heap概述
heap并不归属于STL容器组件,它是幕后英雄,扮演了priority queue的助手;
priority queue允许用户以任意顺序将元素推入容器内,但是取出时,是按优先级最高的元素开始取。针对priority queue要求的特性,最直观的做法,有两种:
1:插入后,保持底层queue的排序状态,此时插入的时间复杂度是O(n);取数据可在常数时间内将元素取出
2:插入还是放在容器的末尾,插入的时间复杂度尾O(1);取数据时,需要遍历数组,而后取出最大的那个元素;时间复杂度为O(n);
此外为了能够获取O(logN)时间复杂度性能的插入和获取性能,可能会想到用二分查找树的方式(红黑树);事实上如果采用红黑树的做法,也能实现该功能,只是再实现复杂度和存储容量上都会有一定程度上的提升;本文采用了binary heap的方式进行实现;
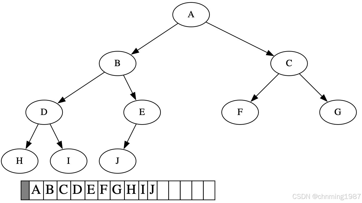
所谓binary heap就是一种complete binary tree(完全二叉树),也就是整颗binary tree除了最底层的叶子节点之外,是填满的,且最底层的叶子节点由左至右不得存在空隙。如下图所示

因为完全二叉树节点紧凑的特性;我们可以采用array来存储所有节点;其中i标识父节点的索引,则其左右子几点的索引分别为2*i 及2*i+1;如此一颗完全二叉树可以通过array进行表示,同时我们称这种表示法为隐式表述法(implicit representation)。
如此分析之后,我们需要的工具,可以采用一个array和一组heap算法(用于插入元素、删除元素、取极值,将某一整组数据排列成一个heap)。array的缺点是无法动态改变大小,而heap却需要这项功能,因此,以vector代替array。
根据元素排列方式,heap可分为max-heap和min-heap两种,前者每个节点的键值(key)都大于或等于其子节点键值,后者的每个节点键值(key)都小于或等于其子节点键值。因此,max-heap的最大值在根节点,并总是位于底层array或vector的起始处(front);min-heap
的最小值在根节点,亦总是位于底层array或vector的起始处(front)。STL提供的max-heap,以下描述的算法都是指max-heap。
heap 算法
push_heap算法
push_heap,将元素加入heap中
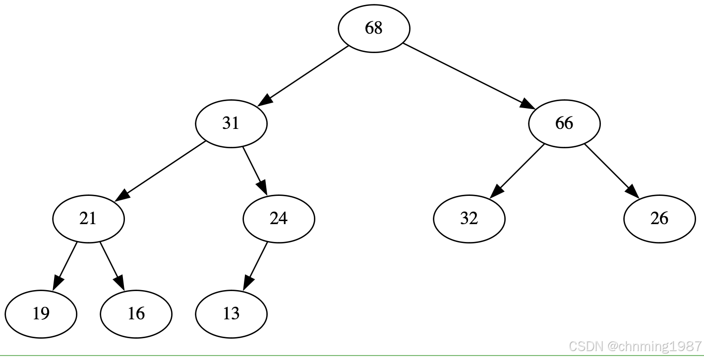
heap初始状态如下:

此时需要将新的节点加入heap中,假设加入新的节点的key为50.
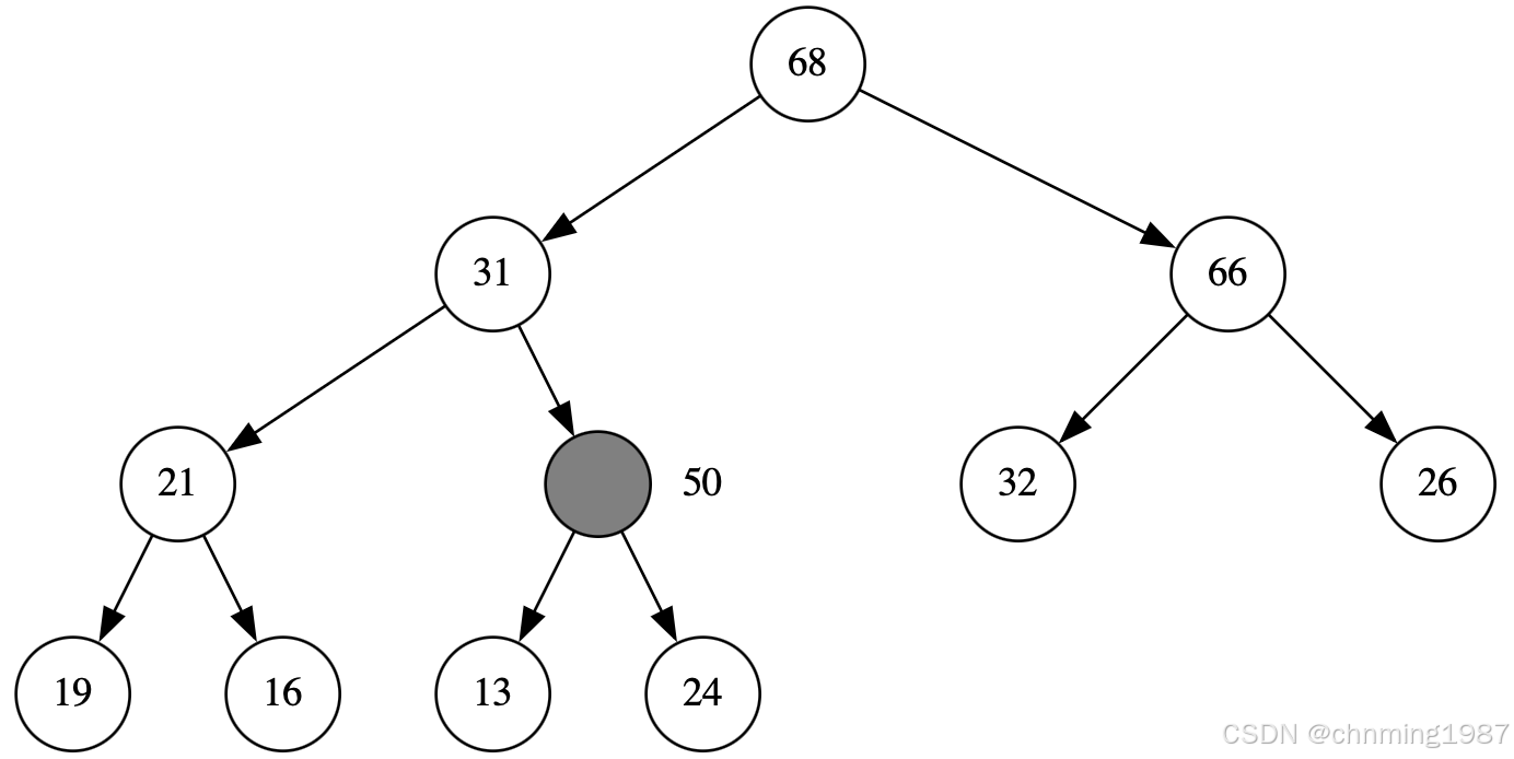
此时待加入的节点位于heap的末尾,亦即tree最底层叶子节点的最右端

加入节点后,这颗树已不再满足max-heap的特性;通过percolate up(上溯)程序:将新节点拿来与其父节点比较,如果其键值(key)比父节点大,就父子节点进行交换(实际实现算法只是把父节点进行了下移),如此一直上溯,直到不需要交换或直到根节点为止。执行过程如下:
1:当前节点key50比父节点key24来得大,所以交换当前父子节点;

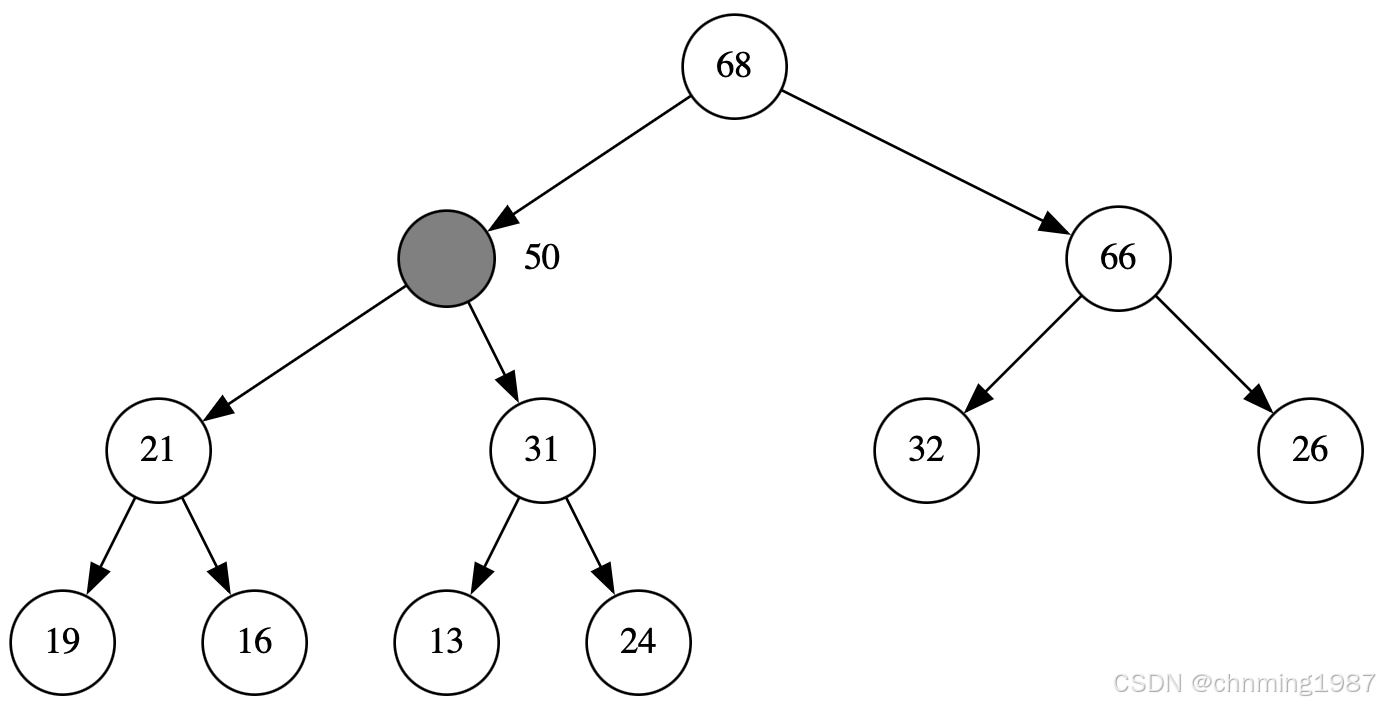
交换完成后,当前节点为值依然为50,但是其索引已经发生了改变,为原节点父节点的索引。而后继续进行上溯,上溯完后为:

此时因为31比50来得小,所有有执行了一次上溯;而后继续进行上溯,发现父节点的key为68,大于当前节点的key50,所以上溯结束;将50填入当前节点;最终max-heap形如:

下面便是push_heap算法的实现细节。该函数接受两个迭代器,又来表现一个heap底部容器(vector)的头和尾,并且新元素已经插入到底部容器的最尾端(end()-1)。其代码如下:
template<class RandomAccessIterator>
inline void push_head(RandomAccessIterator first, RandomAccessIterator last) {
__push_head_aux(first, last, distance_type(first), value_type(first));
}
template<class RandomAccessIterator, class Distance, class T>
inline void __push_head_aux(RandomAccessIterator first, RandomAccessIterator last, Distance*, T*) {
__push_heap(first, Distance((last-first) - 1), Distance(0), T(*(last-1));
}
template <class RandomAccessIterator, class Distance, class T>
void __push_heap(RandomAccessIterator first, Distance holeIndex, Distance topIndex, T value) {
Distance parent = (holeIndex -1) / 2;
while (holeIndex > topIndex && *(first + parent) < value) {
*(first + holeIndex) = *(first + parent);
holeIndex = parent;
}
*(first+holeIndex) = value;
}
从实现算法的代码可以看出,前文提到的交换,实际上未进行真正的交换,而只是进行了父节点的下移,需要上溯的节点始终保存的value中,只是最后一步再进行了赋值操作;(这么做的好处是,可以减少一次每次“交换”的赋值操作,因为逻辑上的效果和交换是一样的)。
pop_heap算法
有对堆的插入操作,需要有配套的从堆中,pop优先级最高的元素的操作;操作函数名为pop_heap;既然是max-heap那么最大元素必然在根节点。pop取走根节点后,剩余元素将不在满足heap的特性,所以需要一系列操作进行修正;其修正过程如下:
1:将起始节点和尾部节点进行交换(交换完之后,尾部节点即为需要pop的节点,算法执行完后,可以调用vector的back()函数返回最大的key)
2:对于替换过来的尾部节点从top沿着tree往下进行下溯(percolate down):将空间节点和其较大子节点进行“对调”(将子节点中的较大者放入当前空间,然后指针朝刚刚被调换的子树方向移动),直到叶子节点为止,将之前的尾部节点填入“空洞节点”;而后再执行一遍上溯(percolate up)程序;即完成了pop_heap操作;实例如下:
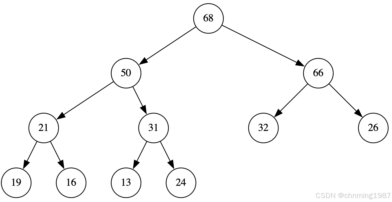
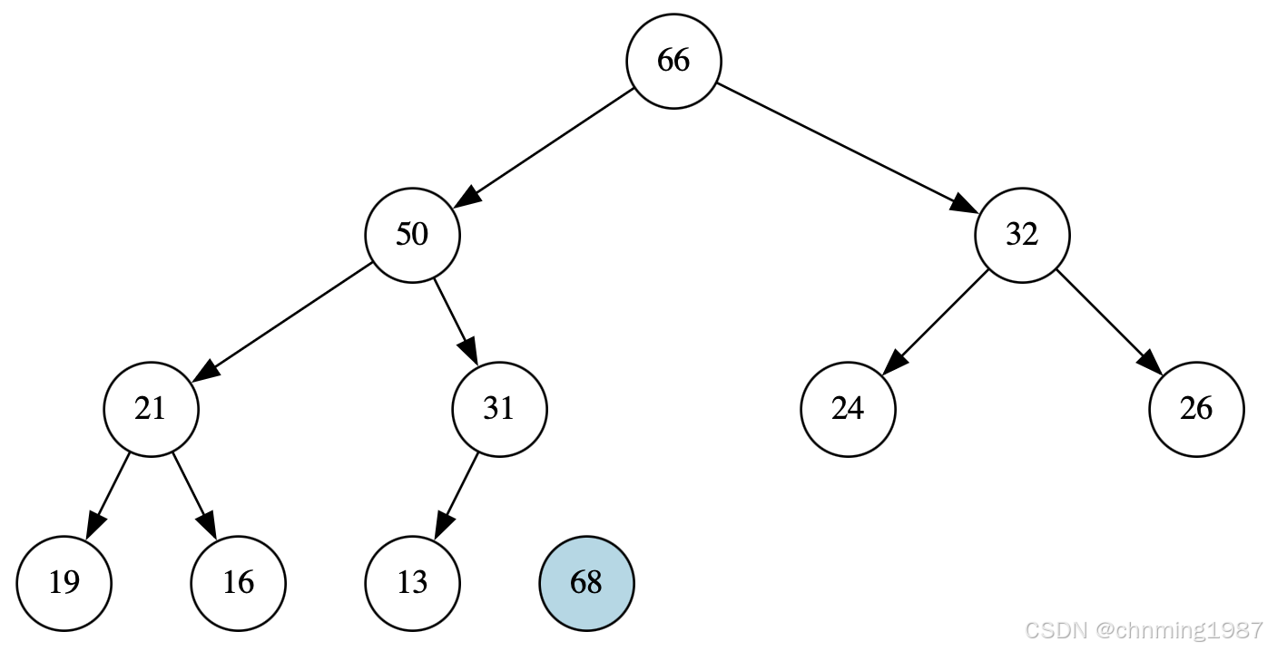
初始状态为

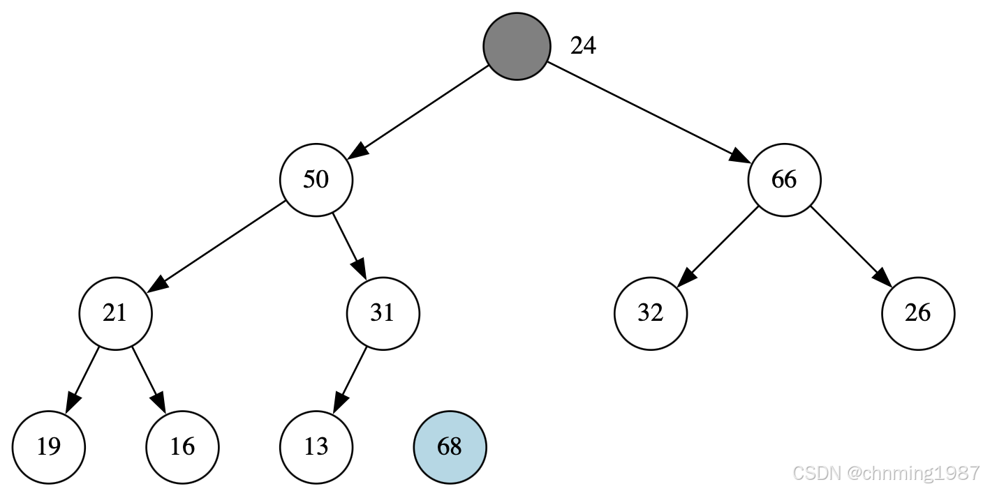
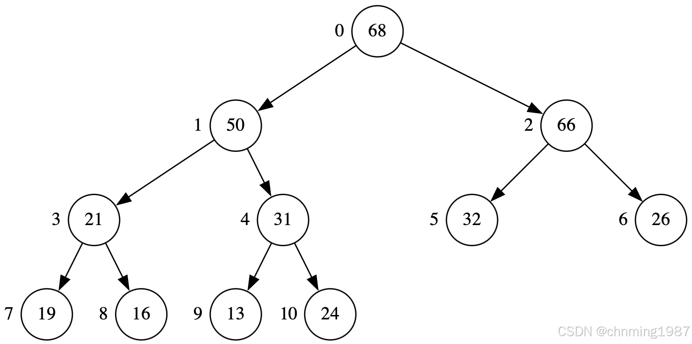
此时将,68节点放入最后节点,起始节点变成了空洞节点;而后24成为了待插入节点

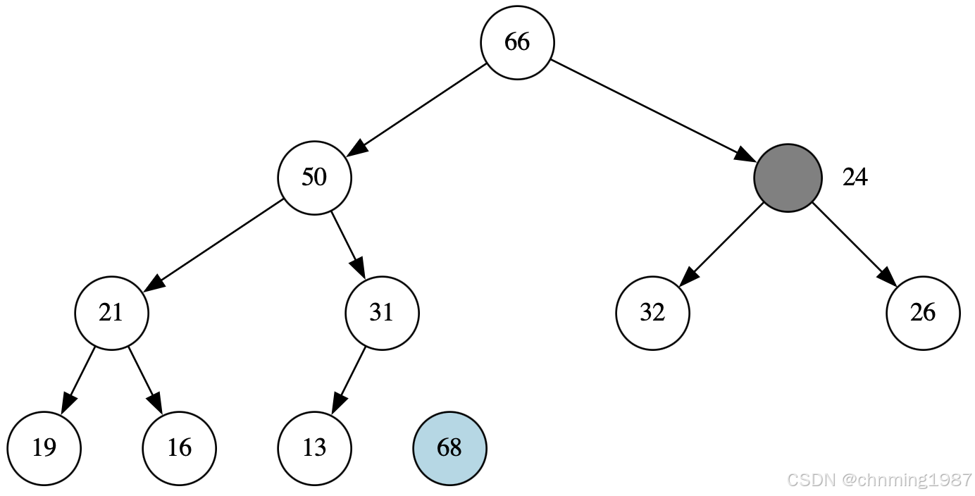
此时的holeIndex为0,而后判断两个子节点分别为66和50,取66进行交换:

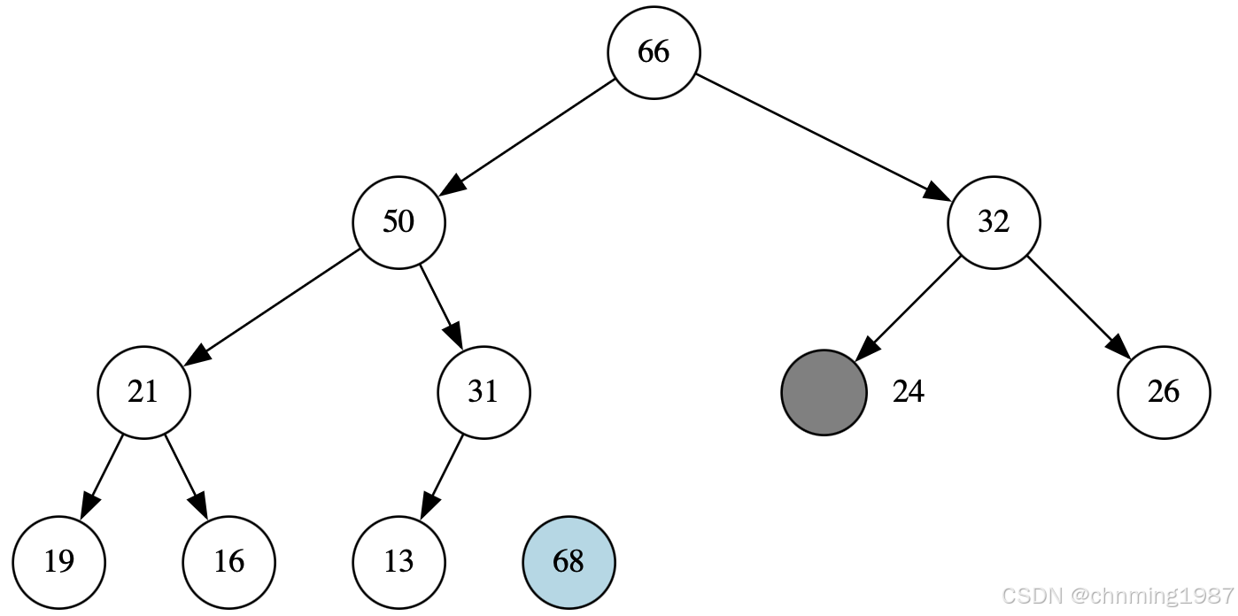
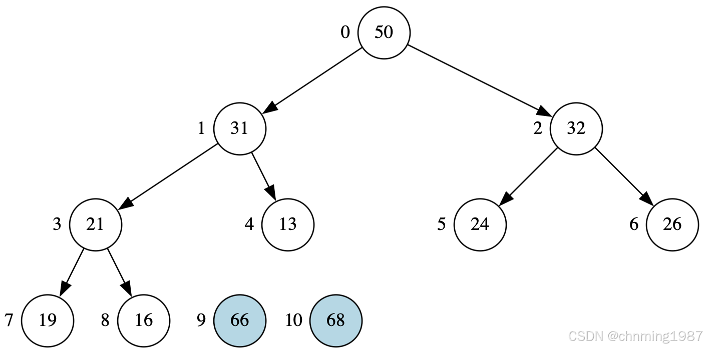
继续选择32作为交换节点:

执行完以上步骤后,已经到达了叶子节点,然后针对24节点进行上溯操作;
因为24比32来得小,所以上溯执行到第一步就结束了。结果如下

此时68节点存放在底层容器的最尾端,可通过c.back()获取key值最大的元素;同时剩余节点满足heap的特性;其代码如下:
template<class RandomAccessIterator>
inline void pop_heap(RandomAccessIterator first, RandomAccessIterator last) {
__pop_heap_aux(first, last, value_type(first));
}
template<class RandomAccessIterator, class T>
inline void __pop_heap_aux(RandomAccessIterator first, RandomAccessIterator last, T*) {
__pop_heap(first, last-1, last-1, T(*(last-1)), distance_type(first));
}
template<class RandomAccessIterator, class Distance, class T>
inline void __pop_heap(RandomAccessIterator first, RandomAccessIterator last, RandomAccessIterator result, T value, Distance*) {
*result = *first;
__adjust_heap(first, Distance(0), Distance(last-first), value);
}
template<class RandomAccessIterator, class Distance, class T>
void __adjust_heap(RandomAccessIterator first, Distance holeIndex, Distance len, T value) {
Distance topIndex = holeIndex;
Distance secondChild = 2*holeIndex + 2;
while (secondChild < len) {
if (*(first + secondChild) < *(first+secondChild - 1))
secondChild --;
*(first + holdIndex) = *(first + secondIndex);
holdIndex = secondIndex;
secondChild = 2*holeIndex + 2
}
if (secondChild == len) {
*(first + holdIndex) = *(first + secondIndex - 1);
holdIndex = secondIndex - 1;
}
__push_heap(first, holeIndex, topIndex, value);
}
sort_heap算法
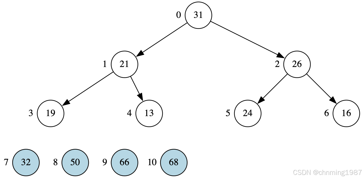
基于之前pop_heap算法每次都能获取容器当中的最大元素;如果持续对heap进行pop_heap操作,每次将操作范围向前缩减一个元素,当整个程序执行完毕后,我们即可得到一个递增序列;操作过程如下所示:(为了便于展示,在节点的左侧加上了节点的索引相对first的距离)

首先获取68,并调整heap后得到如下结构

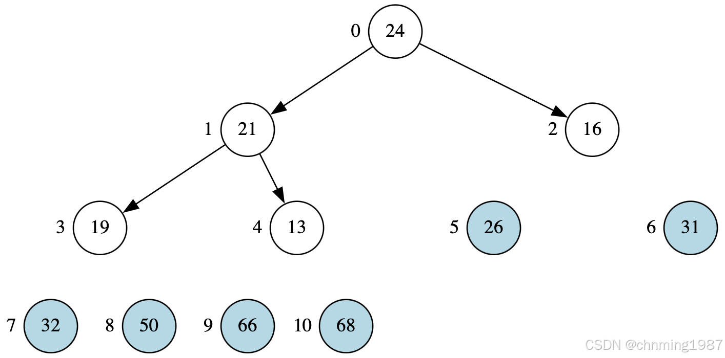
继续获取66,并调整堆

而后获取50,并调整堆

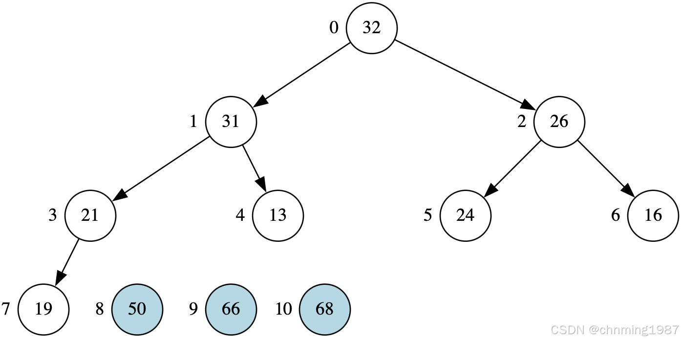
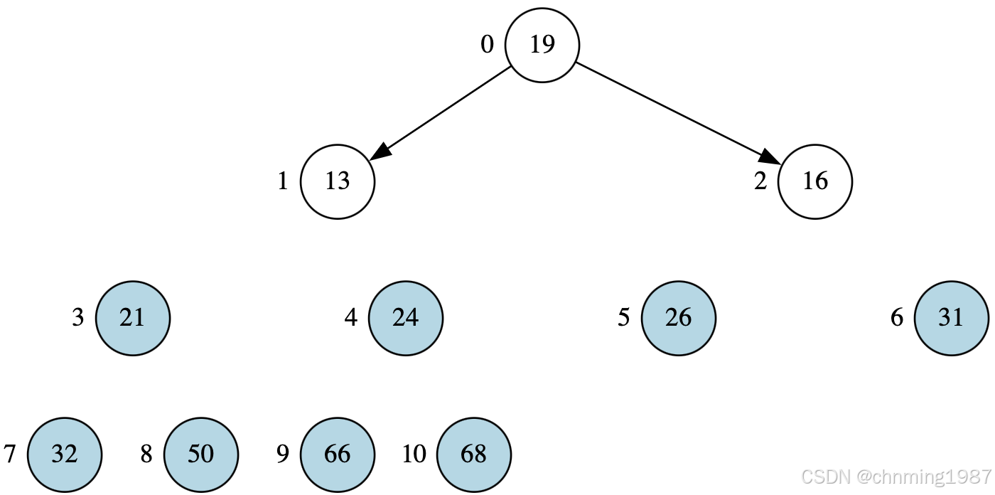
获取32,并调整堆

获取31,并调整堆

获取26,并调整堆

获取24,并调整堆

获取21,并调整堆

获取,19并调整堆

获取,16并调整堆

最终获得

图中,浅蓝色背景的节点为经过pop_heap并置为尾部的节点;
其代码如下:
template <class RandomAccessIterator>
void sort_heap(RandomAccessIterator first, RandomAccessIterator last) {
while(last - first > 1) {
pop_heap(first, last--);
}
}
make_heap算法
这个算法用来将一段现有的数据转换为一个heap,其主要依据就是heap概述提到的complete binary tree的隐式表述(implicit representation)。
template<class RandomAccessIterator>
inline void make_heap(RandomAccessIterator first RandomAccessIterator last) {
__make_heap(first, last, value_type(first), distance_type(first));
}
template <class RandomAccessIterator, class T, class Distance>
void __make_heap(RandomAccessIterator first, RandomAccessIterator last, T*, Distance *) {
if (last - first < 2 ) return ;
Distance len = last - first;
Distance parent = (len - 2) / 2;
while(true) {
__adjust_heap(first, parent, len, T(*(first + parent));
if (parent == 0) return ;
parent--;
}
}
通过make_heap并不返回一个heap对象;而是将底层存储容器的排列变成了heap;所以没有针对heap的迭代器,需要从大到小遍历元素,最终还是使用底层容器的迭代器。
参考文档《STL源码剖析--侯捷》
2575

被折叠的 条评论
为什么被折叠?



