通用变换公式为:

X,Y是原图坐标,对应得到变换后的图片坐标(x, y, z),其中z=Z=1,
一般地,我们令a33=1,则有:

原图需要做变换的物体的四个坐标为A:(x0,y0), (x1,y1), (x2,y2), (x3,y3)
变换后的四个点为B:(X0,Y0), (X1,Y1), (X2,Y2), (X3,Y3)
有:

代码及效果图:
'''
1.利用原图需要变换的物体的四个顶点坐标和变换后的四个顶点坐标求出变换矩阵warpMatrix
2.根据透视变换公式和已求出的warpMatrix矩阵求出新图像在原图中的位置和像素值
末尾附有简单cv2的api调用方法。
'''
import cv2
import numpy as np
import matplotlib.pyplot as plt
def get_warpMatrix(src, dst):
'''
利用原图需要变换的物体的四个顶点坐标和变换后的四个顶点坐标求出变换矩阵warpMatrix
A * warpMatrix = B
:param src: 原图需要变换物体的四个顶点
:param dst: 新图对应的四个顶点
:return: warpMatrix
'''
B = np.zeros((8, 1))
for i in range(4):
# 先做一个2*8的矩阵
A1 = np.zeros((2, 8))
A1[0, 0] = src[i,0]
A1[0, 1] = src[i,1]
A1[0, 2] = 1
A1[0, 6] = -src[i, 0] * dst[i, 0]
A1[0, 7] = -src[i, 1] * dst[i, 0]
B[2*i] = dst[i, 0]
A1[1, 3] = src[i, 0]
A1[1, 4] = src[i, 1]
A1[1, 5] = 1
A1[1, 6] = -src[i, 0] * dst[i, 1]
A1[1, 7] = -src[i, 1] * dst[i, 1]
B[2*i+1] = dst[i, 1]
if i == 0:
A = A1
else:
A = np.vstack([A, A1]) # 连接四个2*8的矩阵
pass
pass
A = np.mat(A)
# print(A)
warpMatrix = A.I*B
# print(warpMatrix)
# 已求出a11,a12,a13,a21,a22,a23,a31,a32 再插入a33 = 1
warpMatrix = np.array(warpMatrix).T[0]
warpMatrix = np.insert(warpMatrix, warpMatrix.shape[0], values=1.0, axis=0) # 插入a_33 = 1
warpMatrix = warpMatrix.reshape((3, 3))
return warpMatrix
def get_result(warpMatrix, dst, img):
'''
:param warpMatrix:
:param dst:
:return:
'''
w = int(dst[1, 0] - dst[0, 0])+1 # 337
h = int(dst[2, 1] - dst[0, 1])+1 # 488
# 用opencv处理图像时,可以发现获得的矩阵类型都是uint8 无符8位整型(0-255), uint8是专门用于存储各种图像的(包括RGB,灰度图像等),范围是从0–255
result = np.zeros((h, w, 3), np.uint8)
# 数组与数组运算,矩阵与矩阵运算,最好统一数据类型,实测数组与矩阵相乘结果会不一样
# W = np.linalg.inv(warpMatrix)
W = np.mat(warpMatrix)
W = W.I
for i in range(h):
for j in range(w):
XY1 = np.array([[j], [i], [1]])
# 关于j,i 的位置问题,由给定的dst坐标排列决定,由src和dst算出的变换矩阵已经定好位置,所以在反求原图位置的时候需注意
XY1 = np.mat(XY1)
# XY1 = XY1.T 一维数组无法进行转置
# print(XY1)
x, y, _ = W.dot(XY1)
# 验证算出来的坐标是否和src里的相对应
if i ==h-1 and j == 0:
print(x, y)
# 算出的索引超出原图大小时,令其等于边界
if y >=960:
y = 959
pass
if y < 0:
y = 0
pass
if x >=540:
x = 539
pass
if x < 0:
x = 0
pass
# print(int(xy1[0]))
# try:
# result[i, j, 0] = img[int(xy1[0]), int(xy1[1]), 0]
# result[i, j, 1] = img[int(xy1[0]), int(xy1[1]), 1]
# result[i, j, 2] = img[int(xy1[0]), int(xy1[1]), 2]
# except Exception as msg:
# print(xy1[0], xy1[1])
# result[i, j] = img[int(y), int(x)]
result[i, j, 0] = img[int(y), int(x), 0]
result[i, j, 1] = img[int(y), int(x), 1]
result[i, j, 2] = img[int(y), int(x), 2]
return result
if __name__ == '__main__':
src = np.float32([[207, 151], [517, 285], [17, 601], [343, 731]])
dst = np.float32([[0, 0], [337, 0], [0, 488], [337, 488]])
warpMatrix = get_warpMatrix(src, dst)
img_src = cv2.imread('photo1.jpg', 1)
print(img_src.shape)
img = np.copy(img_src)
res = get_result(warpMatrix, dst, img)
cv2.imshow('img_src', img_src)
cv2.imshow('res', res)
cv2.waitKey(0)
# 生成透视变换矩阵;进行透视变换
# m = cv2.getPerspectiveTransform(src, dst)
# result = cv2.warpPerspective(result3, m, (337, 488))


效果不是很好,在求原图坐标时最好用数值运算的公式,用矩阵运算的会有些偏差。重点在于理解。
本文详细介绍了如何通过原图中物体的四个顶点坐标及其变换后的坐标来计算透视变换矩阵,并利用该矩阵实现图像的变换过程。代码示例使用了Python的OpenCV库。
600

被折叠的 条评论
为什么被折叠?



