前言
这篇是无线感知领域必看的经典论文
《WiFi Sensing with Channel State Information:》 A Survey. ACM Comput. Surv. 52, 3
William 之前的SignFi 论文也是非常经典,里面实验细节是见过做的最好的之一。
随着无线数据流量的高需求增长,WiFi网络因其提供高吞吐量和易于部署的特性而迅速发展。最近,WiFi网络测量的信道状态信息(CSI)被广泛用于不同的感知目的。为了更深入地了解现有的WiFi感知技术以及未来的WiFi感知趋势,本调查全面回顾了基于CSI的WiFi感知的信号处理技术、算法、应用和性能结果。不同的WiFi感知算法和信号处理技术各有优缺点,适用于不同的WiFi感知应用
根据输出: 二分类,多分类,数值
本调查将基于CSI的WiFi感知应用分为三类:检测、识别 和 估计。
随着新WiFi技术的发展和部署,WiFi感知将拥有更多机会,其目标可能从人类扩展到环境、动物和物体。本调查强调了WiFi感知面临的三大挑战:鲁棒性和泛化性、隐私和安全以及WiFi感知与网络的共存。最后,本调查提出了三个未来的WiFi感知趋势,即整合跨层网络信息、多设备合作和不同传感器的融合,以增强现有的WiFi感知能力并开启新的WiFi感知机会。
目录:
- 简介
- 相关工作
- 信号处理(
- Python 实现Signal Transform
- 感知算法
- 感知应用
- 挑战和感知趋势
- 结论
一 简介

随着无线设备的日益普及,WiFi迎来了迅猛发展。WiFi成功的一项关键技术是多输入多输出(MIMO),该技术提供高吞吐量,以满足无线数据流量不断增长的需求。MIMO与正交频分复用(OFDM)相结合,在每个载波频率上为每个发射和接收天线对提供信道状态信息(CSI)。最近,来自WiFi系统的CSI测量被用于不同的感知目的。WiFi感知复用无线通信所用的基础设施,因此易于部署且成本低廉。此外,与基于传感器和基于视频的解决方案不同,WiFi感知不具有侵入性,并且对光照条件不敏感。
信道状态信息(CSI)表示在特定载波频率上,无线信号从发射器沿多条路径传播到接收器的过程。对于采用多输入多输出正交频分复用(MIMO-OFDM)技术的WiFi系统而言,CSI是一个由复数构成的3D矩阵,代表了多径WiFi信道的幅度衰减和相位偏移。
一系列CSI测量值捕捉了无线信号在时间、频率和空间域内穿越周围物体和人体的过程,因此可用于不同的无线感知应用。例如,时域中的CSI幅度变化对于不同人类、活动、手势等具有不同的模式,这些模式可用于


1 人类出现侦测
| 人类出现侦测 |
| See ThroughWalls with WiFi |
| An Adaptive Wireless Passive Human Detection via Fine-Grained Physical Layer Information |
| Channel State Information Based Human Presence Detection Using Non-linear Techniques. |
| Enabling Contactless Detection of Moving Humans with Dynamic Speeds Using CSI. |
| PADS: Passive Detection of Moving Targets with Dynamic Speed Using PHY Layer Information |
| Peripheral【pəˈrɪfərəl】 WiFi Vision: ExploitingMultipath Reflections for More Sensitive Human Sensing |
| Non-Invasive Detection of Moving and Stationary Human With WiFi. |
| Device-free WiFi Human Sensing: From Pattern-based to Model-based Approaches |
| Invisible Cloak Fails: CSI-based Passive Human Detection |
| Device-free Presence Detection and Localization With SVM and CSI Fingerprinting |
| Omnidirectional Coverage for Device-free Passive Human Detection |
| Robust Device-free Through-The- Wall Detection of Moving Human With WiFi |
2 跌倒检测
| 跌倒检测 |
| WiFall: Device-free Fall Detection by Wireless Networks. |
| FallDeFi: Ubiquitous Fall Detection Using Commodity Wi-Fi Devices. |
| RT-Fall: A Real-Time and Contactless Fall Detection System with Commodity WiFi Devices |
| A Statistical Electromagnetic Approach for Device-Free Indoor Speed Estimation. |
| A Non-intrusive and Real-Time Fall Detector Leveraging CSI from Commodity WiFi Devices |
3 运动检测
| 运动检测 |
| WiFi-based Real-Time Calibration-Free Passive Human Motion Detection. |
| MoSense: An RF-based Motion Detection System via Off-the-Shelf WiFi Devices |
| AR-Alarm: An Adaptive and Robust Intrusion Detection System Leveraging CSI from Commodity Wi-Fi. |
| A Research on CSI-based Human Motion Detection in Complex Scenarios |
| WiStep: Device-free Step Counting with WiFi Signals. |
4 活动识别
| 活动识别 |
| A WiFi based Human Activity Recognition System for Sensorless Environments |
| WIBECAM: Device Free Human Activity Recognition Through WiFi Beacon-Enabled Camera. |
| WiDriver: Driver Activity Recognition System Based on WiFi CSI. |
| BodyScan: Enabling Radio-based Sensing on Wearable Devices for Contactless Activity and Vital Sign Monitoring |
| HeadScan: A Wearable System for Radio-based Sensing of Head and Mouth-Related Activities |
| MAIS: Multiple Activity Identification System Using Channel State Information of WiFi Signals. |
| HuAc: Human Activity Recognition Using Crowdsourced WiFi Signals and Skeleton Data |
| Walking Parameters Estimation through Channel State Information Preliminary Results. |
| Device-free Wireless Sensing in Complex Scenarios Using Spatial Structural Information. |
| Understanding and Modeling of WiFi Signal Based Human Activity Recognition. |
| Device-free Human Activity Recognition Using Commercial WiFi Devices. |
| Robust Indoor Human Activity Recognition Using Wireless Signals |
| E-eyes: Device-free Locationoriented Activity Identification Using Fine-grained WiFi Signatures. |
| Radio-based Device-free Activity Recognition with Radio Frequency Interference |
| Non-Invasive Detection of Moving and Stationary Human With WiFi |
| A System for Exercise Activity Recognition and Quality Evaluation Based on Green Sensing. |
| Analyzing Shopper’s Behavior Through WiFi Signals. In Proceedings of the 2Nd Workshop on Workshop on Physical Analytics |
5 手势识别
| 手势识别 |
| A Ubiquitous WiFi-based Gesture Recognition System. |
| See ThroughWalls with WiFi |
| 2015. Keystroke Recognition Using WiFi Signals Mobicom |
| Recognizing Keystrokes Using WiFi Devices IEEE Journal on |
| WiG: WiFi-based Gesture Recognition System |
| ClickLeak: Keystroke Leaks Through Multimodal Sensors in Cyber-Physical Social Networks. |
| WiFinger: Talk to Your Smart Devices with Finger-grained Gesture. |
| When CSI Meets Public WiFi: Inferring Your Mobile Phone Password via WiFi Signals |
| SignFi: Sign Language Recognition Using WiFi. |
| Leveraging Directional Antenna Capabilities for Fine-grained Gesture Recognition. |
| Whole-home Gesture Recognition Using Wireless Signals. |
| 2017. Widar: Decimeter-Level Passive Tracking via Velocity Monitoring with Commodity Wi-Fi. |
| Inferring Motion Direction Using Commodity Wi-Fi for Interactive Exergames. |
| A Robust Sign Language Recognition System with Multiple Wi-Fi Devices. |
| WiFinger: Leveraging Commodity WiFi for Fine-grained Finger Gesture Recognition. |
| Position and Orientation Agnostic Gesture Recognition Using WiFi. |
| A HCI Motion Recognition System Based on Channel State Information with Fine Granularity |
| Your AP Knows How You Move: Fine grained Device Motion Recognition Through WiFi |
| Mudra: User-friendly Fine-grained Gesture Recognition Using WiFi Signals. |
| A Device-free Number Gesture Recognition Approach Based on Deep Learning |
6 人体识别/验证
| 人体识别/验证 |
| Rapid: A Multimodal and Device-free Approach Using Noise Estimation for Robust Person Identification |
| How Can I Guard My AP?: Non-intrusive User Identification for Mobile Devices Using WiFi Signals. |
| WFID: Passive Device-free Human Identification Using WiFi Signal. |
| Authenticating Users Through Fine-Grained Channel Information |
| Smart User Authentication Through Actuation of Daily Activities Leveraging WiFi-enabled IoT. |
| Privacy-Preserving Location Authentication in Wi-Fi Networks Using Fine-Grained Physical Layer Signatures |
| Gait Recognition Using WiFi Signals. |
| Instant and Robust Authentication and Key Agreement Among Mobile Devices. |
| FreeSense: Indoor Human Identification with WiFi Signals. |
| WiWho: WiFi-based Person Identification in Smart Spaces. |
| Human Identification Using WiFi Signal. |
在空间域和频率域(即发射/接收天线和载波频率)中的CSI相位偏移与信号的传输延迟和方向有关,这些可用于人体定位和跟踪
| 人体定位和跟踪 |
| Mobile Location Tracking in Metro Areas: Malnets and Others |
| WiDeo: Fine-grained Device-free Motion Tracing Using RF Backscatter. |
| Modeling Users’ Mobility Among WiFi Access Points. |
| IndoTrack: Device-free Indoor Human Tracking with Commodity Wi-Fi |
| Walking Parameters Estimation through Channel State Information Preliminary Results |
| MobileRF: A Robust Device-free Tracking System Based on a Hybrid Neural Network HMM Classifier |
| Widar: Decimeter-Level Passive Tracking via Velocity Monitoring with Commodity Wi-Fi |
| Decimeter Level Passive Tracking with WiFi |
| WiDraw: Enabling Hands-free Drawing in the Air on Commodity WiFi Devices |
| Position and Orientation Agnostic Gesture Recognition Using WiFi. |
| LiFS: Low Human-effort, Device-free Localization with Fine-grained Subcarrier Information |
| Gait Recognition Using WiFi Signals. |
| mTrack: High-Precision Passive Tracking Using Millimeter Wave Radios. |
| WiDir: Walking Direction Estimation Using Wireless Signals. |
| QGesture: Quantifying Gesture Distance and Direction with WiFi Signals. |
| WiStep: Device-free Step Counting with WiFi Signals |
| Toward Centimeter-Scale Human Activity Sensing with Wi-Fi Signals |
| WiSpeed: A Statistical Electromagnetic Approach for Device-Free Indoor Speed Estimation |
| Device-free Presence Detection and Localization With SVM and CSI Fingerprinting. |
时域中的CSI相位偏移可能具有不同的主导频率成分,这些成分可用于估计呼吸速率
| 估计呼吸速率 |
| UbiBreathe: A Ubiquitous non-Invasive WiFi-based Breathing Estimator. |
| Contactless Respiration Monitoring Via Off-the-Shelf WiFi Devices. |
| When CanWe Detect Human Respiration with Commodity WiFi Devices?. |
| TinySense: Multi-User Respiration Detection Using Wi-Fi CSI Signals. |
| TensorBeat: Tensor Decomposition for Monitoring Multi-Person Breathing Beats with Commodity WiFi. |
| From FresnelDiffraction Model to Fine-grained Human Respiration Sensing with Commodity Wi-Fi Devices. |
不同的WiFi感知应用对信号处理技术和分类/估计算法有着特定的要求。为了更好地理解现有的WiFi感知技术并获得对未来WiFi感知方向的见解,本调查综述了基于CSI的WiFi感知的信号处理技术、算法、应用、性能结果、挑战和未来趋势。
调查概览如图1所示。
第2.1节介绍了信道状态信息(CSI)的背景,包括 数学模型、测量流程、现实WiFi模型、基本处理原理以及实验平台。
第3节展示了原始CSI测量数据被输入到信号处理模块,进行降噪、信号变换和/或信号提取的过程。
第4节展示了预处理后的CSI轨迹被输入到基于模型、基于学习或混合算法中,以获得不同WiFi感知目的的输出。
根据输出类型,WiFi感知可分为三类:
1 检测/识别应用试图解决二分类/多分类问题,而估计应用则试图获取不同任务的数量值。
第5节总结并比较了不同WiFi感知应用的信号处理技术、算法、输出类型以及性能结果。
随着新WiFi系统的开发和部署,将会有更多的WiFi感知机会。第6节给出了提升现有WiFi感知能力和实现新WiFi感知目的的未来趋势和挑战。综上所述,我们做出了以下贡献:
1 我们对三类(检测、识别和估计)WiFi感知的信号处理技术和算法进行了全面综述,包括基本原理、性能/成本比较以及最佳实践指南。
2 我们提出了未来趋势,包括跨层网络堆栈、多设备合作和多传感器融合,旨在提高现有WiFi感知应用的性能和效率,并创造新的WiFi感知机会。
二 背景以及相关工作
2.1 信道状态信息(CSI)背景
信道状态信息(CSI)描述了无线信号在特定载波频率下从发射机传播到接收机的特性。CSI的幅度和相位受到多径效应的影响,包括幅度衰减和相位偏移。每个CSI条目代表信道频率响应(CFR)

其中:
: 振幅衰减因子
: 传播延迟
f: 载波频率
信道状态信息(CSI)的振幅 ∣H∣ 和相位 ∠H 会受到发射器、接收器以及周围物体和人的位移和运动的影响。
换句话说,CSI 捕获了附近环境的无线特性。这些特性在数学建模或机器学习算法的辅助下,可用于不同的传感应用。这就是CSI可以用于WiFi传感的基本原理
采用MIMO技术的WiFi信道通过OFDM被划分为多个子载波。为了测量信道状态信(CSI),WiFi发射器在数据包前导中发送长训练符号(LTF -Long Training Symbols),这些LTF包含为每个子载波预定义的符号。当LTF被接收时,WiFi接收器利用接收到的信号和原始的LTF来估计CSI矩阵。对于每个子载波,WiFi信道被建模为𝒚 = 𝐻𝒙 + 𝒏,其中𝒚是接收到的信号,𝒙是发射的信号,𝐻是CSI矩阵,𝒏是噪声向量。接收器在去除循环前缀、解调映射和OFDM解调等接收处理之后,使用预定义的信号𝒙和接收到的信号𝒚来估计CSI矩阵𝐻。估计得到的CSI是一个包含复数值的三维矩阵。
在现实的WiFi系统中,测得的信道状态信息(CSI)会受到多径信道、收发处理以及硬件/软件错误的影响。测得的baseband-to-baseband CSI是

| 噪声分类 |
| PDD packet detection delay |
| CSD: Cyclic shift Diversity |
| STO : Sampling Time Offset |
| SFO: Sampling Frequency Offset |
| Beamforming: 波束赋形 |
| PLL: PLL Phase Offset The transmitter and the receiver starts at a random initial phase after each hop,Measured channel is shifted by a difference in this offsets |
| CFO: Carrier Frequency Offset Center carrier frequencies at the transmitter and the receiver aren’t ideal and differs Measured channel is shifted by difference of these frequencies |
其中:
表示第 n 条路径上从第 i 个发射天线到第 j 个接收天线的路径长度
表示载波频率
表示第 i 个发射天线的循环移位多样性(CSDCyclic Shift Diversity)引起的时间延迟
ρ 表示采样时间偏移(STO)Sampling Time Offset
η 表示采样频率偏移(SFO)Sampling Frequency Offset
: 波束成形矩阵的振幅衰减
ζi,j : 波束成形相位偏移。
还有PDD 噪声
WiFi传感应用需要提取包含周围环境变化信息的多径信道。因此,需要采用信号处理技术来消除CSD、STO、SFO和波束成形引入的影响,这部分内容将在第3节中介绍。

一系列信道状态信息(CSI)矩阵描述了多输入多输出(MIMO)信道在不同域(即时间、频率、空间)中的变化,如图2所示。对于一个具有𝑀个发射天线、𝑁个接收天线和𝐾个子载波的MIMO-OFDM信道,CSI矩阵是一个3D矩阵𝐻 ∈,它表示多径信道的振幅衰减和相位偏移。CSI提供的信息远多于接收信号强度指示(RSSI)。这个3D CSI矩阵类似于一个具有𝑁 × 𝑀空间分辨率和𝐾个颜色通道的数字图像,因此基于CSI的WiFi传感可以重用为计算机视觉任务设计的信号处理技术和算法。4D CSI张量在时域中提供了额外信息。针对不同WiFi传感目的(如检测、识别和估计),可以在不同域中对CSI进行处理、建模和训练。
尽管自IEEE 802.11n标准起,信道状态信息(CSI)就被包含在WiFi中,但并非所有现成的WiFi网卡都会报告CSI。
802.11n CSI工具[31]是用于CSI测量的最广泛使用的工具。它利用英特尔5300 WiFi网卡通过802.11n兼容的WiFi网络报告压缩后的CSI。该工具提供了用于CSI测量和处理的C脚本和MATLAB源代码。
OpenRF[47]是一个基于802.11n CSI工具修改而来的类似工具。
Atheros CSI工具[123]使用高通Atheros WiFi网卡提供未压缩的CSI。对于20MHz的WiFi信道,Atheros CSI工具的CSI子载波数量为52个,
而802.11n CSI工具的CSI子载波数量为30个。802.11n CSI工具和Atheros CSI工具都可以在2.4GHz和5GHz频段下工作。软件定义无线电(SDR)平台,如通用软件无线电外设(USRP)[17]和无线开放接入研究平台(WARP)[79],可以在2.4GHz、5GHz和60GHz频段下提供CSI测量。
2.2 相关工作
关于特定类型的WiFi感知应用,已有一些调查研究,包括定位、手势识别]和活动识别。在[110]中,作者探讨了利用无线信号反射进行无设备人体定位的方法;该调查还讨论了无设备姿态估计和跌倒检测。Xiao等人对使用无线信号进行无设备和基于设备的室内定位进行了调查;该调查重点关注模型、基本原理和数据融合技术。Yang等人对基于信道状态信息(Channel State Information,CSI)的定位进行了调查,重点介绍了基本原理和未来趋势;该调查还强调了CSI与接收信号强度指示(Received Signal Strength Indicator,RSSI)在网络分层、时间分辨率、频率分辨率、稳定性和可访问性方面的差异。在[Device-free Activity Recognition Using CSI Big Data Analysis]中,作者对使用CSI和大数据分析进行人体运动识别和人体身份识别进行了简要回顾。四篇论文[106, 114, 129, 156]各自对基于CSI的人体行为识别进行了调查,并各有侧重:基础与应用[106]、深度学习技术[129]、数据驱动和基于模型的方法[156],以及基于模式和基于模型的方法[114]。

这项调查与现有调查的不同之处在于,其范围并未局限于任何特定类型的WiFi感知应用,如表1所示。本调查的应用范围包括但不限于:
人体检测、运动检测、活动识别、手势识别、人体追踪、呼吸估计、人数统计和睡眠监测。
| human detection |
| motion detection |
| activity recognition |
| gesture recognition |
| human tracking |
| respiration estimation |
| human counting |
| sleeping monitoring |
调查对各类WiFi感知应用的信号处理技术、算法及性能结果进行了全面总结和比较。信号处理技术被分为三类:
降噪、信号变换和信号提取。
| noise reduction |
| signal transform |
| signal extraction |
WiFi感知算法:
则分为基于模型和基于学习的算法,它们各自具有特定的优势和局限性。
| modeling-based : 物理建模 |
| learning-based algorithms: 机器学习或者深度学习 |
调查还就如何为不同的WiFi感知应用选择算法及相应的信号处理技术提供了指导。最后,调查还指出了提升现有WiFi感知能力和实现新WiFi感知机会的未来趋势与挑战。
三 感知信号处理
主要包括三部分: noise reduction, signal transform,and signal extraction
3.1.1 去除相位偏移(nosie reduction)
在现实的WiFi系统中,原始的信道状态信息(CSI)测量值由于硬件和软件错误而包含相位偏移。例如,采样时间/频率偏移(STO/SFO Sampling Time/Frequency Offsets)是由于接收器和发射器的采样时钟/频率未同步造成的。


一些检测和识别应用对相位偏移不太敏感,更重要的是获取CSI变化模式。
一个简单的解决方案是使用相邻时间样本或子载波的CSI相位差。它假设数据包和子载波之间的相位偏移是相同的,从而消除CSI相位偏移。这种方法虽然不提供准确的相位信息,但可以恢复相位变化模式,这些模式可以输入到分类算法中。(CSI商)
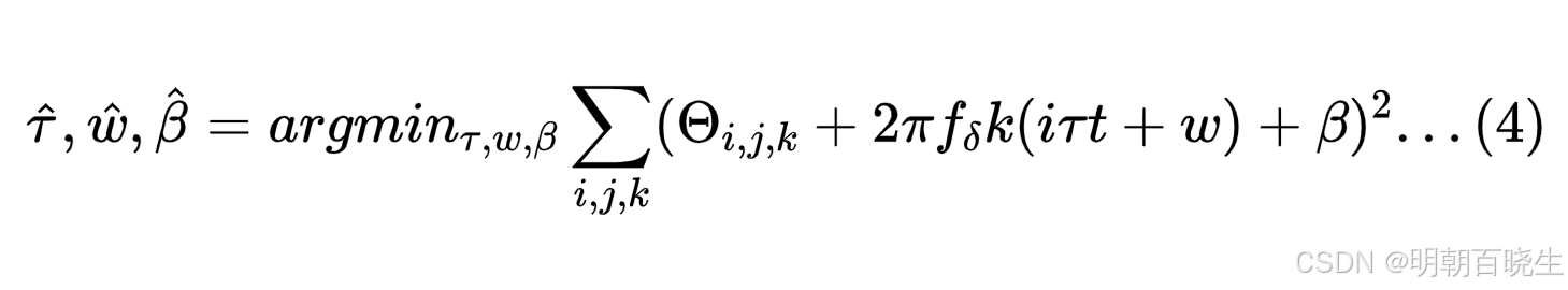
许多估计应用需要准确的相位偏移。相位偏移会为到达角(AoA)和飞行时间(ToF)的估计引入误差,而这两个参数被用于跟踪和定位人类和物体。SpotFi [46]通过线性回归来消除 STO/SFO,但它没有考虑由于信道状态差异(CSD:Cyclic Shift Diversity)导致的不同发射天线之间的不同相位偏移。SignFi [62]中提出的多元线性回归解决了这一问题。从方程(2)中

测得的CSI相位是Φ𝑖, 𝑗,𝑘,它表示由多径效应引起的CSI相位
𝜏𝑖、𝜌、𝜂和𝜁𝑖, 𝑗分别是由于CSD、STO、SFO和波束成形引起的相位偏移,
𝑓𝛿是两个连续子载波之间的频率间隔。
相位偏移是通过最小化𝐾个子载波、𝑁个发射天线和𝑀个接收天线上的拟合误差来估计的:

其中𝜂、𝜔和𝛽是曲线拟合变量[62]。如图3a所示,由于CSD,每个发射天线的未封装CSI相位具有不同的斜率。通过从测得的CSI相位Θ𝑖, 𝑗,𝑘中去除估计的相位偏移𝜏、𝜔、𝛽,得到预处理后的CSI相位ˆΦ𝑖, 𝑗,𝑘。

去除相位偏移还可以提高二分类和多类分类应用的性能。它恢复了子载波和采样时间上的CSI相位模式。原始测量的CSI相位提供了关于CSI相位如何变化的冗余信息。去除相位偏移可以解缠CSI相位并恢复丢失的信息。如图3a所示,原始CSI相位从−𝜋到𝜋周期性变化,而预处理后的CSI相位在更宽的范围内几乎呈线性变化。CSI相位随时间的变化也得到了校正。如图3b所示,第一个和第二个发射天线的原始CSI相位变化相似,但预处理后它们的模式差异很大。
3.1.2 异常值去除。
移动平均滤波和中值滤波(Moving Average and Median Filters):
去除高频噪声的简单且广泛使用的方法。每个数据点都被其邻近数据点的平均值或中值所替代。通常,使用滑动窗口和乘数因子来赋予不同的权重,例如加权移动平均(WMA -Weighted Moving Average)和指数加权移动平均(EWMA-Exponentially Weighted Moving Average)。
低通滤波器(LPF):
也可以借助信号变换方法(如快速傅里叶变换FFT)去除高频噪声。
小波滤波器(Discrete Wavelet Transform)
与低通滤波器类似,主要区别在于它使用的是离散小波变换(DWT)而非FFT。信号变换方法和频域滤波器的详细信息将在第3.2节和第3.3节中介绍。
Hampel Filter 汉佩尔滤波器
计算一个附近数据点窗口的中值𝑚𝑖和标准差𝜎𝑖。如果|𝑥𝑖 −𝑚𝑖 |/𝜎𝑖大于给定阈值,则当前点𝑥𝑖被视为异常值,并用中值𝑚𝑖替换。有时,异常值会被直接删除而不是用中值替换。
Local Outlier Factor局部异常因子(LOF)在异常检测中得到了广泛应用。
它衡量给定数据点相对于其邻近点的局部密度。局部密度是通过某点到其邻近点的可达距离来计算的。与邻近点相比局部密度显著降低的数据点被标记为异常值。信号归零是WiFi感知中去除异常值的一种特殊方法。WiFi设备可以使用硬件(例如定向天线)和软件(例如传输波束成形)以及算法来消除噪声信号。
3.2 Signal Transform
信号变换方法用于对一系列CSI(信道状态信息)测量的时间序列进行时频分析。请注意,在此范围内的信号变换输出表示CSI变化模式的频率,而不是载波频率。信号变换方法的概述如表3所示。
FFT(快速傅里叶变换)
被广泛用于寻找不同的主导频率,并且可以结合低通滤波器(LPF)来去除高频噪声。它还可以使用带通滤波器(BPF)获取特定频率下的目标信号。例如,当附近的人静止或移动时,CSI的时间序列具有不同的主导频率。FFT和BPF可用于人体运动检测和呼吸估计,如第3.3节所示。
STFT( 短时傅里叶变换):
将输入分成等长的较短段,并分别计算每个段的FFT系数,如表3所示。STFT可以通过在时间域和频率域中同时表示时间序列数据,来识别主导频率随时间的变化。 短时傅里叶变换(STFT)无法保证同时具有良好的频率分辨率和时间分辨率。较长的窗口长度可以提供良好的频率分辨率,但时间分辨率较差。虽然可以轻易识别频率分量,但无法确定频率变化的时间。另一方面,较短的窗口长度可以检测到信号变化的时间,但无法精确识别输入信号的频率。
DHT(离散哈特莱变换):
在FFT的负频率分量上增加了额外的π/2相移,如表3所示。它将实值数据的时间序列转换为解析表示,即复螺旋序列。DHT对于分析CSI测量时间序列的瞬时属性非常有用。
DWT(小波变换)
对于低频信号具有良好的频率分辨率,对于高频信号则具有良好的时间分辨率。离散小波变换(DWT)的输出可以输入到小波滤波器中,以去除噪声。DWT能够保留不同场景中的移动信息,并且比多普勒相移更加稳健。
3.3 Signal Extraction
信号提取是指从原始或预处理后的信道状态信息(CSI)测量中提取目标信号。
有时,为了去除无关或冗余的信号,需要进行阈值处理、滤波或信号压缩。在某些情况下,为了获取更多信息,需要组合多个信号源并进行数据插值。表4列出了WiFi感知中广泛使用的信号提取方法。

3.3.1 Filtering and Thresholding.

高通、低通和带通滤波器被广泛用于提取具有特定主导频率的信号。例如,成年人的平均静息呼吸频率在每分钟12到18次之间。基于WiFi的呼吸监测可以使用带通滤波器(BPF)来捕捉由吸气和呼气引起的胸部运动的影响。它还可以过滤掉由运动引起的高频分量。
用于滤波的输入信号通常来自快速傅里叶变换(FFT)、
离散哈特莱变换(DHT)或
短时傅里叶变换(STFT)。
巴特沃斯滤波器因其通带和阻带内具有单调的幅度响应,以及在截止频率附近具有快速的滚降特性而被广泛使用。
高通滤波器(HPF)可用于过滤掉来自静态物体的信号,这些物体的信号反射相对稳定。
基于WiFi的手势识别可以使用高通滤波器来提取由人体运动反射的目标信号,
如图4所示。结合离散小波变换(DWT),小波滤波器也用于去除异常值。在时域中,阈值处理可用于提取具有特定功率水平、到达角(AoA)、飞行时间(ToF)等的信号。如公式(1)所示,CSI受到多径信道中无线信号的影响。无设备人体跟踪可以通过切断具有最短飞行时间(ToF)的信号来排除直接路径的信号。不同路径的飞行时间可以通过功率延迟分布(PDP)来计算,这将在第4.1节中介绍。基于WiFi的手势识别可以使用阈值处理来排除用户未做手势时的信号。
如图5a所示,当用户做手势时,发射器TX3的接收信号强度(RSS)高于用户静止时的RSS。
如图5b所示,当用户做手势时,CSI的幅度也处于不同的范围。其他指标的阈值处理,如CSI互相关,可用于信号压缩。

3.3.2 Signal Compression.
处理原始的信道状态信息(CSI)测量有时需要大量的计算资源。例如,对于一个具有3个发射器(TX)/3个接收器(RX)、52个子载波和100个CSI样本(每个值用32位表示)的20MHz WiFi信道,其大小为𝑠𝑖𝑧𝑒 (𝐻) = 3×3×52×100×32/8 = 187200字节
原始CSI可以通过降维技术(如主成分分析/独立成分分析(PCA/ICA)、奇异值分解(SVD)等)或度量标准(如自相关/互相关、欧几里得距离、分布函数等)进行压缩。信号压缩还可以从原始CSI测量中去除不同域中的冗余和无关信息。PCA和ICA广泛用于特征提取和盲信号分离。
PCA使用正交变换将矩阵转换为一组主成分。输入被假定为一组可能相关的变量,而主成分是一组线性不相关的变量。PCA可以通过对输入的协方差或相关矩阵进行SVD或特征值分解来实现。ICA假设输入信号是非高斯成分的混合,这些成分在统计上是独立的。它通过最小化互信息或最大化非高斯性(即峰度)来最大化统计独立性。可以丢弃许多PCA/ICA成分。
对于CSI矩阵的时间序列,如果相邻样本高度相关,则可以去除冗余测量。
3.3.3 信号合成
一些WiFi感知应用需要来自多个设备、载波频段、数据包等的信道状态信息(CSI)。例如,SpotFi[46]需要来自多个WiFi设备和多个数据包的CSI来准确估计到达角(AoA)和飞行时间(ToF),以实现分米级定位。Chronos[87]则需要使用单个WiFi接入点(AP)的多个频段来实现分米级定位。使用信号合成的WiFi感知算法将在第4.1节中介绍。
四 python 实现Signal Transform
无线感知常用的四种变换

4.1 DTF(傅里叶变换)
傅里叶变换是一种数学方法,它能将满足一定条件的某个函数表示成三角函数(正弦和/或余弦函数)或者它们的积分的线性组合
其中:
k: 频率
n: 时域离散信号的位置
: 旋转因子
4.2 FFT(快速傅里叶变换)
FFT是快速傅里叶变换(Fast Fourier Transform)的缩写,它是离散傅里叶变换(DFT)的一种高效算法。FFT算法显著减少了DFT的计算量,尤其是在处理大规模数据时,其效率优势尤为明显。
基本原理:
- FFT通过将原始的N点序列分解成一系列的短序列,然后利用DFT计算中的指数因子的对称性和周期性,求出这些短序列的DFT并进行适当组合,从而得到整个序列的DFT。
- FFT算法的核心思想是基于多项式的奇偶性进行划分,并通过蝶形算法实现。蝶形算法是FFT中的一个关键步骤,它通过加权和旋转操作,将序列中的元素重新组合,以达到快速计算DFT的目的。

FFT利用了上面的三个性质进行蝶形运算,降低了计算量。
import matplotlib.pyplot as plt
import numpy as np
from matplotlib.pylab import mpl
mpl.rcParams['font.sans-serif'] = ['SimHei'] #显示中文
mpl.rcParams['axes.unicode_minus'] = False #显示负号
Fs = 100 #信号采样频率
Ts = 1/Fs #采样区间
length = 4
t = np.arange(0,1,Ts) #时间向量,1400个
#设置4个频率分量
freq_factor = [1,2,4,8,16]
amp_factor = [20,40,100,40,20]
#生成周期信号
signal_x = None
for f, a in zip(freq_factor, amp_factor):
signal = a*np.sin(2*np.pi*f*t)
if signal_x is None:
signal_x = signal
else:
signal_x+= signal
y=signal_x
N= len(y)
frq=np.arange(N) #频率数1400个数
half_x=frq[range(int(N/2))] #取一半区间
fft_y=np.fft.fft(y)
abs_y=np.abs(fft_y) # 取复数的绝对值,即复数的模(双边频谱)
angle_y=180*np.angle(fft_y)/np.pi #取复数的弧度,并换算成角度
gui_y=abs_y/N #归一化处理(双边频谱)
gui_half_y = gui_y[range(int(N/2))] #由于对称性,只取一半区间(单边频谱)
#画出原始波形的前50个点
plt.subplot(231)
plt.plot(frq[0:50],y[0:50])
plt.title('原始波形')
#画出双边未求绝对值的振幅谱
plt.subplot(232)
plt.stem(frq,fft_y,'black')
plt.title('双边振幅谱(未求振幅绝对值)',fontsize=8,color='black')
#画出双边求绝对值的振幅谱
plt.subplot(233)
plt.stem(frq,abs_y,'r')
plt.title('双边振幅谱(未归一化)',fontsize=8,color='red')
#画出双边相位谱
plt.subplot(234)
plt.stem(frq[0:50],angle_y[0:50],'violet')
plt.title('双边相位谱(未归一化)',fontsize=8,color='violet')
#画出双边振幅谱(归一化)
plt.subplot(235)
plt.stem(frq,gui_y,'g')
plt.title('双边振幅谱(归一化)',fontsize=8,color='green')
#画出单边振幅谱(归一化)
plt.subplot(236)
plt.stem(half_x,gui_half_y,'blue')
plt.title('单边振幅谱(归一化)',fontsize=8,color='blue')
plt.show()
4.3 STFT 变换


短时傅里叶变换(Short-Time Fourier Transform,STFT)是一种将信号分解为时域和频域信息的时频分析方法。它通过将信号分成短时段,并在每个短时段上应用傅里叶变换来捕捉信号的瞬时频率。即采用中心位于时间α的时间窗g(t-α)在时域信号上滑动,在时间窗g(t-α)限定的范围内进行傅里叶变换,这样就使短时傅里叶变换具有了时间和频率的局部化能力,兼顾了时间和频率的分析[1]。
- 使用窄窗,时间分辨率提高而频率分辨率降低;
- 使用宽窗,频率分辨率提高而时间分辨率降低。
# -*- coding: utf-8 -*-
"""
Created on Sun Dec 29 17:25:28 2024
@author: cxf
"""
import numpy as np
import matplotlib.pyplot as plt
from scipy.signal import stft
# 生成三个不同频率成分的信号
fs = 1000 # 采样率
t = np.linspace(0, 1, fs, endpoint=False) # 时间
# 第一个频率成分
signal1 = np.sin(2 * np.pi * 50 * t)
# 第二个频率成分
signal2 = np.sin(2 * np.pi * 120 * t)
# 第三个频率成分
signal3 = np.sin(2 * np.pi * 300 * t)
# 合并三个信号
signal = np.concatenate((signal1, signal2, signal3))
# 进行短时傅里叶变换
f, t, spectrum = stft(signal, fs, nperseg=100, noverlap=50)
# 绘制时频图
#viridis
plt.pcolormesh(t, f, np.abs(spectrum), cmap='viridis',shading='auto')
plt.title('STFT Magnitude')
plt.ylabel('Frequency [Hz]')
plt.xlabel('Time [sec]')
plt.show()
基于CSI的WiFi感知技术全面调查
68

被折叠的 条评论
为什么被折叠?



