《Joint Caching and Transmission in the Mobile Edge Network: An Multi-Agent Learning Approach》阅读笔记
Question
现存的大部分研究都是聚焦缓存或者传输的,没有联合优化,本文提出方法解决数据缓存和传输联合优化问题
Contributions
- 建模一个多智能体学习的方法去解决边缘物联网中缓存和传输联合优化问题
- 该方法包括缓存优化和传输优化,目的是最小化传输时延。
- MADDPG(multi-agent deep deterministic policy gradient)被用于缓存优化,将不流行的数据剔除,更换流行的数据。
- MABLA(multi-agent Bayesian learning automaton)被用于传输优化,在单点传输和多点传输之间学习更加合适的策略。
- 与传统的缓存策略和传输策略对比,证明方法的有效性。
System model
- MEC网络:包含一个云中心c和E个边缘服务器
- 用户:有U个用户,用户位置被建模为独立泊松点过程(independent poisson point process),用户请求文件的分布被建模为齐夫分布(Zipf)
- 文件:有F种文件,每个文件的大小为sf
- 边缘服务器的存储能力:最多存储F1个文件,F1 < F(意味着有可能在存储满后发生替换),存储空间C = F1 * sf
- 迭代次数:T,每轮迭代包含MARL的N1t步和MABLA的N2t步两部分。
- 假定用户每一步都请求一个文件。
- 信道增益:
,g是高斯随机变量,d是距离,路径损耗因子为 α \alpha α。
Cache Model
缓存决策变量x定义为:1表示服务器e缓存了文件f

Communication Model
在MEC网络中,MEC的密集部署导致一些user被多个MEC服务器所服务,用户为提高QoS会采取混合传输策略(单传或多传)。
用户可达变量y定义为:1表示用户u能够访问到服务器e

请求变量z定义为:
zu,f = {0, 1},1表示用户请求了文件f
单点传输:
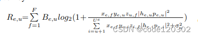
当用户u需要请求文件时,向覆盖自己的边缘服务器e请求文件,如果能够请求到,那么从服务器e到用户u的可达下行链路数据率为:

多点传输:
当用户u需要请求文件时,多个

文章探讨了移动边缘网络中,通过多智能体学习方法对数据缓存和传输进行联合优化的问题,使用MADDPG优化缓存策略,MABLA优化传输策略,旨在最小化传输时延。与传统方法相比,实验证明了这种方法的有效性。
最低0.47元/天 解锁文章

被折叠的 条评论
为什么被折叠?



