文章目录
B树
B树事实上是一种平衡的多叉查找树,也就是说最多可以开m个叉(m>=2),我们称之为m阶b树

总的来说,m阶B树满足以下条件:
1.定义任意非叶子结点最多只有M个儿子;且M>2;
2.根结点的儿子数为[2, M];
3.除根结点以外的非叶子结点的儿子数为[M/2, M];
4.每个结点存放至少M/2-1(取上整)和至多M-1个关键字;(至少2个关键字)
5.非叶子结点的关键字个数=指向儿子的指针个数-1;
6.非叶子结点的关键字:K[1], K[2], …, K[M-1];且K[i] < K[i+1];
7.非叶子结点的指针:P[1], P[2], …, P[M];其中P[1]指向关键字小于K[1]的子树,P[M]指向关键字大于K[M-1]的子树,其它P[i]指向关键字属于(K[i-1], K[i])的子树;
8.所有叶子结点位于同一层;
例如查询图中字母表中的K:
- 从根节点P开始,K的位置在P之前,进入左侧指针。
- 左子树中,依次比较C、F、J、M,发现K在J和M之间。
- 沿着J和M之间的指针,继续访问子树,并依次进行比较,发现第一个关键字K即为指定查找的值。
B树的特点可以总结为如下:
1. 关键字集合分布在整颗树中。
2. 任何一个关键字出现且只出现在一个节点中。
3. 搜索有可能在非叶子节点结束。
4. 其搜索性能等价于在关键字集合内做一次二分查找。
5. B树在插入删除新的数据记录会破坏B-Tree的性质,因为在插入删除时,需要对树进行一个分裂、合并、转移等操作以保持B-Tree性质。
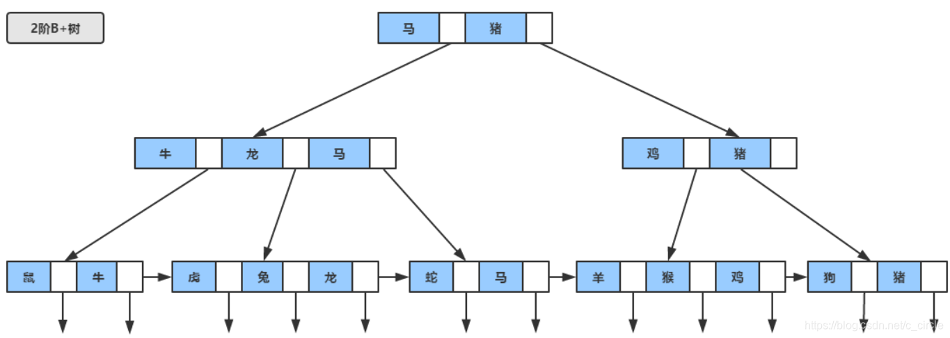
Plus版 — B+树
作为B树的加强版,B+树与B树的差异在于
1.其定义基本与B-树同,除了:
2.非叶子结点的子树指针与关键字个数相同;
3.非叶子结点的子树指针P[i],指向关键字值属于[K[i], K[i+1])的子树(B-树是开区间);
5.为所有叶子结点增加一个链指针;
6.所有关键字都在叶子结点出现;

MySQL为什么使用B树(B+树)
红黑树等数据结构也可以用来实现索引,但是文件系统以及数据库系统普遍采用B树或者B+树,这一节将结合计算机组成原理相关知识讨论B-/+Tree作为索引的理论基础。
一般来说,索引本身也很大,不可能全部存储在内存中,因此索引往往以索引文件的形式存储在磁盘上。这样的话,索引查找过程中就要产生磁盘I/O消耗,相对于内存存取,I/O存取的消耗要高几个数量级,所以评价一个数据结构作为索引的优劣最重要的指标就是在查找过程中磁盘I/O操作次数的渐进复杂度。换句话说,索引的结构组织要尽量减少查找过程中磁盘I/O的存取次数。下面先介绍内存和磁盘存取原理,然后再结合这些原理分析B-/+Tree作为索引的效率。
主存存取原理
目前计算机使用的主存基本都是随机读写存储器(RAM),现代RAM的结构和存取原理比较复杂,这里本文抛却具体差别,抽象出一个十分简单的存取模型来说明RAM的工作原理。

从抽象角度看,主存是一系列的存储单元组成的矩阵,每个存储单元存储固定大小的数据。每个存储单元有唯一的地址,现代主存的编址规则比较复杂,这里将其简化成一个二维地址:通过一个行地址和一个列地址可以唯一定位到一个存储单元。上图展示了一个4 x 4的主存模型。
主存的存取过程如下:
当系统需要读取主存时,则将地址信号放到地址总线上传给主存,主存读到地址信号后,解析信号并定位到指定存储单元,然后将此存储单元数据放到数据总线上,供其它部件读取。
写主存的过程类似,系统将要写入单元地址和数据分别放在地址总线和数据总线上,主存读取两个总线的内容,做相应的写操作。
这里可以看出,主存存取的时间仅与存取次数呈线性关系,因为不存在机械操作,两次存取的数据的“距离”不会对时间有任何影响,例如,先取A0再取A1和先取A0再取D3的时间消耗是一样的。
磁盘存取原理
上文说过,索引一般以文件形式存储在磁盘上,索引检索需要磁盘I/O操作。与主存不同,磁盘I/O存在机械运动耗费,因此磁盘I/O的时间消耗是巨大的。
下图是磁盘的整体结构示意图:

一个磁盘由大小相同且同轴的圆形盘片组成,磁盘可以转动(各个磁盘必须同步转动)。在磁盘的一侧有磁头支架,磁头支架固定了一组磁头,每个磁头负责存取一个磁盘的内容。磁头不能转动,但是可以沿磁盘半径方向运动(实际是斜切向运动),每个磁头同一时刻也必须是同轴的,即从正上方向下看,所有磁头任何时候都是重叠的(不过目前已经有多磁头独立技术,可不受此限制)。
下图是磁盘结构的示意图:

盘片被划分成一系列同心环,圆心是盘片中心,每个同心环叫做一个磁道,所有半径相同的磁道组成一个柱面。磁道被沿半径线划分成一个个小的段,每个段叫做一个扇区,每个扇区是磁盘的最小存储单元。为了简单起见,我们下面假设磁盘只有一个盘片和一个磁头。
当需要从磁盘读取数据时,系统会将数据逻辑地址传给磁盘,磁盘的控制电路按照寻址逻辑将逻辑地址翻译成物理地址,即确定要读的数据在哪个磁道,哪个扇区。为了读取这个扇区的数据,需要将磁头放到这个扇区上方,为了实现这一点,磁头需要移动对准相应磁道,这个过程叫做寻道,所耗费时间叫做寻道时间,然后磁盘旋转将目标扇区旋转到磁头下,这个过程耗费的时间叫做旋转时间。
局部性原理与磁盘预读
由于存储介质的特性,磁盘本身存取就比主存慢很多,再加上机械运动耗费,磁盘的存取速度往往是主存的几百分分之一,因此为了提高效率,要尽量减少磁盘I/O。为了达到这个目的,磁盘往往不是严格按需读取,而是每次都会预读,即使只需要一个字节,磁盘也会从这个位置开始,顺序向后读取一定长度的数据放入内存。这样做的理论依据是计算机科学中著名的局部性原理:
当一个数据被用到时,其附近的数据也通常会马上被使用。
所以,程序运行期间所需要的数据通常应当比较集中。
由于磁盘顺序读取的效率很高(不需要寻道时间,只需很少的旋转时间),因此对于具有局部性的程序来说,预读可以提高I/O效率。
预读的长度一般为页(page)的整倍数。页是计算机管理存储器的逻辑块,硬件及操作系统往往将主存和磁盘存储区分割为连续的大小相等的块,每个存储块称为一页(在许多操作系统中,页得大小通常为4k),主存和磁盘以页为单位交换数据。当程序要读取的数据不在主存中时,会触发一个缺页异常,此时系统会向磁盘发出读盘信号,磁盘会找到数据的起始位置并向后连续读取一页或几页载入内存中,然后异常返回,程序继续运行。
B-/+Tree索引的性能分析
到这里终于可以分析B-/+Tree索引的性能了。
在实际设计中,我们把一个结点设为一个页,为什么这么干呢,因为磁盘预读是以页为单位的,所以这样的话一页就代表访问一次磁盘,也就是代表一次I/O操作
B树: 我们假设如果是4阶的,那么每个结点最多3个关键字,最少两个(根节点最少1个),也就是说,我们最多也就要访问3次磁盘就可以完成访存,而传统的访存需要每一个关键字都进行访存,可以看出B树的优势
注意B树的非叶结点不单单只有key值,还有key对应数据在磁盘的具体地址
B+树: 相对与B树而言,B+树的非叶结点值只存有key值,不含有卫星数据,比较而言就会有更大的空间,就可以存更多的key值,就会显得更加“矮胖”,矮了操作数就相对会更少一些
同时由于B+树增加了一个最小关键字的根结点,所以顺序访问更加便捷
MyISAM 索引实现
MyISAM 引擎使用 B+Tree 作为索引结构,叶节点的 data 域存放的是数据记录的地址。下图是 MyISAM 索引的原理图:
主索引

这里设表一共有三列,假设我们以 Col1 为主键,则图 8 是一个 MyISAM 表的主索引(Primary key)示意。可以看出 MyISAM 的索引文件仅仅保存数据记录的地址。
辅助索引
在 MyISAM 中,主索引和辅助索引(Secondary key)在结构上没有任何区别,只是主索引要求 key 是唯一的,而辅助索引的 key 可以重复。如果我们在 Col2 上建立一个辅助索引,则此索引的结构如下图所示

同样也是一颗 B+Tree,data 域保存数据记录的地址。因此,MyISAM 中索引检索的算法为首先按照 B+Tree 搜索算法搜索索引,如果指定的 Key 存在,则取出其data 域的值,然后以 data 域的值为地址,读取相应数据记录。
MyISAM 的索引方式也叫做“非聚集索引”,之所以这么称呼是为了与 InnoDB的聚集索引区分。
InnoDB 索引实现
虽然 InnoDB 也使用 B+Tree 作为索引结构,但具体实现方式却与 MyISAM 截然不同。
1.第一个重大区别是 InnoDB 的数据文件本身就是索引文件。从上文知道,MyISAM 索引文件和数据文件是分离的,索引文件仅保存数据记录的地址。
而在InnoDB 中,表数据文件本身就是按 B+Tree 组织的一个索引结构,这棵树的叶点data 域保存了完整的数据记录。这个索引的 key 是数据表的主键,因此 InnoDB 表数据文件本身就是主索引。

上图是 InnoDB 主索引(同时也是数据文件)的示意图,可以看到叶节点包含了完整的数据记录。这种索引叫做聚集索引。因为 InnoDB 的数据文件本身要按主键聚集,
主索引
1 .InnoDB 要求表必须有主键(MyISAM 可以没有),如果没有显式指定,则 MySQL系统会自动选择一个可以唯一标识数据记录的列作为主键,如果不存在这种列,则MySQL 自动为 InnoDB 表生成一个隐含字段作为主键,类型为长整形。
同时,请尽量在 InnoDB 上采用自增字段做表的主键。因为 InnoDB 数据文件本身是一棵B+Tree,非单调的主键会造成在插入新记录时数据文件为了维持 B+Tree 的特性而频繁的分裂调整,十分低效,而使用自增字段作为主键则是一个很好的选择。如果表使用自增主键,那么每次插入新的记录,记录就会顺序添加到当前索引节点的后续位置,当一页写满,就会自动开辟一个新的页。如下图所示:
这样就会形成一个紧凑的索引结构,近似顺序填满。由于每次插入时也不需要移动已有数据,因此效率很高,也不会增加很多开销在维护索引上。
辅助索引
2.第二个与 MyISAM 索引的不同是 InnoDB 的辅助索引 data 域存储相应记录主键的值而不是地址。换句话说,InnoDB 的所有辅助索引都引用主键作为 data 域。
例如,图 11 为定义在 Col3 上的一个辅助索引:

聚集索引这种实现方式使得按主键的搜索十分高效,但是辅助索引搜索需要检索两遍索引:首先检索辅助索引获得主键,然后用主键到主索引中检索获得记录。
引申:为什么不建议使用过长的字段作为主键?
因为所有辅助索引都引用主索引,过长的主索引会令辅助索引变得过大。
聚簇索引与非聚簇索引
InnoDB 使用的是聚簇索引, 将主键组织到一棵 B+树中, 而行数据就储存在叶子节点上, 若使用"where id = 14"这样的条件查找主键, 则按照 B+树的检索算法即可查找到对应的叶节点, 之后获得行数据。 若对 Name 列进行条件搜索, 则需要两个步骤:
第一步在辅助索引 B+树中检索 Name, 到达其叶子节点获取对应的主键。
第二步使用主键在主索引 B+树种再执行一次 B+树检索操作, 最终到达叶子节点即可获取整行数据。
MyISM 使用的是非聚簇索引, 非聚簇索引的两棵 B+树看上去没什么不同, 节点
的结构完全一致只是存储的内容不同而已, 主键索引 B+树的节点存储了主键, 辅助键索引B+树存储了辅助键。 表数据存储在独立的地方, 这两颗 B+树的叶子节点都使用一个地址指向真正的表数据, 对于表数据来说, 这两个键没有任何差别。 由于索引树是独立的, 通过辅助键检索无需访问主键的索引树。
为了更形象说明这两种索引的区别, 我们假想一个表如下图存储了 4 行数据。 其中Id 作为主索引, Name 作为辅助索引。 图示清晰的显示了聚簇索引和非聚簇索引的差异

本文深入探讨了B树和B+树的结构特点及其在数据库索引中的应用,对比了MyISAM与InnoDB索引实现方式,分析了B-/+Tree索引的性能优势。
3855

被折叠的 条评论
为什么被折叠?



