边缘分布(Marginal Distribution)和条件分布(Conditional Distribution)是概率论和统计学中两个重要的概念。
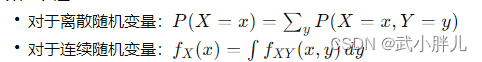
边缘分布(Marginal Distribution): 边缘分布是指在多维随机变量的联合分布中,对其中某一个或某几个变量的分布。具体而言,如果有一个二维随机变量 (X, Y) 的联合分布,那么X的边缘分布就是在所有可能的Y值上对联合分布进行求和或积分,得到X的分布。同理,Y的边缘分布是在所有可能的X值上对联合分布进行求和或积分,得到Y的分布。
数学表达:

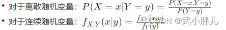
条件分布(Conditional Distribution): 条件分布是在给定另一随机变量或一组随机变量的条件下,某个随机变量的分布。在条件分布中,我们关心的是在某种条件下的随机变量的行为。
数学表达:

在这些公式中,P(X=x,Y=y) 表示X和Y同时取特定值的联合概率(离散情况下),fXY(x,y) 表示X和Y的联合概率密度函数(连续情况下),而 P(Y=y) 或 fY(y) 表示边缘分布。
总的来说,边缘分布关注单个变量的分布,而条件分布关注在给定其他变量的条件下某个特定变量的分布
本文介绍了概率论和统计学中的边缘分布和条件分布,边缘分布关注单个变量的独立分布,通过求和或积分获得;条件分布则关注在已知其他变量的情况下,某个变量的概率分布。
2万+

被折叠的 条评论
为什么被折叠?



