使用sklearn构建完整的分类项目:
(1)收集数据集并选择合适的特征
(2)选择度量模型性能的指标
(3)选择具体的模型并进行训练
(4)评估模型的性能并调参
度量模型性能的指标
4种情况:
- 真阳性TP:预测值和真实值都为正例;
- 真阴性TN:预测值与真实值都为正例;
- 假阳性FP:预测值为正,实际值为负;
- 假阴性FN:预测值为负,实际值为正;

- 分类模型的指标:
- 准确率:分类正确的样本数占总样本的比例,即:

- 精度:预测为正且分类正确的样本占预测值为正的比例,即:

- 召回率:预测为正且分类正确的样本占类别为正的比例,即:

- F1值:综合衡量精度和召回率,即:

- ROC曲线:以假阳率为横轴,真阳率为纵轴画出来的曲线,曲线下方与坐标轴的面积越大越好。

常见的分类模型如下:
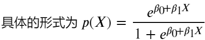
1. 逻辑回归
假设线性回归模型为 𝑌=𝛽0+𝛽1𝑋,使用logistic函数将线性回归的结果转化为概率,y取0或1。
logistic函数:


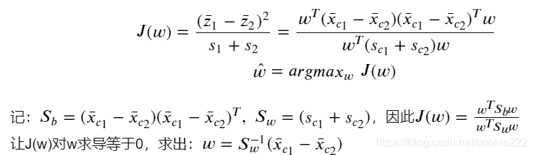
2. 线性判别分类
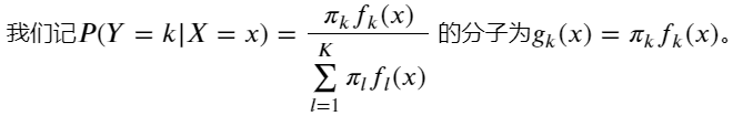
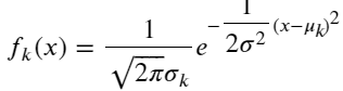
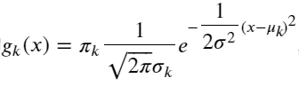
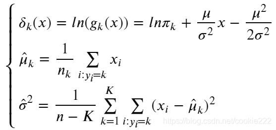
(1)贝叶斯公式角度:

在这里, 我们做个模型假设:假设𝑓𝑘(𝑥)服从正态分布,



(2)降维的角度:
基于数据进行分类时,一个很自然的想法是:将高维的数据降维至一维,然后使用某个阈值将各个类别分开。下面用图的形式展示:

思想:降维后的样本投影点,类内方差小,类间方差大。
类间方差用不同类的投影中心(类的均值)的距离来表示。

(3)朴素贝叶斯:对线性回归分类的简化
在线性判别分析中,我们假设每种分类类别下的特征遵循同一个协方差矩阵,每两个特征之间是存在协方差的,因此在线性判别分析中各种特征是不是独立的。但是,朴素贝叶斯算法对线性判别分析作进一步的模型简化,它将线性判别分析中的协方差矩阵中的协方差全部变成0,只保留各自特征的方差,也就是朴素贝叶斯假设各个特征之间是不相关的。在之前所看到的偏差-方差理论中,我们知道模型的简化可以带来方差的减少但是增加偏差,因此朴素贝叶斯也不例外,它比线性判别分析模型的方差小,偏差大。
判别模型vs生成模型:
判别模型只需计算出数值,比较得出输出概率最大的类别。
生成模型必须计算出p(y|x)的分布,分母在高维空间中很难求出积分,计算常采用MCMC采样。
3. 决策树分类
与决策树回归大致是一样的,只是在回归问题中,选择分割点的标准是均方误差,但是在分类问题中,由于因变量是类别变量而不是连续变量,因此用均方误差显然不合适。那问题是用什么作为选择分割点的标准呢?
分类树与回归树区别:分裂节点的指标不同,预测的值不同。回归树预测的是区域内的均值,分类树预测的是区域内最常出现的类(预测均值无法代表类别)。
在回归树中,对一个给定的观测值,因变量的预测值取它所属的终端结点内训练集的平均因变量。与之相对应,对于分类树来说,给定一个观测值,因变量的预测值为它所属的终端结点内训练集的最常出现的类。分类树的构造过程与回归树也很类似,与回归树一样,分类树也是采用递归二叉分裂。但是在分类树中,均方误差无法作为确定分裂节点的准则,一个很自然的替代指标是分类错误率。分类错误率就是:此区域内的训练集中非常见类所占的类别,即:
,𝑝̂𝑚𝑘代表第m个区域的训练集中第k类所占的比例。
由于分类错误率在构建决策树时不够敏感,一般在实际中用如下两个指标代替:
(1) 基尼系数:

(2) 交叉熵:


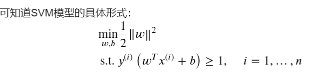
4. 支持向量机(线性)
想法:找到最大间隔超平面。



SVM与神经网络区别:SVM决策平面光滑,神经网络通过多个平面多次划分,不光滑;SVM提高维数来划分类别,神经网络提高层数和神经元数量来划分。
5. 非线性支持向量机(使用核函数)
SVM如何处理非线性问题呢?答案就是将数据投影至更加高的维度!在一维数据做不到线性可分,我们将数据投影至二维平面就可以成功线性可分。
和线性可分SVM的优化目标函数的区别仅仅是将内积𝑥𝑖.𝑥𝑗替换为𝜙(𝑥𝑖).𝜙(𝑥𝑗)。我们要将其映射到超级高的维度来计算特征的内积。这时候映射成的高维维度是爆炸性增长的,这个计算量实在是太大了,而且如果遇到无穷维的情况,就根本无从计算了。
下面引入核函数:
假设𝜙是一个从低维的输入空间𝜒(欧式空间的子集或者离散集合)到高维的希尔伯特空间的H映射。那么如果存在函数𝐾(𝑥,𝑧),对于任意𝑥,𝑧∈𝜒,都有核函数:![]()
核函数𝐾(𝑥,𝑧)的计算是在低维特征空间来计算的,它令我们享受在高维特征空间线性可分的好处,却避免了高维特征空间恐怖的内积计算量。下面介绍几种常用的核函数:
(1) 多项式核函数:
多项式核函数(Polynomial Kernel)是线性不可分SVM常用的核函数之一,表达式为:

(2) 高斯核函数:
高斯核函数(Gaussian Kernel),在SVM中也称为径向基核函数(Radial Basis Function,RBF),它是非线性分类SVM最主流的核函数。表达式为:

(3) Sigmoid核函数:

(4) 余弦相似度核:
常用于衡量两段文字的余弦相似度,表达式为:

作业:
1.回归问题和分类问题的联系和区别,如何利用回归问题理解分类问题?
联系:都是通过训练样本预测未知的值。
区别:分类问题中,输出为类别(离散值);而在回归问题中,输出可取任意实数(连续值)。
逻辑回归中,与线性回归的思想相同,用一个线性函数拟合各个样本。区别只是使用sigmoid函数,将预测值y从实数轴上的数转换为[0,1]区间上的概率p,用概率确定样本属于哪个类别。
2.为什么分类问题的损失函数可以是交叉熵而不均方误差?
1)在逻辑回归中,使用最大似然估计𝑃(𝑌|𝑋),最大化事件发生概率<==>最小化交叉熵,因此可以把交叉熵看作损失函数。2)分类问题的预测值是类别,类别与定义的数值没有太大关系,预测值的均值无法衡量模型的误差。
3.线性判别分析和逻辑回归在估计参数方面有什么异同点?
4.尝试从0推导svm.(拓展题,也是面试题)
5.二次判别分析,线性判别分析,朴素贝叶斯之间的联系和区别?
判别分析包括可用于分类和降维的方法。线性判别分析(LDA)特别受欢迎,因为它既是分类器又是降维技术。二次判别分析(QDA)是LDA的变体,允许数据的非线性分离。最后,正则化判别分析(RDA)是LDA和QDA之间的折衷。
6.使用python+numpy实现逻辑回归。(必做题)
from sklearn import datasets, metrics
import pandas as pd
import numpy as np
import matplotlib.pyplot as plt
def sigmoid(z):
return 1 / (1 + np.exp(-z))
def grad_descent(dataMatIn, classLabels):
dataMatrix = np.mat(dataMatIn) #(m,n)
labelMat = np.mat(classLabels).transpose()
m, n = np.shape(dataMatrix)
weights = np.ones((n, 1)) #初始化回归系数(n, 1)
alpha = 0.001 #步长
maxCycle = 500 #最大循环次数
# 调整权重
for i in range(maxCycle):
h = sigmoid(dataMatrix * weights) #sigmoid 函数
weights = weights + alpha * dataMatrix.transpose() * (labelMat - h) #梯度
return weights, h
iris = datasets.load_iris()
X = iris.data
y = iris.target
X = np.insert(X, 0, 1, axis=1) # 特征数据集,添加1是构造常数项x0
w = grad_descent(X, y)
print("权重w为:", w)

7.了解梯度下降法,牛顿法,拟牛顿法与smo算法等优化算法。(拓展题)
最优化/Optimization文章合集https://www.codelast.com/%e5%8e%9f%e5%88%9b%e6%9c%80%e4%bc%98%e5%8c%96optimization%e6%96%87%e7%ab%a0%e5%90%88%e9%9b%86/#more-7364
907

被折叠的 条评论
为什么被折叠?



