如何通俗地理解施密特正交化
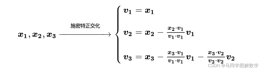
如果
是某向量空间的基,那么可通过下列做法找到该向量空间中的
个两两正交的向量
:
方法称为施密特正交化(Gram–Schmidt process)。
施密特正交化的几何意义是,比如已知 中的某向量空间(下图中的蓝色平面)的基为
:

那么通过施密特正交化,可借助 得到
,
就是该向量空间的一个正交基:


下面来解释下施密特正交化是如何推导出来的。
1 二维平面
1.1 思路
先从特殊的二维向量空间 说起。比如知道
的一组基,也就是下图中的两个向量:

只要将其中一个向量对另外一个向量进行投影,就可以得到 的正交基:

1.2 代数
下面来进行代数推导,假设基为 :

任选其一作为 ,比如选
:

作出 在
所在直线的投影
,连接
和
就得到要求的垂线向量
:

容易求出(详细证明):
这样就得到了 的一组正交基
:

1.3 总结
上述方法就是二维空间中的施密特正交化,可以总结如下:

上述推导过程并没有被限制在 中,所以它也可以完成开头提到的在三维空间中的平面上寻找正交基的任务:

2 三维立体
2.1 思路
还是以特殊的三维向量空间 为例。比如知道
的一组基,也就是下图中的三个向量:

先按照上一节介绍的方法,将其中任意两个向量正交化:

然后向这两个正交向量的张成空间作垂线,从而得到三个正交向量,也就是 的一组正交基:

2.2 代数
下面来进行代数推导,假设基为 、
和
:

任选两个向量,按照上一节介绍的方法将其中任意两个向量正交化,得到 和
:


作出 在
张成平面上的投影
,连接
和
就得到要求的垂线向量
:

容易求出(详细证明):
这样就得到了 的一组正交基
:

2.3 总结
上述方法就是三维空间中的施密特正交化,可以总结如下:

3 更高维度
更高维度的情况以此类推,这里不再赘述。
百个图书,千幅图片,万名同学,欢迎加入:
首页-马同学图解数学-淘宝网淘宝, 店铺, 旺铺, 马同学图解数学
https://matongxue.taobao.com/

1万+

被折叠的 条评论
为什么被折叠?



