源码记录:spring-framework-5.1.7-source-code-read
文章导读
- Spring IoC 源码系列(一)BeanDefinition 初始化与注册
- Spring IoC 源码系列(二)IoC 容器启动流程分析
- Spring IoC 源码系列(三)Spring 事件发布机制原理分析
- Spring IoC 源码系列(四)bean创建流程与循环依赖问题分析
- Spring IoC 源码系列(五)getBean 流程分析
BeanDefinition 初始化与注册

IoC 启动流程

Bean 实例化流程

图片来源:Spring bean的生命流程 by 田小波
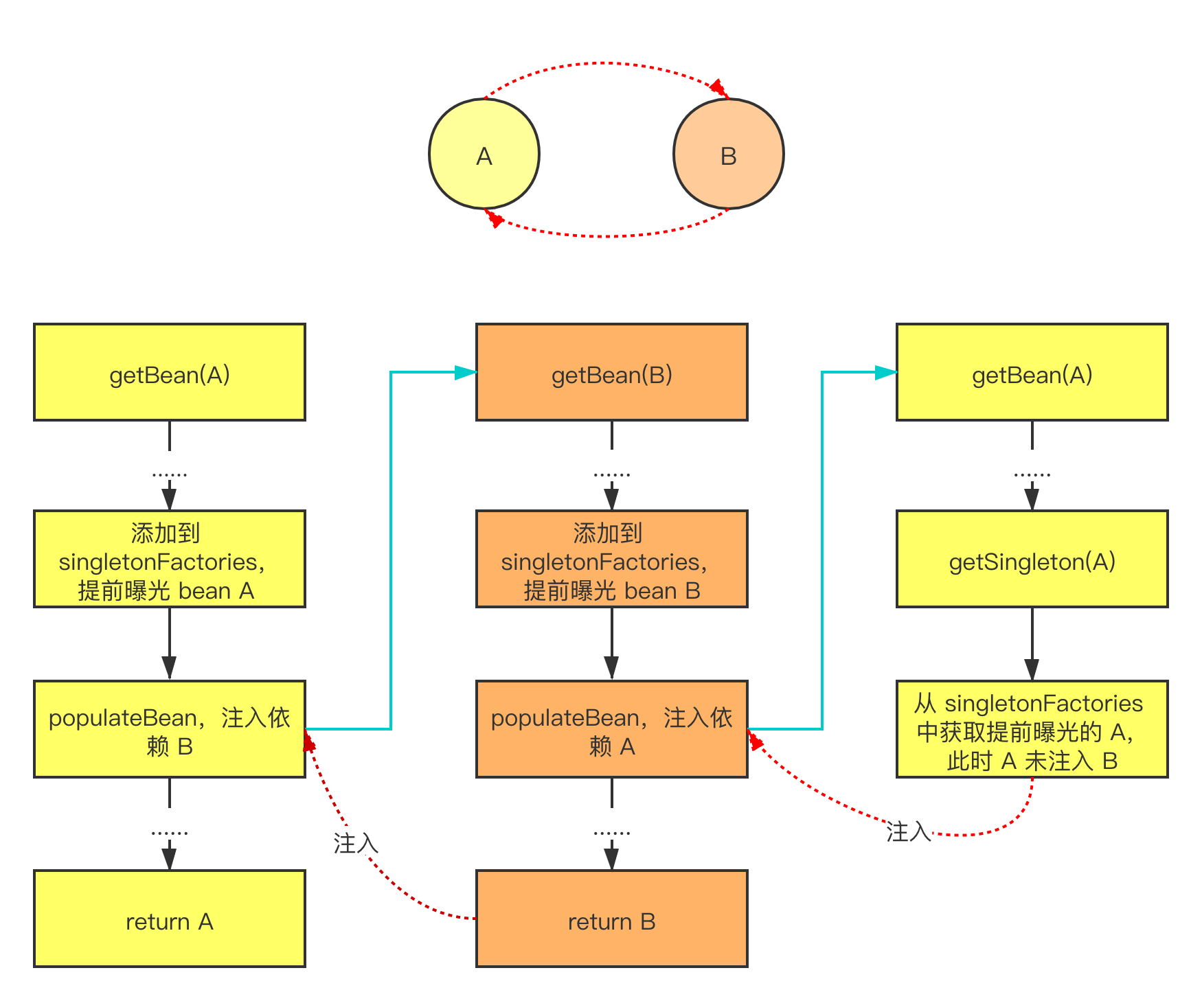
循环依赖

getBean 流程分析

图片参考:Spring IOC 容器源码分析 - 获取单例 bean by 田小波
本文深入探讨了Spring框架的IoC容器工作原理,包括BeanDefinition的初始化与注册,IoC容器启动流程,bean的创建流程及循环依赖问题,以及getBean流程的详细分析。通过源码级的解读,帮助读者理解Spring IoC容器的核心机制。

被折叠的 条评论
为什么被折叠?



