提示:文章写完后,目录可以自动生成,如何生成可参考右边的帮助文档
一、泊松分布
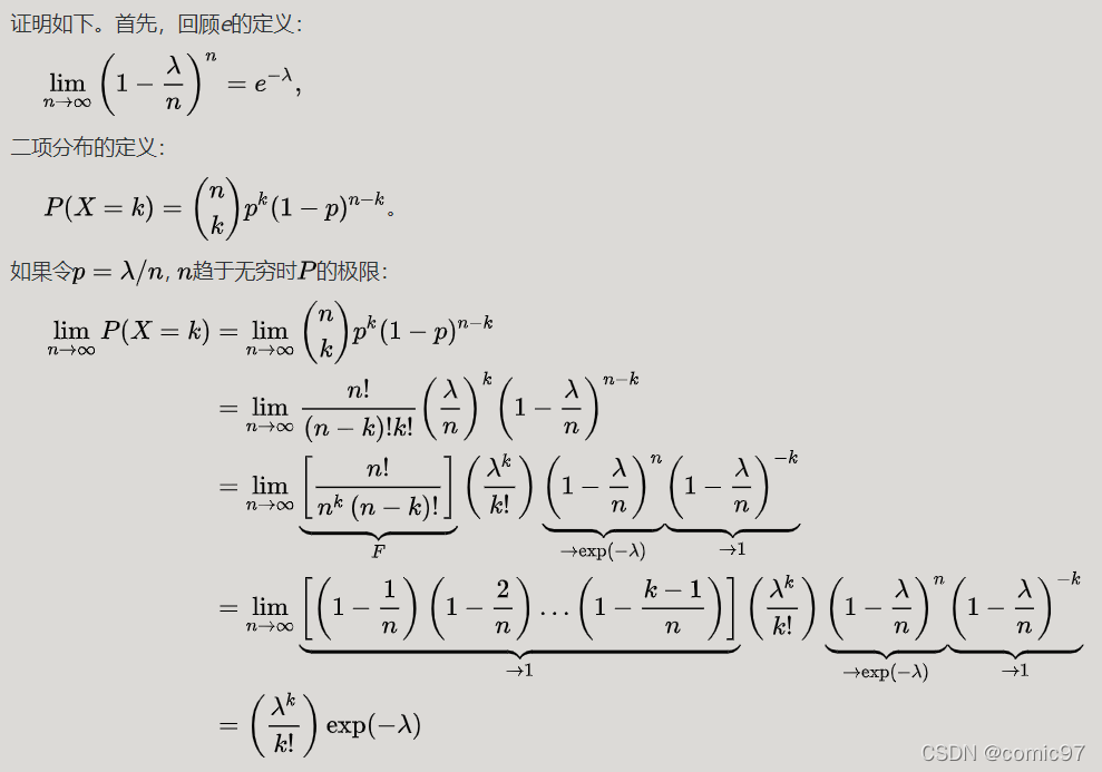
泊松分布和二项分布有密切的联系。下为泊松分布的来源:
交通部门对一个十字路口一天内发生车祸的情况做研究,经过大量的统计和观察,该路口一天平均发生车祸的次数为 λ \lambda λ次。假设某天交通部门发现路口发生了k次车祸,问该事件出现的可能性多大?

我们将一天分成n段等份,对于每一个区间,发生车祸的概率为 λ \lambda λ/n,那么从n段中选k段发生车祸,其余部分不发生车祸即可,其满足二项分布,概率计算为:
P ( X = k ) = C n k ( λ n ) k ( 1 − λ n ) n − k P(X=k)=C^k_n(\frac{\lambda}{n})^k(1-\frac{\lambda}{n})^{n-k} P(X=k)=Cnk(nλ)k(1−nλ)n−k
当n趋于无穷时,该式可化简为:

光学成像的过程可以看作泊松分布。对于单个像素来说,在曝光时间内,平均来说会有 λ \lambda λ个光子被这个像素采集到,那么这个像素实际采集到的光子数X即满足泊松分布。
二、高尔顿钉板
红色小球撞到黑色钉子时以等概率的形式向两边分散开,已知钉板最下方的小球分布如下,问一共向小孔中扔了多少个小球?

很简单啊,把下面所有球都加起来就行了。但是如果有两个小孔呢?是不是有点懵了。

那干脆瞎蒙一个好了,左边孔扔了20个,右边孔扔了3个。乍一看也不是不可能,但是总感觉怪怪的,明明右边小球多一点啊,肯定是右边的孔扔的多。为什么会有这种想法呢?这里其实隐含了极大似然估计的思想,即由果推因,看看最可能是什么样的因造成了这种果。
此外,我们还可以发现,正是高尔顿钉板的作用,使得红色小球出现的概率具有了一定的空间分布。
三、极大似然估计
已知盒子里有黑球和白球共100个,有放回的从盒子里摸了10个球,统计结果发现有8个白球2个黑球,问盒子里白球最可能有多少个?
设盒子里有白球x个为事件X,是因,摸10个球有白球y个为事件Y,是果。根据贝叶斯公式,当摸出来y个白球时,盒子里实际上有白球x个满足的概率为:
P ( X ∣ Y ) = P ( Y ∣ X ) P ( X ) P ( Y ) = P ( Y ∣ X ) P ( X ) ∑ i = 0 100 P ( Y ∣ X = i ) P ( X = i ) P(X|Y) = \frac{P(Y|X)P(X)}{P(Y)} = \frac{P(Y|X)P(X)}{\sum_{i=0}^{100}P(Y|X=i)P(X=i)} P(X∣Y)=P(Y)P(Y∣X)P(X</

本文从泊松分布出发,介绍了高尔顿钉板与极大似然估计的概念,然后详细阐述了Richardson-Lucy(RL)滤波器在图像去模糊中的应用,通过对成像过程的分析,利用泊松分布进行反向推断,探讨了如何找到最可能的原始图像。
最低0.47元/天 解锁文章
546

被折叠的 条评论
为什么被折叠?



