0. 相关概念
- 灾难性遗忘(catastrophic forgetting):这是一个在机器学习领域,特别是在神经网络中常见的现象。当模型在训练过程中学习到新的任务或数据时,它可能会忘记之前已经学习到的任务或数据,导致在之前任务上的性能显著下降。这种现象就像是人类在学习新知识时可能会忘记旧知识一样。
- 黑盒优化(black-box optimization):一种优化方法,其中优化算法不依赖于问题的具体内部结构或性质,而是仅依赖于输入和输出之间的关系。在机器学习和人工智能领域,黑盒优化常用于那些内部结构复杂或不完全清楚,但可以通过输入输出进行测试和评估的系统。在这个上下文中,黑盒优化被用来找到合并不同任务时每个任务的最优权重,以提高模型在MMLU基准测试上的整体性能。
1. LM-Cocktail
-
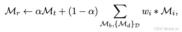
目标:LM-Cocktail 的提出是为了解决语言模型在经过fine-tune操作后的灾难性遗忘问题。
-
特点:能够在模型合并的基础上,不断地适应已经经过精细微调(well-fine-tuned)的语言模型。
-
三种形态:
- 直接将微调模型与预训练的基础模型合并,以提高微调模型的通用能力

订阅专栏 解锁全文
672

被折叠的 条评论
为什么被折叠?



