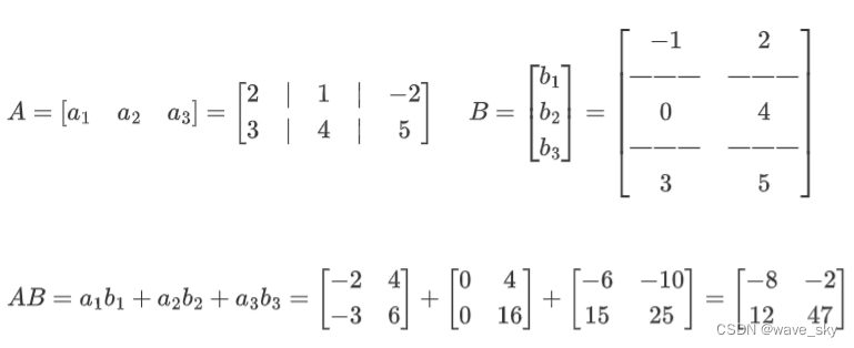
矩阵分块例子

有如下矩阵A和B

对A列分块, B行分块后结果如下

对A行分块, B列分块后结果如下

### 矩阵分块算法的实现与应用 #### 基本概念 矩阵分块算法的核心思想是将大矩阵划分为若干个小矩阵(称为子块),从而通过这些小矩阵的操作来完成整个矩阵的计算。这种方法不仅能够简化复杂度较高的矩阵运算,还能够在并行计算环境中提高性能[^1]。 #### 并行计算中的作用 在并行计算领域,矩阵分块算法被广泛应用于多种场景,例如矩阵求逆、LU分解以及其他涉及大规模数据集的数值分析任务。由于其灵活性和高效性,该算法特别适合于处理稀疏矩阵和对称矩阵等问题,在这些问题中,许多零元素的存在使得传统方法显得低效[^2]。 #### LU分解的具体实现 对于大型矩阵而言,直接执行LU分解可能会面临内存访问模式不佳的问题,进而导致缓存未命中率增加。为了缓解这一现象,可以引入基于分块策略的设计方案。这种设计方案并非单纯依赖原有的非分块版本进行修改,而是需要重新规划整体逻辑框架以适应新的存储布局需求[^3]。 以下是利用C语言实现的一个简单的例子展示如何运用分块技术来进行两矩阵相乘: ```c void block_matrix_multiply(int N, int M, double A[N][M], double B[M][N], double C[N][N]) { const int BLOCK_SIZE = 8; // 定义每一块大小 for (int i=0;i<N;i+=BLOCK_SIZE){ for (int j=0;j<N;j+=BLOCK_SIZE){ for (int k=0;k<M;k+=BLOCK_SIZE){ for (int ii=i;(ii<i+BLOCK_SIZE && ii<N);++ii){ for (int jj=j;(jj<j+BLOCK_SIZE && jj<N);++jj){ for (int kk=k;(kk<k+BLOCK_SIZE && kk<M);++kk){ C[ii][jj]+=A[ii][kk]*B[kk][jj]; } } } } } } } ``` 此代码片段展示了如何通过对输入矩阵`A` 和 `B` 进行划分成更小的部分后再逐一对它们做累积加法操作最终得到结果矩阵`C` 的过程[^4]。 #### 数学模型公式的推导 假设存在三个矩阵\(X\) , \(Y\), 及目标产物Z,则当我们将他们分别按照行列方向切割之后形成多个独立的小矩形区域时,每一个这样的局部都可以看作是由原始母体相应位置上的对应部分相互作用产生的贡献总合而成的结果。具体表达如下所示: 给定任意两个满足条件的矩阵 X,Y 若将其按照固定尺寸拆解开来则可得: \[ Z_{ij}=\sum _{p}(X_{ip}\cdot Y_{pj}) \] 进一步扩展到多维情形下同样适用上述规律只是维度参数有所变化而已[^5]。 ---
评论
成就一亿技术人!
拼手气红包6.0元
还能输入1000个字符
 
红包 添加红包
表情包 插入表情
 条评论被折叠 查看
添加红包

请填写红包祝福语或标题

红包个数最小为10个

红包金额最低5元

当前余额3.43前往充值 >
需支付:10.00
成就一亿技术人!
领取后你会自动成为博主和红包主的粉丝 规则
hope_wisdom
发出的红包
实付
使用余额支付
点击重新获取
扫码支付
钱包余额 0

抵扣说明:

1.余额是钱包充值的虚拟货币,按照1:1的比例进行支付金额的抵扣。
2.余额无法直接购买下载,可以购买VIP、付费专栏及课程。

余额充值