多层、双向RNN、GCN图示理解
最新推荐文章于 2025-10-09 10:22:16 发布
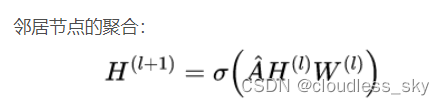
博客主要围绕信息技术领域的多层RNN、双向RNN及GCN展开。介绍了多层RNN,给出双向RNN相关内容及代码,还提及了GCN,为相关技术学习提供了一定参考。
博客主要围绕信息技术领域的多层RNN、双向RNN及GCN展开。介绍了多层RNN,给出双向RNN相关内容及代码,还提及了GCN,为相关技术学习提供了一定参考。
2万+
1525
1338
776
9793

被折叠的 条评论
为什么被折叠?