一 点睛
1 利用UML表达业务流程与系统需求
- 活动图——用于业务流程
- 用例图——用于系统需求
2 利用UML表达系统内部的结构
- 类图——表达系统的静态结构
- 顺序图——表达系统的动态结构
- 通信图——表达系统动态结构
3 利用UML表达系统微观设计
- 对象图——描述一个时间点上系统各个对象的一个快照
- 状态图——描述事件如何改变对象的生命周期
- 时序图——描述对象之间的交互,重点在于定时
4 利用UML表达系统宏观设计
- 包图——描述编译时的层次结构
- 交互概图——是一种顺序图与活动图的混合
- 复合结构图——描述类的运行时刻的分解
5 利用UML表达系统实战与部署
- 组件图——描述组件的结构和连接
- 部署图——描述在各个节点上的部署
下面通过实战,来看看各个图的样子,以便更深刻的理解这十三种图
二 利用UML表达业务流程与系统需求
1 活动图
主院出院流程:

数据录入流程

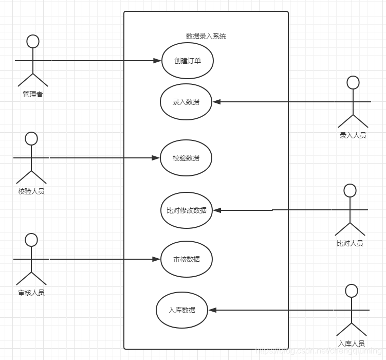
2 用例图
出住院系统用例图

数据录入系统用例图

本文详细介绍了统一建模语言(UML)在系统设计中的关键作用,包括业务流程与系统需求表达、系统内部结构描绘、系统微观与宏观设计、实战与部署规划等方面。通过实例展示了UML的十三种图,如活动图、用例图、类图等,帮助读者深入理解UML在软件工程中的实践应用。
988

被折叠的 条评论
为什么被折叠?



