微分和积分数学公式大全

一、极限公式

在这里插入图片描述

(系数不为0的情况)

二、重要公式

在这里插入图片描述

三、下列常用等价无穷小关系(x->0)

在这里插入图片描述

四、导数的四则运算法则

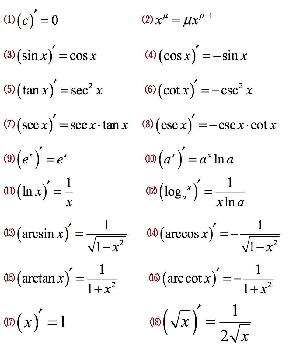
五、基本导数公式

在这里插入图片描述

六、高阶导数的运算法则

在这里插入图片描述

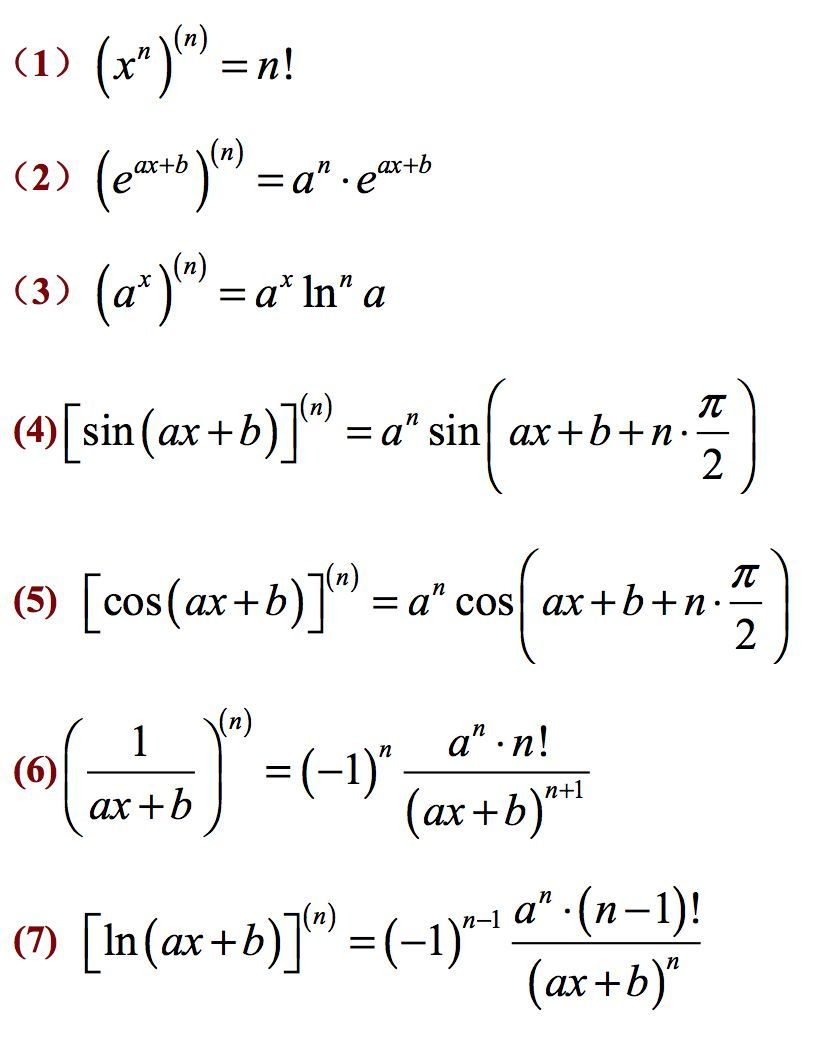
七、基本初等函数的n阶导数公式

在这里插入图片描述

八、微分公式与微分运算法则

在这里插入图片描述

九、微分运算法则

在这里插入图片描述

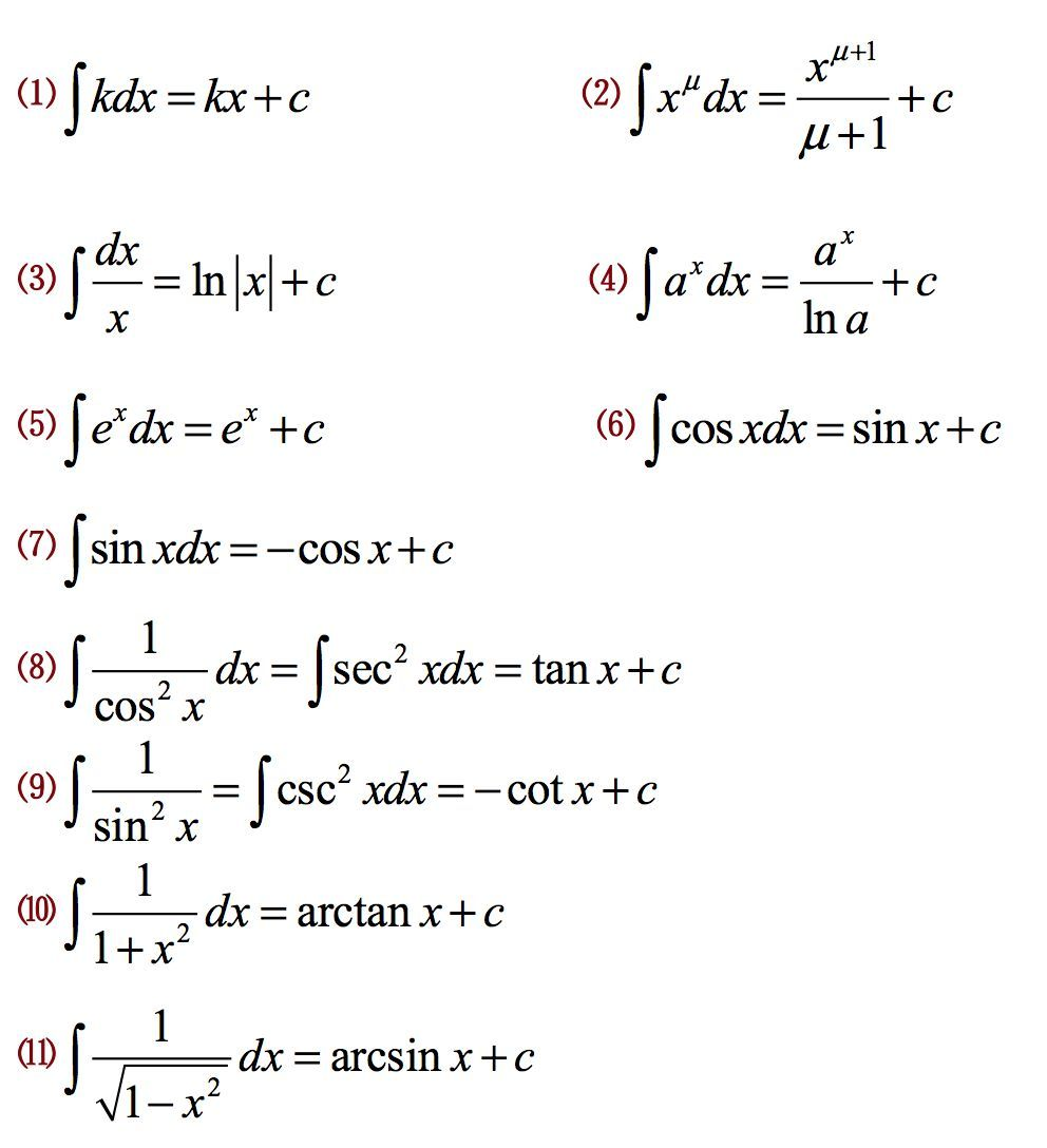
十、基本积分公式

在这里插入图片描述

十一、下列常用凑微分公式

在这里插入图片描述

十二、补充下面几个积分公式

在这里插入图片描述

十三、分部积分法公式

在这里插入图片描述

十四、第二换元积分法中的三角换元公式

在这里插入图片描述

十五、三角函数公式

在这里插入图片描述

在这里插入图片描述
在这里插入图片描述
在这里插入图片描述
在这里插入图片描述

在这里插入图片描述
在这里插入图片描述
在这里插入图片描述

在这里插入图片描述

十六、几种常见的微分方程

在这里插入图片描述

引用:
https://www.sohu.com/a/215294583_275707

评论
成就一亿技术人!
拼手气红包6.0元
还能输入1000个字符
 
红包 添加红包
表情包 插入表情
 条评论被折叠 查看
添加红包

请填写红包祝福语或标题

红包个数最小为10个

红包金额最低5元

当前余额3.43前往充值 >
需支付:10.00
成就一亿技术人!
领取后你会自动成为博主和红包主的粉丝 规则
hope_wisdom
发出的红包
实付
使用余额支付
点击重新获取
扫码支付
钱包余额 0

抵扣说明:

1.余额是钱包充值的虚拟货币,按照1:1的比例进行支付金额的抵扣。
2.余额无法直接购买下载,可以购买VIP、付费专栏及课程。

余额充值