文章目录
一元函数积分学
常见积分
∫ e a x sin b x d x = ∣ ( e a x ) ′ ( sin b x ) ′ e a x sin b x ∣ a 2 + b 2 + C \int e^{ax}\sin bx \, dx = \frac{ \begin{vmatrix} (e^{ax})' & (\sin bx)' \\ e^{ax} & \sin bx \end{vmatrix} }{a^2 + b^2} + C ∫eaxsinbxdx=a2+b2 (eax)′eax(sinbx)′sinbx +C
分布积分表格法

可积条件
可积的必要条件:被积函数一定有界
若函数 f f f在 [ a , b ] [a,b] [a,b]上可积,则 f f f在 [ a , b ] [a,b] [a,b]上必定有界。
可积的充要条件:达布上下和相等
设
T
=
{
Δ
i
∣
i
=
1
,
2
,
⋯
,
n
}
T = \{ \Delta_i | i = 1,2,\cdots,n \}
T={Δi∣i=1,2,⋯,n}为对
[
a
,
b
]
[a,b]
[a,b]的任一分割. 由
f
f
f在
[
a
,
b
]
[a,b]
[a,b]上有界, 则它在每个
Δ
i
\Delta_i
Δi上存在上、下确界:
M
i
=
sup
x
∈
Δ
i
f
(
x
)
,
m
i
=
inf
x
∈
Δ
i
f
(
x
)
,
i
=
1
,
2
,
⋯
,
n
.
M_i = \sup_{x \in \Delta_i} f(x), m_i = \inf_{x \in \Delta_i} f(x), i = 1,2,\cdots,n.
Mi=supx∈Δif(x),mi=infx∈Δif(x),i=1,2,⋯,n.
作和
S
(
T
)
=
∑
i
=
1
n
M
i
Δ
x
i
,
s
(
T
)
=
∑
i
=
1
n
m
i
Δ
x
i
,
S(T) = \sum_{i=1}^n M_i \Delta x_i, s(T) = \sum_{i=1}^n m_i \Delta x_i,
S(T)=∑i=1nMiΔxi,s(T)=∑i=1nmiΔxi,
分别称为
f
f
f关于分割
T
T
T的上和与下和(或称达布上和与达布下和,统称达布和). 任给
ξ
i
∈
Δ
i
,
i
=
1
,
2
,
⋯
,
n
\xi_i \in \Delta_i, i = 1,2,\cdots,n
ξi∈Δi,i=1,2,⋯,n,显然有
s
(
T
)
⩽
∑
i
=
1
n
f
(
ξ
i
)
Δ
x
i
⩽
S
(
T
)
.
s(T) \leqslant \sum_{i=1}^n f(\xi_i) \Delta x_i \leqslant S(T).
s(T)⩽∑i=1nf(ξi)Δxi⩽S(T).
与积分和相比较,达布和只与分割
T
T
T有关,而与点集
{
ξ
i
}
\{ \xi_i \}
{ξi}无关. 由不等式
(
1
)
(1)
(1),就能通过讨论上和与下和当
∥
T
∥
→
0
\| T \| \to 0
∥T∥→0时的极限来揭示
f
f
f在
[
a
,
b
]
[a,b]
[a,b]上是否可积. 所以可积性理论总是从讨论上和与下和的性质入手的.
定理9.3(可积准则) 函数
f
f
f在
[
a
,
b
]
[a,b]
[a,b]上可积的充要条件是:任给
ε
>
0
\varepsilon > 0
ε>0,总存在相应的一个分割
T
T
T,使得
S
(
T
)
−
s
(
T
)
<
ε
.
S(T) - s(T) < \varepsilon.
S(T)−s(T)<ε.
本定理的证明依赖对上和与下和性质的详尽讨论
设
ω
i
=
M
i
−
m
i
\omega_i = M_i - m_i
ωi=Mi−mi,称为
f
f
f在
Δ
i
\Delta_i
Δi上的振幅,有必要时也记为
ω
i
f
\omega_i^f
ωif。由于
S
(
T
)
−
s
(
T
)
=
∑
i
=
1
n
ω
i
Δ
x
i
(或记为
∑
T
ω
i
Δ
x
i
)
,
S(T) - s(T) = \sum_{i=1}^n \omega_i \Delta x_i \text{(或记为} \sum_T \omega_i \Delta x_i\text{)},
S(T)−s(T)=∑i=1nωiΔxi(或记为∑TωiΔxi),
因此可积准则又可改述如下.
定理
9.
3
′
9.3'
9.3′ 函数
f
f
f在
[
a
,
b
]
[a,b]
[a,b]上可积的充要条件是:任给
ε
>
0
\varepsilon > 0
ε>0,总存在相应的某一分割
T
T
T,使得
∑
T
ω
i
Δ
x
i
<
ε
.
\sum_T \omega_i \Delta x_i < \varepsilon.
∑TωiΔxi<ε.
上面俩不等式的几何意义是:若 f f f在 [ a , b ] [a,b] [a,b]上可积,则图9-7中包围曲线 y = f ( x ) y = f(x) y=f(x)的一系列小矩形面积之和可以达到任意小,只要分割充分地细;反之亦然.

可积的充分条件:连续、单调、或者只有有限个间断点
-
若 f f f为 [ a , b ] [a,b] [a,b]上的连续函数,则 f f f在 [ a , b ] [a,b] [a,b]上可积.
-
若 f f f是区间 [ a , b ] [a,b] [a,b]上只有有限个间断点的有界函数,则 f f f在 [ a , b ] [a,b] [a,b]上可积.
-
若 f f f是 [ a , b ] [a,b] [a,b]上的单调函数,则 f f f在 [ a , b ] [a,b] [a,b]上可积.
已知 f ( x ) f(x) f(x)在 [ 0 , + ∞ ) [0, +\infty) [0,+∞)内可导,且 lim x → + ∞ f ′ ( x ) = 0 \lim\limits_{x \to +\infty} f'(x) = 0 x→+∞limf′(x)=0,能否推出 f ( x ) f(x) f(x)在 [ 0 , + ∞ ) [0, +\infty) [0,+∞)内有界?
不能,反例如下:
f ( x ) = ln ( x + 1 ) . f(x)=\ln(x+1). f(x)=ln(x+1).
那么:
f ( x ) f(x) f(x) 在 [ 0 , + ∞ ) [0,+\infty) [0,+∞) 内处处可导;且 f ′ ( x ) = 1 x + 1 ⇒ lim x → + ∞ f ′ ( x ) = 0 ; f'(x)=\frac{1}{x+1}\quad\Rightarrow\quad \lim_{x\to +\infty} f'(x)=0; f′(x)=x+11⇒limx→+∞f′(x)=0;
但 lim x → + ∞ f ( x ) = + ∞ , \lim_{x\to +\infty}f(x)=+\infty, limx→+∞f(x)=+∞,
所以 f ( x ) f(x) f(x) 不有界。
这恰好说明:
虽然导数趋于 0,但函数值仍然可以无限增长。
“导数趋于 0” 只说明 增长速率越来越小,但并不排除函数一直持续增长,只是越来越慢,如 ln x \ln x lnx、 x \sqrt x x、 ln ln x \ln\ln x lnlnx 等。
因此:
lim x → ∞ f ′ ( x ) = 0 ⇏ f ( x ) 有界 . \lim_{x\to\infty}f'(x)=0 \quad\not\Rightarrow\quad f(x)\text{ 有界}. x→∞limf′(x)=0⇒f(x) 有界.
求旋转体的体积
这张图其实就是用面积元旋转 → 体积元的思想,把“绕任意一条直线旋转”的体积公式统一写出来。我们一块儿把它拆开讲一遍👇
1️⃣ 基本想法:面积元转一圈变成一个小“圆环体”
在平面区域 D D D 上取一个很小的面积元 d σ d\sigma dσ,它所在的点是 ( x , y ) (x,y) (x,y)。
若把面积元 d σ d\sigma dσ绕一条直线 L : a x + b y + c = 0 L:ax+by+c=0 L:ax+by+c=0 旋转一圈,这个小面积元会扫出一个“薄薄的圆环体”(类似柱壳):
- 半径 = 该点到直线 L L L 的距离 r ( x , y ) r(x,y) r(x,y)
- 横截面积 = d σ d\sigma dσ
- 圆周长 = 2 π r ( x , y ) 2\pi r(x,y) 2πr(x,y)
所以这个小体积元是
d V = 周长 × 横截面积 = 2 π r ( x , y ) d σ dV = \text{周长}\times \text{横截面积} = 2\pi r(x,y)\,d\sigma dV=周长×横截面积=2πr(x,y)dσ
把整个区域 D D D 上所有的小面积元加起来(积分)就得到总体积:
V = ∭ d V = 2 π ∬ D r ( x , y ) d σ \boxed{V = \iiint dV = 2\pi \iint_D r(x,y)\, d\sigma} V=∭dV=2π∬Dr(x,y)dσ
这就是计算旋转体体积的万能公式。✅
2️⃣ 距离 r ( x , y ) r(x,y) r(x,y) 的表达式
点 ( x , y ) (x,y) (x,y) 到直线 a x + b y + c = 0 ax+by+c=0 ax+by+c=0 的距离公式是
r ( x , y ) = ∣ a x + b y + c ∣ a 2 + b 2 r(x,y) = \frac{|ax+by+c|}{\sqrt{a^2+b^2}} r(x,y)=a2+b2∣ax+by+c∣
这是解析几何的标准公式——所以直接把它代入上面的体积公式就行了
3️⃣ 专门对着 x 轴、y 轴的两个常用特例
👉 绕 x 轴旋转
直线是
y
=
0
y=0
y=0,可以看成
0
⋅
x
+
1
⋅
y
+
0
=
0
0\cdot x+1\cdot y+0=0
0⋅x+1⋅y+0=0,
所以
r
(
x
,
y
)
=
∣
y
∣
r(x,y)=|y|
r(x,y)=∣y∣。若区域在上半平面(
y
≥
0
y\ge0
y≥0),就直接写成
r
=
y
r=y
r=y。
于是
V x = 2 π ∬ D y d σ V_x = 2\pi \iint_D y\, d\sigma Vx=2π∬Dydσ
若区域是
D = { ( x , y ) : a ≤ x ≤ b , 0 ≤ y ≤ f ( x ) } , D = \{(x,y): a\le x\le b,\ 0\le y\le f(x)\}, D={(x,y):a≤x≤b, 0≤y≤f(x)},
把二重积分写开:
V x = 2 π ∫ a b ∫ 0 f ( x ) y d y d x = 2 π ∫ a b [ y 2 2 ] 0 f ( x ) d x = π ∫ a b f ( x ) 2 d x \begin{aligned} V_x &=2\pi\int_a^b\int_0^{f(x)} y\,dy\,dx \\ &=2\pi\int_a^b\left[\frac{y^2}{2}\right]_0^{f(x)}dx \\ &=\pi\int_a^b f(x)^2\,dx \end{aligned} Vx=2π∫ab∫0f(x)ydydx=2π∫ab[2y2]0f(x)dx=π∫abf(x)2dx
这就是你熟悉的圆盘/垫片法公式
👉 绕 y 轴旋转
直线是
x
=
0
x=0
x=0,可以看成
1
⋅
x
+
0
⋅
y
+
0
=
0
1\cdot x+0\cdot y+0=0
1⋅x+0⋅y+0=0,
所以
r
(
x
,
y
)
=
∣
x
∣
r(x,y)=|x|
r(x,y)=∣x∣。对在右半平面
x
≥
0
x\ge0
x≥0 的区域,直接写
r
=
x
r=x
r=x:
V y = 2 π ∬ D x d σ V_y = 2\pi \iint_D x\, d\sigma Vy=2π∬Dxdσ
同样把区域写成
D = { ( x , y ) : a ≤ x ≤ b , 0 ≤ y ≤ f ( x ) } , D=\{(x,y):a\le x\le b,\ 0\le y\le f(x)\}, D={(x,y):a≤x≤b, 0≤y≤f(x)},
V y = 2 π ∫ a b ∫ 0 f ( x ) x d y d x = 2 π ∫ a b x [ f ( x ) − 0 ] d x = 2 π ∫ a b x f ( x ) d x \begin{aligned} V_y &=2\pi\int_a^b\int_0^{f(x)} x\,dy\,dx \\ &=2\pi\int_a^b x\big[f(x)-0\big]\,dx \\ &=2\pi\int_a^b x f(x)\,dx \end{aligned} Vy=2π∫ab∫0f(x)xdydx=2π∫abx[f(x)−0]dx=2π∫abxf(x)dx
这就是熟悉的柱壳法公式。✅
4️⃣ 总结一句话
-
通用公式:
V = 2 π ∬ D r ( x , y ) d σ , r ( x , y ) = 点到旋转轴的距离 \boxed{V = 2\pi\iint_D r(x,y)\,d\sigma,\quad r(x,y)=\text{点到旋转轴的距离}} V=2π∬Dr(x,y)dσ,r(x,y)=点到旋转轴的距离
-
绕 x 轴: V = π ∫ a b f ( x ) 2 d x V = \pi\displaystyle\int_a^b f(x)^2 dx V=π∫abf(x)2dx
-
绕 y 轴: V = 2 π ∫ a b x f ( x ) d x V = 2\pi\displaystyle\int_a^b x f(x)\,dx V=2π∫abxf(x)dx
反常积分判敛
如果在一个积分的积分区间内,被积函数在某个点处的取值是无穷大,请问这个积分可以是收敛的吗?
瑕点在一端的收敛反常积分
当然可以,比如
∫ 0 1 1 x d x \int_{0}^{1} \frac{1}{\sqrt{x}}\,dx ∫01x1dx
这个积分的被积函数在 x = 0 x=0 x=0 时:
1 x → + ∞ , \frac{1}{\sqrt{x}} \to +\infty, x1→+∞,
但我们计算:
∫ 0 1 1 x d x = [ 2 x ] 0 1 = 2 < ∞ . \int_0^1 \frac{1}{\sqrt{x}}dx =\left[2\sqrt{x}\right]_0^1=2<\infty. ∫01x1dx=[2x]01=2<∞.
虽然在 x = 0 x = 0 x=0 发散,积分仍然收敛。
瑕点在中间的收敛反常积分
下面再举一个 瑕点在积分区间中间, 但积分仍然 收敛 的例子
∫ 0 2 1 ∣ x − 1 ∣ d x \int_{0}^{2} \frac{1}{\sqrt{|x-1|}}\,dx ∫02∣x−1∣1dx
注意:在 x = 1 x=1 x=1 处:
1 ∣ x − 1 ∣ → + ∞ \frac{1}{\sqrt{|x-1|}} \to +\infty ∣x−1∣1→+∞
也就是说 被积函数在区间中点 x = 1 x=1 x=1 发散。
但这个积分其实是 收敛 的。证明过程如下
∫ 0 2 1 ∣ x − 1 ∣ d x = lim ε → 0 + ( ∫ 0 1 − ε 1 1 − x d x + ∫ 1 + ε 2 1 x − 1 d x ) \int_0^2 \frac{1}{\sqrt{|x-1|}}dx =\lim_{\varepsilon\to 0^+} \left( \int_0^{1-\varepsilon} \frac{1}{\sqrt{1-x}}dx + \int_{1+\varepsilon}^2 \frac{1}{\sqrt{x-1}}dx \right) ∫02∣x−1∣1dx=ε→0+lim(∫01−ε1−x1dx+∫1+ε2x−11dx)
分别计算两部分:
左边(靠近 1-):
∫ 0 1 − ε 1 1 − x d x = [ − 2 1 − x ] 0 1 − ε = 2 ( 1 − ε ) \int_0^{1-\varepsilon} \frac{1}{\sqrt{1-x}}dx = \left[-2\sqrt{1-x}\right]_0^{1-\varepsilon} =2\left(1-\sqrt{\varepsilon}\right) ∫01−ε1−x1dx=[−21−x]01−ε=2(1−ε)
右边(靠近 1+):
∫ 1 + ε 2 1 x − 1 d x = [ 2 x − 1 ] 1 + ε 2 = 2 ( 1 − ε ) \int_{1+\varepsilon}^{2} \frac{1}{\sqrt{x-1}}dx = \left[2\sqrt{x-1}\right]_{1+\varepsilon}^{2} =2\left(1-\sqrt{\varepsilon}\right) ∫1+ε2x−11dx=[2x−1]1+ε2=2(1−ε)
相加:
∫ 0 2 1 ∣ x − 1 ∣ d x = lim ε → 0 + 4 ( 1 − ε ) = 4. \int_0^2 \frac{1}{\sqrt{|x-1|}}dx =\lim_{\varepsilon\to 0^+} 4(1-\sqrt{\varepsilon}) =4. ∫02∣x−1∣1dx=ε→0+lim4(1−ε)=4.
可以看到,在上面这个例子中,虽然被积函数在积分区间中间 x = 1 x=1 x=1 处取值是无穷大,但整体的积分依然可以收敛
∫ 0 2 1 ∣ x − 1 ∣ d x = 4 (收敛) \boxed{\int_0^2 \frac{1}{\sqrt{|x-1|}}\,dx = 4\quad\text{(收敛)}} ∫02∣x−1∣1dx=4(收敛)
这是一个标准的“中间有瑕点的收敛反常积分”。
瑕点在两端的收敛反常积分
下面再举一个瑕点在两端的收敛反常积分的例子
∫ 0 π d x sin x \int_0^\pi \frac{dx}{\sqrt{\sin x}} ∫0πsinxdx
因为 sin x = 0 \sin x=0 sinx=0 在端点 x = 0 , π x=0,\pi x=0,π,所以这是端点有瑕点的反常积分。只需考察端点附近的行为即可。
- 在 x → 0 + x\to 0^+ x→0+ 附近
sin x ∼ x ( x → 0 ) \sin x \sim x \quad (x\to 0) sinx∼x(x→0)
所以
1 sin x ∼ 1 x \frac{1}{\sqrt{\sin x}} \sim \frac{1}{\sqrt{x}} sinx1∼x1
而
∫ 0 δ d x x \int_0^\delta \frac{dx}{\sqrt{x}} ∫0δxdx
是收敛的( ∫ 0 δ x − 1 / 2 d x = 2 δ < ∞ \int_0^\delta x^{-1/2}dx = 2\sqrt{\delta}<\infty ∫0δx−1/2dx=2δ<∞)。
因此在 0 附近可积。
- 在 x → π − x\to \pi^- x→π− 附近
令 t = π − x t=\pi-x t=π−x,则 t → 0 + t\to 0^+ t→0+,并且
sin x = sin ( π − t ) = sin t ∼ t \sin x = \sin(\pi - t)=\sin t \sim t sinx=sin(π−t)=sint∼t
于是
1 sin x ∼ 1 t \frac{1}{\sqrt{\sin x}} \sim \frac{1}{\sqrt{t}} sinx1∼t1
同理
∫ 0 δ d t t \int_0^\delta \frac{dt}{\sqrt{t}} ∫0δtdt
收敛,所以在 π \pi π 附近也可积。
两端都可积,所以原反常积分 收敛。
∫ 0 π d x sin x 收敛 \boxed{\int_0^\pi \frac{dx}{\sqrt{\sin x}} \text{ 收敛}} ∫0πsinxdx 收敛
反常积分的概念
通过上面三个例子我们可以看出,如果一个积分的被积函数在积分区间内部的某个点处值不存在(趋近于无穷),其整体的积分当然也可能不存在,但也存在着积分收敛的情况,即局部的函数值无穷大可能并不会影响整体积分的值。像这样的局部无穷大点,或者取值无意义的点,我们通常把它称之为积分的瑕点。而像这样有瑕点,或者积分上下限至少有一端是正无穷的积分,我们通常把它们叫做反常积分
反常积分判敛的方法有哪些?
反常积分(广义积分)判敛的方法主要有 5 大类,每一类都有固定套路,下面给你系统总结。
⭐ 1. 比较判别法(最常用)
适用于:被积函数在“端点处”难处理,但形状与简单函数相似。
(1)直接比较判别法(对应正项级数的比较判别法)
若在积分区间上 0 ≤ f ( x ) ≤ g ( x ) 0\le f(x)\le g(x) 0≤f(x)≤g(x),且已知 ∫ g ( x ) d x 收敛 , \int g(x)\,dx \text{ 收敛}, ∫g(x)dx 收敛,
则 ∫ f ( x ) d x 收敛 . \int f(x)\,dx \text{ 收敛}. ∫f(x)dx 收敛.
反过来:若 f ( x ) ≥ g ( x ) ≥ 0 f(x)\ge g(x)\ge 0 f(x)≥g(x)≥0 且 ∫ g \int g ∫g 发散,则 ∫ f \int f ∫f 发散。
(2)极限比较判别法(对应正项级数比较判别法的极限形式)
若 lim x → a f ( x ) g ( x ) = L \lim_{x\to a} \frac{f(x)}{g(x)} = L limx→ag(x)f(x)=L,且 0 < L < ∞ 0<L<\infty 0<L<∞,则 ∫ f 与 ∫ g 同敛散 . \int f\text{ 与 }\int g\text{ 同敛散}. ∫f 与 ∫g 同敛散.
⭐ 2. 级数判敛与反常积分判敛相互转换
用于级数,也可反过来用级数判断积分:
若 f ( x ) f(x) f(x) 单调非负,则
∑ f ( n ) 与 ∫ f ( x ) d x \sum f(n)\quad \text{与}\quad \int f(x)dx ∑f(n)与∫f(x)dx
同敛散。
例:
∫ 1 ∞ d x x ln x 发散 \int_1^\infty \frac{dx}{x\ln x} \quad \text{发散} ∫1∞xlnxdx发散
因为对数积分发散,对应的级数 ∑ 1 / ( n ln n ) \sum 1/(n\ln n) ∑1/(nlnn) 也发散。
⭐ 3. 通过换元法把反常积分变成标准型
适用于指数、对数、三角等复杂结构。
例如:
- t = e − x t=e^{-x} t=e−x
- x = tan t x=\tan t x=tant
- x = 1 u x=\frac{1}{u} x=u1
例:
∫ 0 ∞ e − x 2 d x \int_0^\infty e^{-x^2} dx ∫0∞e−x2dx
用 x 2 = t x^2 = t x2=t 或 x = tan θ x = \tan \theta x=tanθ 等标准操作。
⭐ 4. 绝对收敛推条件收敛
若 ∫ ∣ f ( x ) ∣ d x 收敛 \int |f(x)|dx \text{ 收敛} ∫∣f(x)∣dx 收敛,则 ∫ f ( x ) d x 收敛 . \int f(x)dx \text{ 收敛}. ∫f(x)dx 收敛.
反之不一定,
例如反常积分
∫
0
∞
sin
x
x
d
x
\int_0^\infty \frac{\sin x}{x}\,dx
∫0∞xsinxdx不绝对收敛,但条件收敛。
⭐ 5. 阿贝尔、狄利克雷判别法(也叫振荡积分判敛法)
之所以叫振荡积分判敛法,是因为它们常用与判定带有正弦/余弦等振荡函数的反常积分敛散性
Dirichlet 判别法:
若:
- f ( x ) f(x) f(x) 单调趋 0;
- ∫ 0 A g ( x ) d x \int_0^A g(x)\,dx ∫0Ag(x)dx 有界;
则 ∫ 0 ∞ f ( x ) g ( x ) d x \int_0^\infty f(x)g(x)dx ∫0∞f(x)g(x)dx收敛
比如: ∫ 0 ∞ sin x x d x \int_0^\infty \frac{\sin x}{x} dx ∫0∞xsinxdx收敛,就是用狄利克雷判别法证明的
比较判别法中常用的几个典型标尺:
p型积分(对应无穷级数里面的P级数)
p积分的敛散性结论:
∫
1
∞
x
−
p
d
x
\int_1^\infty x^{-p}dx
∫1∞x−pdx
- p > 1 p>1 p>1 收敛
- p ≤ 1 p\le 1 p≤1 发散
另有:
∫ 0 1 x − p d x \int_0^1 x^{-p}dx ∫01x−pdx
- p < 1 p<1 p<1 收敛
- p ≥ 1 p\ge1 p≥1 发散
带有 l n x ln x lnx的反常积分
对:
∫ 0 ∞ x p e − a x d x \int_0^\infty x^p e^{-ax}dx ∫0∞xpe−axdx
总收敛。
对:
∫ 1 ∞ 1 x ( ln x ) p d x \int_1^\infty \frac{1}{x(\ln x)^p}dx ∫1∞x(lnx)p1dx
在 p > 1 p>1 p>1 收敛,其余发散。
∫ 0 ∞ sin x x d x \int_0^\infty \frac{\sin x}{x} dx ∫0∞xsinxdx
∫ 0 ∞ sin x x d x \int_0^\infty \frac{\sin x}{x} dx ∫0∞xsinxdx是一个收敛的反常积分(可以用狄利克雷判别法证明)
典例
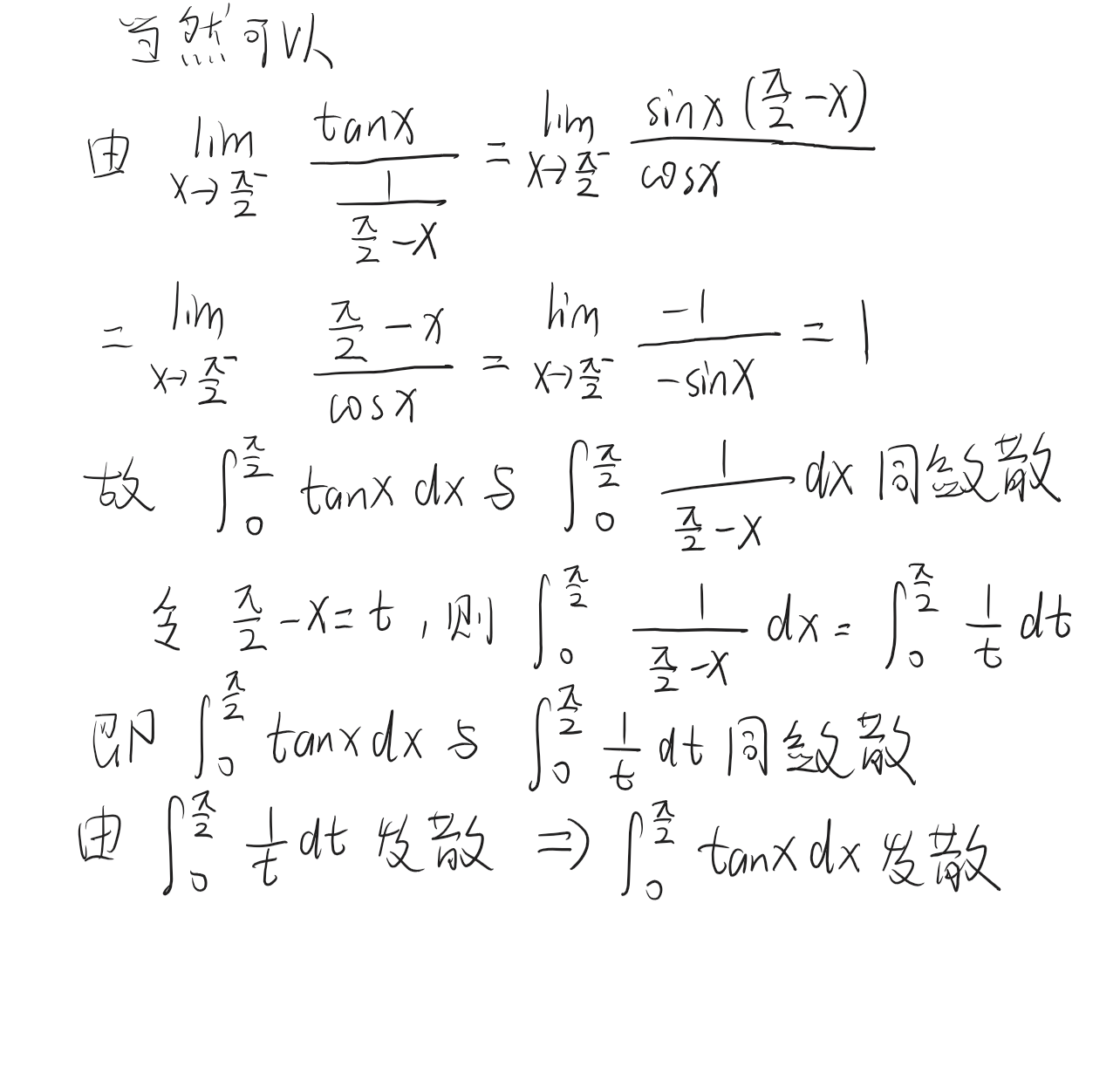
请问 ∫ 0 π 2 tan x d x \int_{0}^{\frac{\pi}{2}} \tan x\,dx ∫02πtanxdx问能不能用 p 型积分 来判敛?

请问反常积分 ∫ 0 1 ln x d x \int_0^1 \ln x\,dx ∫01lnxdx能不能用 p 型积分来判敛?
当然可以,根据就是我们前面学过的一个重要极限:
lim x → 0 + x p ∣ ln x ∣ = 0 ( ∀ p > 0 ) \lim_{x\to0^+} x^p |\ln x| = 0 \quad (\forall\,p>0) x→0+limxp∣lnx∣=0(∀p>0)
也就是说,
∣
ln
x
∣
|\ln x|
∣lnx∣ 比任何
x
−
p
x^{-p}
x−p(
p
>
0
p>0
p>0)增长都慢。
所以对任意
p
>
0
p>0
p>0,都存在一个
δ
>
0
\delta>0
δ>0,使得当
0
<
x
<
δ
0<x<\delta
0<x<δ 时,
∣ ln x ∣ ≤ x − p . |\ln x| \le x^{-p}. ∣lnx∣≤x−p.
取一个 0 < p < 1 0<p<1 0<p<1,例如 p = 1 2 p=\tfrac12 p=21,那么
∣ ln x ∣ ≤ 1 x , 0 < x < δ . |\ln x| \le \frac{1}{\sqrt{x}},\quad 0<x<\delta. ∣lnx∣≤x1,0<x<δ.
而 ∫ 0 δ d x x \int_0^\delta \frac{dx}{\sqrt{x}} ∫0δxdx 收敛,根据由比较判别法(大收小必收),我们有:
∫ 0 δ ∣ ln x ∣ d x 收敛 \int_0^\delta |\ln x|\,dx \quad \text{收敛} ∫0δ∣lnx∣dx收敛
绝对收敛可以推条件收敛,所以我们得出
∫ 0 1 ln x d x \int_0^1 \ln x\,dx ∫01lnxdx
在 0 附近也收敛(且绝对收敛)
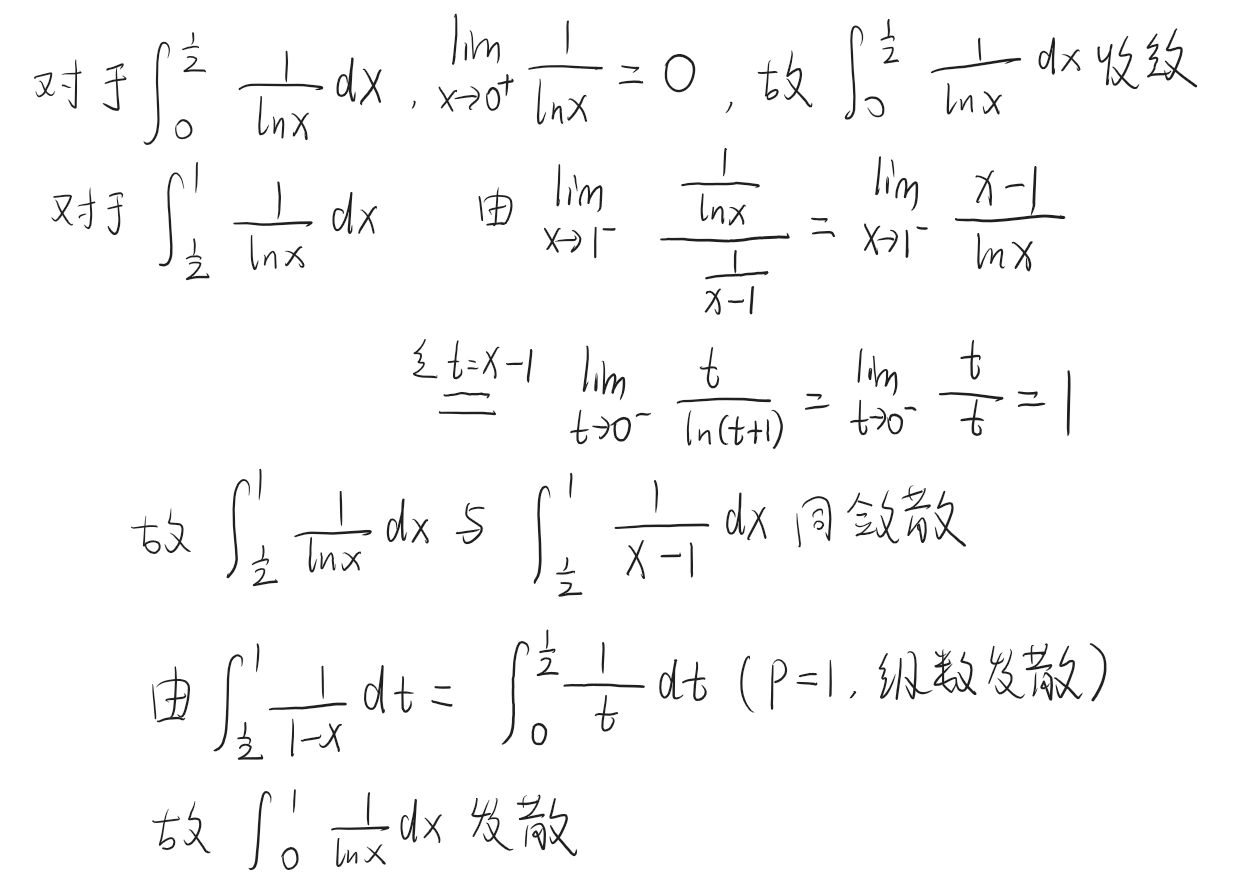
请问 ∫ 0 1 1 ln x d x \int_0^1 \frac{1}{\ln x}\,dx ∫01lnx1dx能不能用 p 型积分来判敛?
可以,而且很好用 👍
首先讨论瑕点处被积函数极限是否存在
- 在 x = 0 + x=0^+ x=0+: ln x → − ∞ \ln x\to -\infty lnx→−∞,所以 1 ln x → 0 \frac1{\ln x}\to 0 lnx1→0,这里没有发散问题;
- 真正的瑕点在 x = 1 x=1 x=1,因为 ln 1 = 0 \ln 1=0 ln1=0。
所以只需考察 x → 1 x\to1 x→1 附近。
讨论 x → 1 x\to1 x→1 附近的部分积分是否收敛

微分方程
一阶线性微分方程
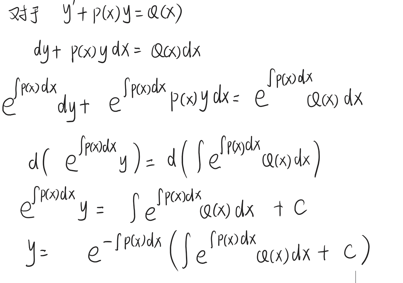
-
标准形式:必须整理为 d y d x + P ( x ) y = Q ( x ) \frac{dy}{dx} + P(x)y = Q(x) dxdy+P(x)y=Q(x),其中 P ( x ) P(x) P(x) 和 Q ( x ) Q(x) Q(x) 是关于 x x x 的已知函数(常数可看作特殊的函数)。
-
通解公式:直接代入公式即可,无需重复推导:
y = e − ∫ P ( x ) d x ( ∫ Q ( x ) e ∫ P ( x ) d x d x + C ) y = e^{-\int P(x)dx} \left( \int Q(x)e^{\int P(x)dx}dx + C \right) y=e−∫P(x)dx(∫Q(x)e∫P(x)dxdx+C)
其中 e ∫ P ( x ) d x e^{\int P(x)dx} e∫P(x)dx 称为“积分因子”,作用是将方程转化为可直接积分的形式。 -
推导过程:

伯努利方程
伯努利方程的标准形式
一阶伯努利方程的严格定义需满足以下形式:
d
y
d
x
+
P
(
x
)
y
=
Q
(
x
)
y
n
\frac{dy}{dx} + P(x)y = Q(x)y^n
dxdy+P(x)y=Q(x)yn
伯努利方程的求解关键是通过变量代换消去非线性的 y n y^n yn项,将其转化为一阶线性方程。具体步骤分为3步,逻辑清晰且具有通用性:
步骤1:消去方程右边的
y
n
y^n
yn项
方程两边同时除以
y
n
y^n
yn(需注意
y
≠
0
y≠0
y=0,后续需验证y=0是否为解),将方程改写为:
y
−
n
d
y
d
x
+
P
(
x
)
y
1
−
n
=
Q
(
x
)
y^{-n}\frac{dy}{dx} + P(x)y^{1-n} = Q(x)
y−ndxdy+P(x)y1−n=Q(x)
步骤2:引入变量代换,转化为线性方程
观察上式,
y
−
n
d
y
d
x
y^{-n}\frac{dy}{dx}
y−ndxdy 可表示为某一新变量导数的“常数倍”。定义新变量:
z
=
y
1
−
n
z = y^{1-n}
z=y1−n
对z关于x求导(利用复合函数求导法则):
d
z
d
x
=
(
1
−
n
)
y
−
n
d
y
d
x
\frac{dz}{dx} = (1-n)y^{-n}\frac{dy}{dx}
dxdz=(1−n)y−ndxdy
将
d
y
d
x
=
1
1
−
n
y
n
⋅
d
z
d
x
\frac{dy}{dx} = \frac{1}{1-n}y^n \cdot \frac{dz}{dx}
dxdy=1−n1yn⋅dxdz 代入步骤1的方程,化简后得到:
1
1
−
n
d
z
d
x
+
P
(
x
)
z
=
Q
(
x
)
\frac{1}{1-n}\frac{dz}{dx} + P(x)z = Q(x)
1−n1dxdz+P(x)z=Q(x)
两边同乘
(
1
−
n
)
(1-n)
(1−n),最终转化为一阶线性非齐次微分方程的标准形式:
d
z
d
x
+
(
1
−
n
)
P
(
x
)
z
=
(
1
−
n
)
Q
(
x
)
\frac{dz}{dx} + (1-n)P(x)z = (1-n)Q(x)
dxdz+(1−n)P(x)z=(1−n)Q(x)
步骤3:求解线性方程并回代
此时方程已转化为关于
z
(
x
)
z(x)
z(x)的一阶线性方程,记为:
d
z
d
x
+
P
∗
(
x
)
z
=
Q
∗
(
x
)
\frac{dz}{dx} + P^*(x)z = Q^*(x)
dxdz+P∗(x)z=Q∗(x)
其中
P
∗
(
x
)
=
(
1
−
n
)
P
(
x
)
P^*(x) = (1-n)P(x)
P∗(x)=(1−n)P(x),
Q
∗
(
x
)
=
(
1
−
n
)
Q
(
x
)
Q^*(x) = (1-n)Q(x)
Q∗(x)=(1−n)Q(x)。
这类线性方程的解法是“常数变易法”,其通解公式为:
z
=
e
−
∫
P
∗
(
x
)
d
x
[
∫
Q
∗
(
x
)
e
∫
P
∗
(
x
)
d
x
d
x
+
C
]
z = e^{-\int P^*(x)dx} \left[ \int Q^*(x) e^{\int P^*(x)dx} dx + C \right]
z=e−∫P∗(x)dx[∫Q∗(x)e∫P∗(x)dxdx+C]
将 z = y 1 − n z = y^{1-n} z=y1−n回代到上述通解中,即可得到原伯努利方程关于 y ( x ) y(x) y(x)的通解。
最后需补充:若 y = 0 y=0 y=0满足原方程(代入后左右两边均为0),则 y = 0 y=0 y=0也是方程的一个解,需根据初始条件判断是否纳入最终结果。
欧拉方程
1. 标准形式(二阶)
对于自变量
x
>
0
x > 0
x>0,方程形式为:
x
2
y
′
′
+
p
x
y
′
+
q
y
=
0
x^2 y'' + p x y' + q y = 0
x2y′′+pxy′+qy=0
其中:
- y = y ( x ) y = y(x) y=y(x) 是待求函数, y ′ y' y′、 y ′ ′ y'' y′′ 分别是一阶、二阶导数;
- p p p、 q q q 是常数(与 x x x 无关)。
2. 求解方法:变量代换
令
t
=
ln
x
t = \ln x
t=lnx(即
x
=
e
t
x = e^t
x=et),将自变量从
x
x
x 转化为
t
t
t,利用复合函数求导法则:
- y ′ = d y d x = d y d t ⋅ d t d x = 1 x ⋅ d y d t y' = \frac{dy}{dx} = \frac{dy}{dt} \cdot \frac{dt}{dx} = \frac{1}{x} \cdot \frac{dy}{dt} y′=dxdy=dtdy⋅dxdt=x1⋅dtdy;
- KaTeX parse error: Expected group as argument to '\left' at end of input: …c{1}{x^2} \left\frac{d2y}{dt2} - \frac{dy}{dt} \right)$。
代入原方程后,可转化为常系数线性微分方程:
d
2
y
d
t
2
+
(
p
−
1
)
d
y
d
t
+
q
y
=
0
\frac{d^2y}{dt^2} + (p-1)\frac{dy}{dt} + q y = 0
dt2d2y+(p−1)dtdy+qy=0
再通过求解特征方程(如
r
2
+
(
p
−
1
)
r
+
q
=
0
r^2 + (p-1)r + q = 0
r2+(p−1)r+q=0)得到通解,最后代回
t
=
ln
x
t = \ln x
t=lnx 即可。
4017

被折叠的 条评论
为什么被折叠?



