6.1 逻辑斯蒂回归模型
6.1.1 逻辑斯蒂分布
定义 6.1 (逻辑斯蒂分布)
原型:人口增长率和人口量成线性关系->人口量的指数增长->给人口增长增加一个环境阻力(二次型)->计算现存人口占环境承受最大人口比例P(t)->对P(t)求一阶导得P(t)微分方程->整理得P(t)函数表达式;

类似于二项分布,设已出现人口为1,未出现人口为0;
这个P(t)函数被称为Logistic函数;
Logistic函数变形:

可得标准的Sigmoid激活函数
Sigmoid激活函数满足分布函数的三个条件:(非减,有界,右连续);
对分布函数(Sigmoid函数)求导得概率密度函数,即logistic概率密度函数,也称为logistic分布;
logistic分布与正态分布相似(同属指数分布家族);
进行一个简单变换:

得到更加一般化得logistic分布:
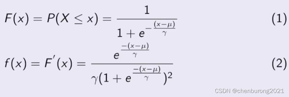
设X是连续随机变量,X服从逻辑斯蒂分布具有下列分布函数和密度函数:
分布函数(满足三个条件:非减,有界,右连续)

其中μ为位置参数,γ>0为形状参数;
分布函数属于逻辑斯蒂函数(简化而来),其图形是一条S型曲线(sigmoid curve),该曲线以点(μ,1/2)中心对称

概率密度函数是一条钟型曲线,两端高中间低,关于x=μ对称,在此处取得最大值1/4γ;

二项逻辑斯蒂回归模型
一元线性回归模型;(后两位为偏置,与误差项),当取期望时误差项可以消掉;

令x,β分别为n维向量时
模型更新为多元线性回归模型;
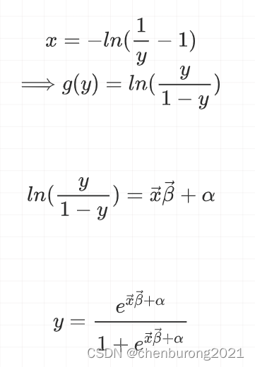
当x与y不成线性关系时可以使用函数g(y)对y进行变换,得到广义线性模型
也就是说等号左边的y变成了一个关于y为参数的函数;
求Sigmoid激活函数的反函数,得关于y为参数的函数作为广义线性模型的左项,


而后化简,所得y的函数便为Logistic regression
二项逻辑斯蒂回归模型(binomial logistic regression model)是一种分类模型;
由概率条件分布P(Y|X)表示,//形式为参数化的逻辑斯蒂分布;
定义:二项逻辑斯蒂回归模型

如何分类?
输入x,计算P(Y=1|x);
| 类 | Y=0类 | Y=1类 |
|---|---|---|
| P | P<=0.5 | P=>0,5 |
逻辑斯蒂回归模型的特点:
1.由于是广义线性模型,输入变量与输入变量没有线性关系;
2.采用了sigmoid连续函数作为分布函数,输入变量自由可以是连续或离散;
《如下为感觉没啥用的特征规律,纯鸡肋》
{
一个事件的几率(odd)是指该事件发生与不发生的概率之比:
即p/(1-p);
该事件的对数几率(log odds)或logit 函数是:
logit ( p)=log(p/(1-p));
对于逻辑斯蒂回归而言:
logit(P(Y=1|x))=ω·x;
输出值Y=1的对数几率是x的线性函数;
换个角度线性函数w·x可以转化为概率:

| 线性函数值(w·x) | 趋于正无穷 | 趋于负无穷 |
|---|---|---|
| 概率值(P) | 1 | 0 |
}
6.1.3 模型参数估计
可以应用极大似然估计法估计模型参数,从而得到逻辑斯蒂回归模型;
{
极大似然法
极大似然法就是,计算一组数据出现的整体可能,即样本点的概率积,找出使这个概率积最大的概率p(也可以是其他参数);主观认定其为真实概率(这样的主观认定是有限条件下的最优解),这就是极大似然估计;
}
计算使该数据集存在的最大可能(用似然函数表示其各个样本数据点的概率积)
(找出使得似然函数取得最大值的参数w^)


1433

被折叠的 条评论
为什么被折叠?



