ICML2019: Transferability vs. Discriminability: Batch Spectral Penalization for Adversarial Domain Adaptation
引言
对抗学习在domain adaptation中常用于adapt源域和目标域特征的分布差异性。 但是在使用对抗学习时,是否会影响到分类效果呢,即我们学到的特征是否依然能保证可区分性(discriminability)?同时对抗学习是如何提高可迁移性(transferability)的呢?本文对这两个问题就行了探讨。
- 可迁移性(transferability):将源域中学到的模型迁移到目标域的能力;
- 可区分性(discriminability):提取的特征能够被分类器分类的能力。
对抗领域自适应(Adversarial Domain Adaptation)##
对抗领域自适应可用公式-1表示:

公式-1中F表示特征提取器,G表示分类器,D表示判别器。 minmax损失:对于F,G最小化有监督的损失和dist损失,训练F使得特征做到领域不可区分(表现为减少dist),同时具有可区分性(表现为减少有监督损失)。训练D使得对于F提缺的特征,D能够尽可能的区分(表现为最大化dist)。两个训练过程构成了对抗,迭代进行训练。最终的目的是学到domain-invariant且具有可区分性的特征,从而可以将源域中学到的分类器迁移到目标域。
特征的可区分性
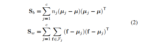
我们使用线性判别分析(Linear Discriminant Analysis, LDA)来探究。 其实就是我们学过的Fisher线性分类器。 大概回顾下:LDA本质上就是将高维的特征映射到映射到一个空间,样本在该空间中有最大的类间距离和最小的类内距离,这样我们就可以找到一个分割面作分类。

Sb和Sw是协方差矩阵,分别表示类间方差(Between class variance)和类内方差类内方差(Within class variance)。
我们需要的Fisher线性判别器的优化目标为:

为什么这里要说这个判别器呢?主要是想利用
max
J
(
w
)
\max J(w)
maxJ(w)这个值来衡量可区分性。 直观的看,这个值越大,意味着我们能够区分类别的能力越强。

在上图(a)中,对比了ResNet-50(在ImageNet上预训练)和DANN(Domain-adversarial training of neural networks,JMLR2016)。DANN同样使用了ResNet-50的网络结构。 我们发现在Office-31这个数据库上的四个迁移任务中,DANN提取的特征的
max
J
(
w
)
\max J(w)
maxJ(w)值相比ResNet-50都很小,说明DANN提取的特征的可区分性更差,即迁移是以牺牲可区分性为代价的。
进一步的,使用一个多层感知器(MLP)对ResNet-50和DANN提取好的特征进行分类,得到图(b)的结果。可以看出DANN相比于ResNet-50错误率更高,说明了对抗领域迁移降低了特征的可区分性。
我们思考下:
- 为什么DANN提取的特征可区分性差呢?
- 我们如何在加强迁移性能的同时保证可区分性呢?
差的可区分性哪里来?
首先考虑第一个问题。使用奇异值分解(SVD)分别得到源域特征和目标域特征的奇异值和对应的特征向量:

将得到的奇异值画在图上,得到图2-(a):

从图2-(a)中可以看出,DANN提取的特征矩阵的最大的奇异值比其它的大很多,曲线下降迅速;而ResNet的曲线平缓很多。 于是可得这种奇异值过大的差异性表征了差的可区分性。(PS. 这里作者考虑了PCA和SVD的奇异值和特征向量的含义,最大的奇异值代表最主要的成分,所以在做domain adaptation时,我们是希望源域和目标域两者的最主要成分相近,然而分类情况是复杂的,它不仅仅依赖于这个最大的奇异值,而是依赖于多个奇异值,但是从图2-(a)中可以明显的看到,domain adaptation对其它较小的奇异值做了过度的“惩罚”,由此影响了可区分性。然而作者的这种假设或者说这种对应关系是否成立呢?对于不同的网络,不同的迁移任务下都是这样吗?)
接下来我们来分析下特征矩阵的每一个主成分的可迁移性。这里要用到Principal Angles(Shonkwiler,2009),一种子空间相似度度量方法(余弦相似度)。

其中
a
i
\textbf{a}_i
ai表示源域特征矩阵的特征向量,
b
i
\textbf{b}_i
bi表示目标域矩阵的特征向量。然而我们在利用Mohammadi(Principal angles between subspaces and reduced order
modelling accuracy in optimization)来优化特征向量得到最小距离时,并没有成对的考虑奇异值对应的特征向量。然而在分类中,不同的特征有着不同的类别含义,如果不成对考量的话是没有意义的,因此作者提出了Corresponding Angle方法:

利用对应位置的特征值对应的特征向量来进行计算cosine角度,其中Usi表示源域特征矩阵中第i大的特征值对应的特征向量。图2-(b)©展示了top-10源域特征向量和目标域特征向量对应的角度。我们可以发现
cos
(
ψ
1
)
\cos(\psi_1)
cos(ψ1)比其它的要大得多,这说明最大的奇异值对应的特征向量在domain adaptation中起着主导作用。对于DANN,相比于ResNet-50变化曲线陡峭很多,说明DANN对于最大的奇异值对应的特征向量依赖性更强。
如此我们得到了DANN的差的可区性的原因:只有最大的奇异值对应的特征向量趋向于携带迁移的信息,其它的特征向量也可能存在domain variations,因此被过度惩罚了。这些特征向量中存在的可区分性的信息由于domain adaptation发生了丢失。
方法
在领域自适应(domain adaptation)中可迁移性和可区分性对于学得好的特征是同等重要的。如果解决上面提出的问题呢?解决思路有两方面:
- 较大的奇异值对应的特征向量对于迁移性更具有代表性,我们要充分利用这点增强迁移性;
- 相对较小的奇异值对应的特征向量对于可区分性是十分重要的,我们要充分利用这点增强可区分性。
Batch Spectral Penalization
根据前面的分析,分类器应该依赖于多个奇异值对应的特征向量,而不仅仅是大的奇异值对应的特征向量。由此我们需要对大的奇异值对应的特征向量进行惩罚,让其不要鹤立鸡群。方法如下:
- 首先对源域特征矩阵 F s F_s Fs和目标域特征矩阵 F t F_t Ft使用SVD,得到k个最大的奇异值;
- 提出Batch Spectral Penalization (BSP)这个正则项对这k个最大的奇异值做惩罚:

在实际使用时,对每个Batch进行该BSP约束即可。
这里有个疑问,为什么不组合起来 F s F_s Fs和 F t F_t Ft,得到矩阵 F = [ F s , F t ] F=[F_s,F_t] F=[Fs,Ft],然后对矩阵F的奇异值进行BSP的约束呢?由于源域和目标域的差异性,对F得到的奇异值可能无法同时很好的表征源域和目标域,造成潜在的distortion。因此这里分别对源域和目标域的的特征矩阵的奇异值进行约束。
计算复杂度:对于一个m*n的矩阵,SVD的计算复杂度为 O ( m 2 n , m n 2 ) O(m^2n,mn^2) O(m2n,mn2)。对于Batch Spectral Penalization的计算复杂度为 O ( b 2 d ) O(b^2d) O(b2d),其中b表示batch-size,d表示特征的维度。
使用BSP的模型
将BSP应用到对抗学习中,总的优化目标变为:

将BSP应用到DANN中,如下图所示:

理论分析
Ben-David等人(2010)对domain adpatation的基础理论进行了研究,从理论上给出了在target domain的误差的bound eT(h)由三部分组成(这个h可以理解为是用来尽可能区分两个分布的函数):
- 源域上的期望误差: ε S ( h ) \varepsilon_S(h) εS(h);
- H Δ H H\Delta H HΔH-distance(是一系列hypotheses的集合);
- 误差 λ \lambda λ
有:

目前的对抗领域迁移实际上是对第三项做了约束(特征不可辨别),从图1-(b)我们看出这样做的误差反而是大的,而使用BSD对第三项进一步做了约束,可以对目标域的error得到一个更lower的bound。由此得到更好的结果(PS. 到底是怎么约束的?)。
代码:
github.com/thuml/Batch-Spectral-Penalization
关于domain adaptation的理论paper:
- A theory of learning from different domains;
- Analysis of Representations for Domain Adaptation

本文探讨了对抗领域自适应(Adversarial Domain Adaptation)在ICML2019中提出的挑战,即在提升模型迁移能力的同时,如何保持特征的可区分性。研究通过分析特征矩阵的奇异值分解揭示了对抗学习可能降低特征可区分性的原因,并提出BatchSpectralPenalization方法来平衡可迁移性和可区分性。
1041

被折叠的 条评论
为什么被折叠?



