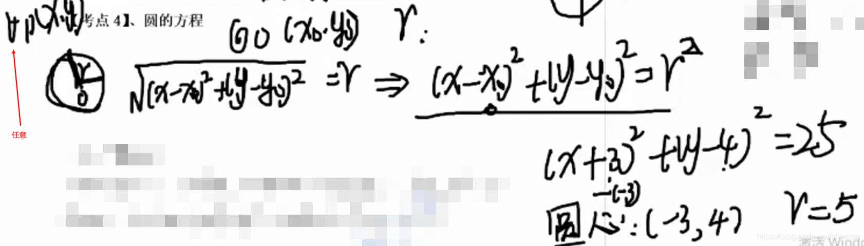
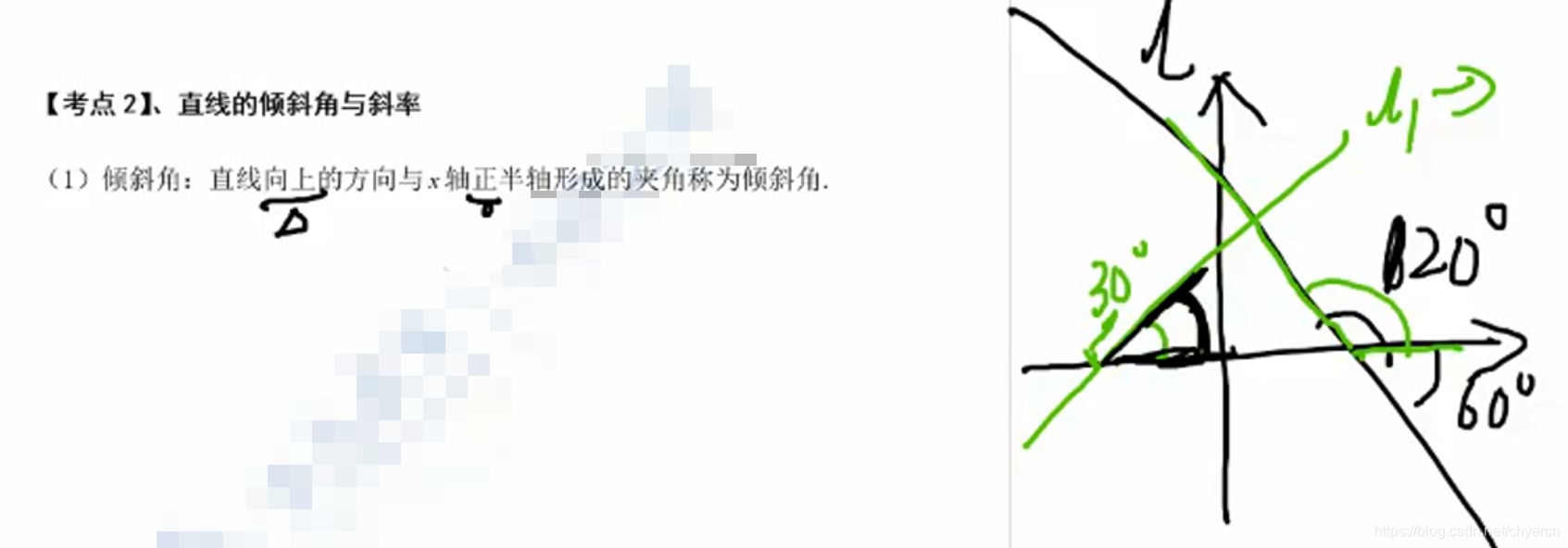
考研数学-基础阶段几何串讲2主讲人:王淳 -2020年06月26日

博客介绍了一些公式的应用,包括用于判断两圆位置关系、计算对称以及直线方程,还提及垂直公式用于计算对称。

这个公式通常用来判断两圆的位置关系。

这个公式通常用来计算对称。

这个公式通常用于直线方程。

垂直公式通常用于计算对称。

A

 

评论
成就一亿技术人!
拼手气红包6.0元
还能输入1000个字符
 
红包 添加红包
表情包 插入表情
 条评论被折叠 查看
添加红包

请填写红包祝福语或标题

红包个数最小为10个

红包金额最低5元

当前余额3.43前往充值 >
需支付:10.00
成就一亿技术人!
领取后你会自动成为博主和红包主的粉丝 规则
hope_wisdom
发出的红包
实付
使用余额支付
点击重新获取
扫码支付
钱包余额 0

抵扣说明:

1.余额是钱包充值的虚拟货币,按照1:1的比例进行支付金额的抵扣。
2.余额无法直接购买下载,可以购买VIP、付费专栏及课程。

余额充值