##学习c++第二天笔记。
我学习的内容学习是BZ大学"哔哩计算机大学"的课程。
大家感兴趣的可以看一下。
一、编程规则
SOLID原则
SOLID原则:SOLID原则是五个基本的设计原则的缩写。
| 单一职责原则(SRP) | 例子:一个人做一件事。 |
| 开放封闭原则(OCP) | 可以添加新功能,但是原来的代码不能改变。 |
| 里氏替换原则(LSP) | 在继承当中,子类可以替代父类使用(父类可以使用的地方子类也可以使用) |
| 接口隔离原则(ISP) | 多个接口,一个接口管一个功能。 |
| 依赖倒置原则(DIP) |
(在传统的变成当中,高层依赖底层,如果底层发生改变可能会影响到高层) 但是这个高层不依赖底层,而是依赖抽象类。(集成多肽) |
DRY原则的是“Don't Repeat Yourself”,即不要重复代码。在程序设计中,应该尽可能避免重复代码,而是通过抽象和封装来复用代码。(跟多地方用一样的代码,这部分代码可以封装成函数复用。)
KISS原则指的是“Keep It Simple and Stupid ”,即保持简单和愚蠢。在程序设计中,应该及可能地保持代码的简洁性和易读性。
YAGNI原则指的是“You Ain't Gonna Need It”,即不要:“过早优化”和“预测”。在编写程序时,应该遵循“一步一步走”的原则,只实现目前需要的功能。
高内聚、低耦合原则。高内聚指的是一个模块或一个类只负责完成一个单一的功能,低耦合是指不同模块或类之间的互相依赖程度越低越好。
二、数据的结构
1.数据的逻辑结构:
| 线性结构 |
有且只有一个开始和一个终端节点。“两点确定一条线”。 两个节点连接就是线性结构。前后不会超过一个的节点 |
| 非线性结构 |
可能会有多个节点在前面,也可能在后面,也有可能前后都有多个节点。包括(树形结构和图形结构) |
2.数据的树形结构:
1.前驱和后继
2. 树形结构的特点:
上面的有且仅有一个前驱,有多个后继(一对多),一层一层分别叫做(根 叶 枝/分支)。
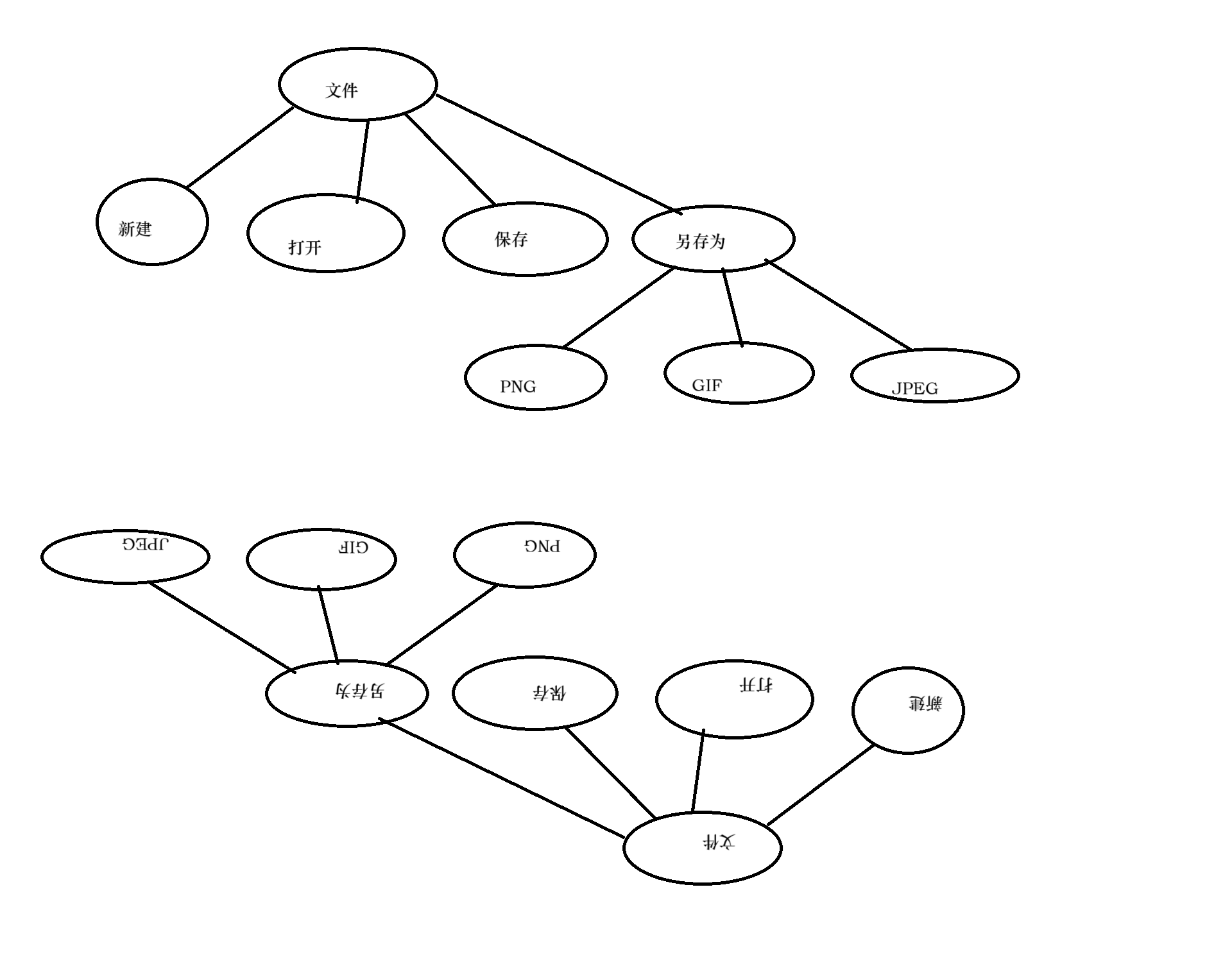
例如画图的文件结构 :呈现树的形状。 
3.数据的图形结构
6万+






