常微分方程
微分方程基本概念



一阶微分方程的求解








一阶线性微分方程





可降解的高阶微分方程





















常系数齐次线性微分方程
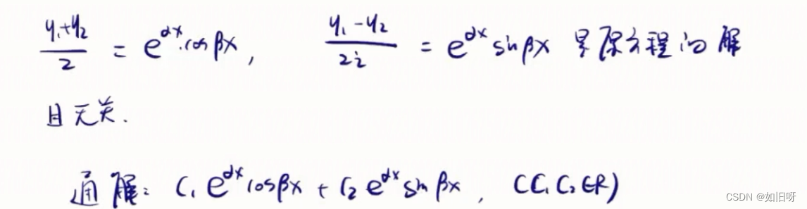
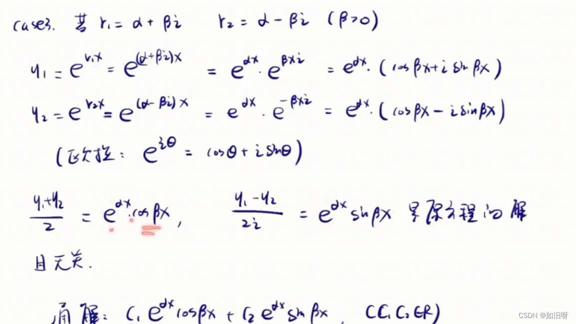
二阶常系数齐次线性微分方程





n阶常系数齐次线性微分方程



二阶常系数非齐次线性微分方程



















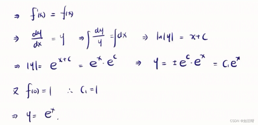
微分方程的应用
积分方程
应用










文章详细介绍了常微分方程的基本概念,包括一阶线性微分方程的求解方法,以及可降阶的高阶微分方程处理。重点讨论了常系数齐次和非齐次线性微分方程,涵盖了一阶到n阶的情况,并探讨了微分方程在实际应用中的角色,同时提及了积分方程的相关内容。
































































应用










4116
312
3万+
2410
408

被折叠的 条评论
为什么被折叠?