大家好,小编为大家解答python流程图的基本图框的问题。很多人还不知道python流程图和源代码,现在让我们一起来看看吧!

您一定听说过 ”Graphviz”绘图软件吧。Graphviz (Graph Visualization Software) 是一个由AT&T实验室启动的开源工具包,它采用dot语言去编写绘制流程图python如何画6瓣花。DOT是一种图形描述语言,非常简单的。例如,以下为一段绘制流程图的dot代码
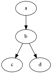
digraph G{
a -> b -> c;
b -> d;
}
运行后,绘制出的流程图结果如下。

当然,还可以通过修改流程图的形状、样式与格式,生成一些比较复杂的图形。例如,对以上代码进行完善,修改。
digraph G{
a -> b -> c;
b -> d;
a [shape = polygon, sides = 5, peripheries = 3, color = lightblue, style = filled];
c [shape = polygon, sides = 4,style = filled,fillcolor = yellow,skew = 0.4];
d [shape = invtriangle,color = purple,orientation = 30];
}
运行后,效果如下图所示。

Graphviz 有许许多多的形状可供大家选择。以下列出了一些常用的绘制形状。

本文介绍了如何在Python中利用Graphviz库通过DOT语言创建流程图,包括基本的图框示例和如何修改形状、样式以实现复杂图形,列举了Graphviz的一些常用形状。

被折叠的 条评论
为什么被折叠?



