介绍
收集实验数据后要做的基本事情之一就是消除不需要的噪音。有很多方法可用于此目的,最常见的是使用频率分析的低或高通滤波器或基于直接数据卷积的窗口滤波器。这个故事的目的是描述另一种平滑任何类型数据的方法,称为分段线性回归(PLR)。
该方法不是像正常回归中那样拟合单个复杂的多项式函数,而是将数据划分为有限数量的等距段,在预定位置处带有断点或结,然后在每个段中拟合函数。该方法的结果示例如下所示,其中蓝点表示原始数据或衰减信号,红线表示 PLR,虚线表示断点的位置。

方法
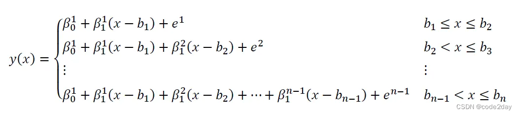
本段描述了 PLR 方法的数学推导,该方法可用于在 Matlab 等中实现。对于该数据集,我假设每个段内都存在线性关系,从而产生以下分段线性函数:

如果我们强制分段线性函数需要在整个域上连续,我们最终会得到

这可以以矩阵形式扩展为
Matlab实现:分段线性回归去除数据噪声
本文介绍了在Matlab中使用分段线性回归(PLR)方法来平滑实验数据并消除噪声。PLR将数据分为多个等距段,并在每个段内拟合线性函数,确保函数在整个域上的连续性。通过最小二乘法求解最佳拟合参数,从而实现数据的平滑处理。
订阅专栏 解锁全文
1124

被折叠的 条评论
为什么被折叠?



